继上次分享了两个专题后,网友们也很支持我的资料,今天就把专题三,三角函数的讲义分享给大家。需要的朋友只需要关注我,转发此文章,并且私信我说明需要的专题,我将第一时间将资料的文档发送给大家。

专题三、三角函数
三角函数是一种重要的基本初等函数,它是描述周期现象的一个重要函数模型,可以加深对函数的概念和性质的理解和运用.其主要内容包括:三角函数的概念、三角变换、三角函数、解三角形等四部分.
在掌握同角三角函数的基本关系式、诱导公式、两角和与两角差、二倍角的正弦、余弦、正切公式的基础上,能进行简单三角函数式的化简、求值和恒等式证明;理解并能正确解决正弦函数、余弦函数、正切函数的图象和性质问题;运用三角公式和正弦定理、余弦定理解斜三角形.重点考查相关的数学思想方法,如方程的思想、数形结合、换元法等.
§3-1 三角函数的概念
.学习要求:
1.会用弧度表示角的大小,能进行弧度制与角度制的互化;会表示终边相同的角;会象限角的表示方法.
2.根据三角函数定义,熟练掌握三角函数在各个象限中的符号,牢记特殊角的三角函数值,
3.会根据三角函数定义,求任意角的三个三角函数值.
4.理解并熟练掌握同角三角函数关系式和诱导公式

.
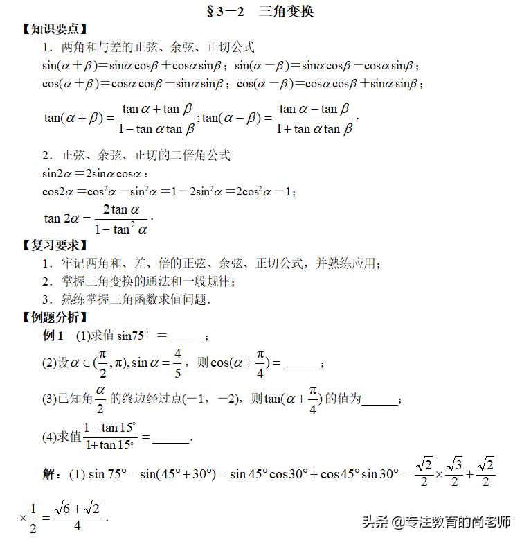
§3-2 三角变换
学习要求
1.牢记两角和、差、倍的正弦、余弦、正切公式,并熟练应用;
2.掌握三角变换的通法和一般规律;
3.熟练掌握三角函数求值问题.

§3-3 三角函数
1.掌握三角函数y=sinx,y=cosx,y=tanx的图象性质:定义域、值域(最值)、单调性、周期性、奇偶性、对称性等.
2.会用五点法画出函数y=sinx,y=cosx,y=Asin(w x+
)(A>0,w >0)的简图,掌握图象的变换方法,并能解决相关图象性质的问题.
3.本节内容应与三角恒等变换相结合,通过变换,整理出三角函数的解析式,注意使用换元法,转化为最基本的三个三角函数y=sinx,y=cosx,y=tanx,结合三角函数图象,综合考察三角函数性质

§3-4 解三角形
1.会正确运用正余弦定理进行边角的相互转化;
2.会熟练运用正弦定理和余弦定理解决三角形中的求角,求边,求面积问题.
对于三角函数这个专题来说,学习的内容虽然不多,但是变式却很多,所以必须在牢固掌握基础知识的基础上再掌握灵活的解题技巧,高考中对于三角函数的考察大概在17分到22分左右,还是非常重要的章节。
需要的朋友关注我并且私信,我将第一时间将资料发给大家。
特别是对于即将开学的高三学生,这份资料可以帮助很多。