文章原创首发于头条号【影像派】,版权所有,未经许可,不得转载。

请关注【影像派】
前言
当我们在欣赏一些摄影作品时,你是否曾问过自己这些问题:
为什么有些照片主体非常清晰,而前景和背景却很模糊?
是什么原因导致了这种清晰与模糊并存的视觉效果?
我们拍照时,为什么向前靠得越近,拍出的背景就会越模糊?
为什么光圈调得越大,背景的虚化程度就越高?
改变镜头焦距将会如何影响成像的视觉效果?
其实,这一连串的问题的核心都指向同一个关键词——景深。只要我们理解透彻这个概念,上述问题便迎刃而解。
「景深」毕竟属于进阶级的摄影专业术语,要理解掌握需要一些必要的基础知识。但是,如果面向的是众多入门摄影爱好者,如何才能更加通俗易懂地向他们科普这个概念呢?这便是【影像派】今天想跟大家细聊的一个有趣话题。
一、什么是景深?
所谓「景深」(Depth of Field,简称DOF),是指被聚焦主体前后的、可接受的锐焦(sharp focus)范围。说白了就是,主体(即焦点所在位置)的前方至后方之间的清晰范围。
我们举个例子。如图1-1,有三支铅笔A、B、C,B为焦点所在位置(即相机的对焦点),A和C分别位于B的两侧(以图片的视角是上和下)且A、C以外的区域均已模糊,则AC之间的距离为铅笔B的景深距离。

图1-1。Photo by Oscar Durand.
若上面这个「纵深视角」不太好理解,那我们可以切换到另一个更加直白明了的观察视角——横向剖面图。
如图1-2,场景A为「窄景深」,指相对拍摄者而言,焦点前后的清晰范围较窄,相机至动物之间的部分、远处的山和近处的树木都处于模糊的状态;而场景B则为「宽景深」,动物前后的清晰范围变得宽了许多,除了距离相机较近的部分区域比较模糊,其余都清晰可见。至于导致两个场景出现差异的原因,此处按下不表,后文会有详述。

图1-2
理论上而言,只有处于焦点或焦平面(焦点所在平面)的物体才会最锐利、最清晰,其余都会变得模糊,只是表现程度不同而已。然而,人眼并没有那么高的解像度,无法做到如光学仪器般精准、细腻,对「模糊」和「清晰」之间的识别和界定会相对宽容。因此,在人眼看来,一些焦外的物体依然可以在视觉上显得很清晰。
事实上,我们在谈论「景深」的时候,并不在乎它的具体数值,毕竟纠结于此并无实际意义,我们讨论更多的是清晰范围的大小:若主体前后的清晰范围很大,则谓之「深景深」,反之则为「浅景深」。
下面分别以两张实拍照片为例。
如图1-3,从近景的波纹,到中景的礁石、沙滩,再到远景中的云层、山峦,都在可以接受的清晰范围之内。沙滩、海水、远山、天空、太阳,这些都是我们欣赏风景时目之所及的意象。深景深可融入非常多的表现元素,宜表现场景的开阔、辽远等。

图1-3
再来看一张「浅景深」的照片。如图1-4:

图1-4
显而易见,近处的树枝和花朵皆清晰可见,而背景中的远山、灯光、塔则几乎完全虚化,莫辨其形。浅景深多用于特写镜头,善于强调、突现主体。
由此可见,景深的深浅并无好坏之分,因主题刻画、表达理念而异。
既然景深可以变化,那我们不禁要问:
有哪些因素可以影响景深大小呢?
二、影响景深的因素
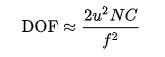
影像派曾经写过一篇文章《关于光圈,这是我为你整理的最详尽的干货,值得摄影爱好者们收藏》,其中在谈及光圈与景深的关系时,便提到了有关景深的计算公式:

其中,u为镜头至拍摄主体间的距离,N为光圈系数(亦即相机显示的光圈值),C为弥散圆大小,f为镜头焦距。
我们不必理会这个公式是怎么推导出来的,也不用去背。我们只需要知道,有那么几个因素可以影响景深大小:镜头与主体间的距离、光圈大小和镜头焦距。
下面,我们其拆解,探讨各自与景深间的具体关系。
2.1 镜头与主体间的距离
现以一枚50mm定焦镜头和一台全画幅机身作为测试器材,分别以f/2.0、f/4.0、f/6.0、f/8.0的光圈值,以不同的距离拍摄,并分别记录各自测量的景深,如图2-1所示:

