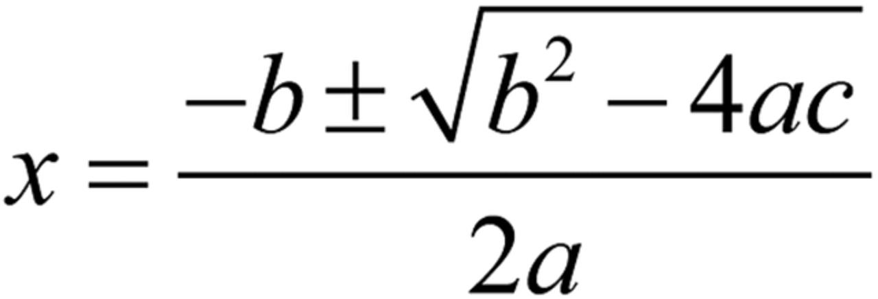
解一元二次方程的方法有很多,比较常见的有公式法、配方法和因式分解法。其中公式法适用一切一元二次方程,且比较简单,只要牢记求根公式就可以了。求根公式如下:

这个求根公式是针对一元二次方程的一般式ax^2+bx+c=0得到的。然而简单的死记硬背虽然能够把公式记牢,但却不是一种好办法。我们还要分析公式的结构、来源、应用以及拓展,这样才能真正形成数学能力,不仅能够巩固掌握公式的应用,还能融入自己的知识体系,既省力又高效,在以后的练习中才能灵活地应用。
在运用公式法时,未必要使用完整的公式。其中b^2-4ac又称为一元二次方程的判别式,常用表示。判别式的符合性质决定了一元二次方程根的情况:
当<0时,一元二次方程是没有实数根的,这时在实数范围内,就不需要继续运用完整的公式去求根了,只需要说明“方程没有实数根”就可以了。
当=0时,一元二次方程有两个相等的实数根,因为0的平方根仍是0,因此方程的根是x=-b/(2a),正好是对应的抛物线y=ax^2+bx+c的对称轴的形式。
只有当>0时,一元二次方程有两个不等的实数根,才需要用到整个求根公式。这时只要把方程的三个参数代入就可以了。但是千万要注意,对于关于x的一元二次方程bx^2+ax+c=0或者ax^2-bx+c=0,直接用求根公式表示它的根却是完全错误的。这就要涉及到求根公式的来源了。
求根公式其实是对一元二次方程的一般式ax^2+bx+c=0运用配方法求根得到的结果。有多少学生会自己动手去进行这番操作呢?只要自己动手推出过求根公式,就能过明白求根公式的实质,以后就不会出现乱用求根公式的情况了。
另外,因式分解法的实质,其实也与求根公式有关,记x1,x2表示求根公式的两个不同的结果,将一元二次方程ax^2+bx+c=0进行因式分解,就是把方程写成(x-x1)(x-x2)=0的形式。这样就不仅能在有理数的范围内进行因式分解,还可以在无理数的范围内进行因式分解了。
最后,一元二次方程的根与系数的关系,x1+x2=-b/a,x1x2=c/a,即韦达公式,其实也是由求根公式推出来的,你知道吗?动手自己推导一下,你肯定能在数学中找到更多乐趣的。
更多相关:
关于双动点问题的中考数学压轴题!辅助线构造相似三角形是关键