图2-1
可见,无论以何种光圈值,当镜头与主体间的距离增大时,景深亦随之增大,景深与距离构成的函数曲线的斜率亦随之增大,而且这种增长还是指数级的。
实验结果与我们的日常拍摄体验完全一致,比如:
当我们在拍摄微距时,此时镜头与被摄体(焦点所在位置)间的距离很小,故照片景深通常非常浅;相反,当我们拍摄风光时,此时镜头往往距离风景(如高山、江河)非常远,故照片景深非常深。
2.2 光圈大小
我们平常所说的「光圈」(aperture),默认指的是「光圈大小」,映射到镜头上的物理组件,实际上就是指「镜头孔径的大小」(但不等于镜桶直径)。镜头光圈的大小由联动设计的虹膜叶片装置控制,与光圈值成反比,即光圈值越大,光圈越小。如图2-2所示:

图2-2
如果问「光圈与景深有什么关系?」,很多人可能会觉得陌生,一时答不上来;但若问「光圈与背景虚化有什么关系」,相信很多读者会顿觉亲切许多,因为稍微有接触过摄影的人都知道一个规律:
光圈开得越大,主体的背景便越容易产生虚化。
虚化意味着景深浅。换言之,光圈越大,主体以外的物体越模糊,照片景深越浅,亦即景深距离越小。如图2-3所示:

图2-3
由此可见,光圈孔径的大小与景深成反比关系。
若深入思考,问题还能更进一步:
为什么会出现这样的反比关系呢?
我们来看下镜头光路折射的剖面图,或许就能找到答案。
现有三个点光源(编号为1、2、3)位于镜头前,其中1和3位于镜头焦点之外,且1与镜头的距离较3远,2位于焦内且位于光轴上。当光圈全开时,三点成像如图2-4所示[1]:

图2-4
可见,1和3的成像比点2看起来要大许多,原因是,1和3不在镜头焦平面内,透镜折射后形成的锥形光并未能在平面上聚焦,而是形成了一个边缘模糊、比实际尺寸要大许多的圆——这便是弥散圆(circle of confusion)。在光圈不变的情况下,弥散圆的大小跟物体与镜头的距离、物体与焦平面的距离有关。
来看另一种场景。
当光圈收缩时,投射在像面上的入射光变得更聚集、狭长,光锥的夹角收窄,故焦外两点的成像变得更小、更清晰,弥散圆变得更小,景深变大。如图2-5所示:

图2-5
这便是光圈改变时景深也会随之变化的主要原因。光圈与景深的关系,本质上是由光在透镜中的折射规律所决定的。
2.3 镜头焦距
除了光圈,拍摄时所用的焦距也是影响景深的一个非常重要的因素。
现有三支镜头,最大焦距分别为50mm、85mm和200mm,以相同的位置、相同的光圈(f/2)分别以各自最大的焦距拍摄,请问它们所拍照片的景深大小应如何排序?
影像君相信,对于大多数摄影爱好者而言,这绝对是一个毫无难度的问题,即使他们未必有玩过上述三个焦段的镜头。
答案显而易见:
三支镜头的成像景深从大到小的排序为:50mm>85mm>200mm。
看图可能更加直观易懂,如图2-6所示:

图2-6。Photo via photographytalk
换言之,焦距越大的镜头,其「压缩景深」的能力也越强,获得浅景深的虚化效果也越容易。如果你喜欢通过背景虚化(浅景深)的方式突出主体,除了前文提及的减小拍摄距离和增大光圈之外,若条件允许,你还可以使用长焦镜头。
那么,问题来了:
为什么拍摄焦距越长,景深会越浅呢?
我们知道,根据焦距范围的不同,镜头大致可分为超广角、广角、普通、中远摄、远摄影和超远摄等6种。无论何款镜头,它们都有一个共同的物理特性:
焦距越大,对主体的放大能力越强,拍摄视角越小,反之亦然。
如图2-7所示:

图2-7。Photo via vetorstock
在图中可见,50mm、85mm和200mm分别处于普通、中远摄和远摄的焦段,它们除了镜头视角相去甚远,放大倍率也存在天壤之别。用通俗点的话说就是,在相同的拍摄位置,焦距越大,越有能力将更远的物体「拉近距离」(zoom in)来拍摄,效果等同于压缩了镜头与主体间的物理距离,感觉就像是「相机凑得更近了」。
因此,拍摄焦距越大,获得的景深越小,焦外物体越容易虚化(模糊)。
2.4 传感器大小
很多人都知道,相机传感器(感光元件)大小会影响相机的宽容度和抑噪能力,但很少人知道,它还会影响景深。
相机传感器有各种各样的尺寸,大家比较熟悉的有APS-C、4/3系统、全画幅、中画幅等。在同等条件下,传感器尺寸会直接影响相机的拍摄视野(angle of view)。若镜头焦距不变,传感器越大,它捕捉的视野便越宽广。
如图2-8,全画幅可以比APS-C画幅容纳更多的风景:

图2-8
为了研究不同尺寸的传感器在相同焦距时的成像景深,需要进行焦距转换,于是便有了「35mm等效焦距」这个概念。此概念源于胶片时代,当时一格主流菲林的宽度为35mm。
等效焦距与拍摄焦距的关系是:
等效焦距=拍摄焦距 x 裁切系数
此处引出了另一个相关参数——裁切系数(crop factor)。
所谓「裁切系数」,又称「焦距转换系数」,是指以全画幅传感器为基准(系数为1),其对角线长度与其余传感器的比值。全画幅传感器的尺寸为36mm x 24mm,大概相当于一格35mm菲林,这也是「全画幅」(full frame)命名的由来。
图2-9为各种传感器的尺寸及其裁切系数:

图2-9
由上图可见,传感器越小,裁切系数越大。换言之,在拍摄焦距和距离不变的情况下,传感器越小,其等效焦距越大。而更大的等效焦距,换来的是更窄的视野。
举个例子。一支50mm的定焦镜头在同一位置拍摄人像,若装在全画幅机身上,其拍摄焦距即为50mm,可拍到上半身人像;而若在APS-C(系数为1.6)的机身上使用,其实际拍摄焦距变成了50mm x 1.6=80mm,此时只能拍摄到人物的头部。如图2-10所示(其中红框为全画幅视野,蓝框为APS-C视野):

图2-10,Photo by Rama。
换言之,在拍摄距离相同的情况下,50mm的定焦镜头在APS-C的机身上获得了相当于80mm的拍摄视野。
说到这里,或许有人会问:
既然获得了较大的等效焦距,那么是否意味着同时获得了更浅的景深呢?
答案:不是。
来看一组对比图。将一支120mm的镜头分别安装在全画幅机身和裁切系数为1.6的机身上,以相同的设置和距离拍摄,局部放大后对比两者的景深[2],如图2-11所示:

图2-11,Photo by Nando Harmsen
对比后发现,两者景深基本一致。说白了就是,芯片小的相机虽然获得了「感觉离主体更近」的视野,但景深却并未改变,或者说改变的差异并不明显。
如果换个角度看,在APS-C机身上,192mm(120mm x 1.6)的等效焦距才获得了与全画幅的120mm基本相同的景深,亦即,传感器越小,景深越深,反之亦然。由此可见,更大的传感器才能获得更浅的景深,才更容易产生虚化。
对于许多迷恋浅景深的摄影爱好者而言,这样的结果无疑是令人失望的,因为更大的传感器意味着更贵的价格。
三、景深在摄影中的应用
理解了「景深」的概念及其影响因素之后,我们方能更好地掌握它,并结合需求,付诸实践。
通过上文,我们已经知道,景深所呈现的视觉效果无非就两种:
景深愈浅,则焦外愈模糊;景深愈深,则焦外愈清晰。
对应至摄影类别中,需陪体与主体皆清晰呈现者,非风光摄影与建筑摄影莫属。它们擅于利用较深的景深,或表现山河的辽阔与深邃(如图3-1):

图3-1,风光摄影
或突显建筑的细节与质感(如图3-2):

图3-2,建筑摄影
而需要焦外模糊以突出主体者,莫如人像摄影、花卉摄影、宠物摄影等。此类摄影通常喜用浅景深表现主次,细腻柔和的焦外虚化,传递亲近、和谐、闲适之感。

图3-3,花卉摄影

图3-4宠物摄影
当然,此处所举数例仅为应用频次高的典型案例,并非绝对。风光摄影和建筑摄影也不排斥「浅景深」,正如人像摄影、花卉摄影、宠物摄影也不拒绝「深景深」一样。摄影需要一些形式,但不能拘泥于形式,否则将难以推陈出新。
结语
纵观全文,影像君向大家详细介绍了「景深」这个概念,结合实例讲解了何为「深景深」和「浅景深」。接着,又拆解并详述了几个影响景深的关键因素:
(1)镜头与主体间的距离;(2)光圈大小;(3)镜头焦距;(4)传感器尺寸。
通过改变这些影响因子,满足景深的个性化需求,让景深为我所用。
此时,我们再回看开篇的那些问题,是否已经胸有成竹了呢?
景深,既可以很简单,又可以很复杂。它有如一把钥匙,为我们开启了通往影像语言的一道大门。
参考文献
[1]Factors affecting depth of field,, Wikipedia;
[2]Nando Harmsen, Understanding How Sensor Size Affects Depth of Field. Fstoppers.
【往期文章精选】
关于光圈,这是我为你整理的最详尽的干货,值得摄影爱好者们收藏
感光度越高曝光量就越大?为什么高ISO会带来噪点?干货答案在此
感光度越高曝光量就越大?为什么高ISO会带来噪点?干货答案在此
想学摄影?掌握这5个“套路”,让你成为朋友圈的摄影达人!
CCD和CMOS:一起聊聊两种相机芯片,揭开数字摄影世界的神秘面纱
若喜欢我的文章,请大家为我点赞、转发、收藏和评论。
头条号【影像派】,专注分享原创摄影作品及各类摄影知识。
加入【影像派】,一起感受摄影的魅力与精彩!
