欢迎阅读科学认识论的《通俗物理100课》系列,此系列旨在提高大众基础科学素养,共一百多篇文章,定期更新,涉及物理学各个方面,包括宇宙学,量子力学,相对论,弦论,以及各种前沿物理学知识。
【第2课:暗能量】
提到暗能量,很多人会将其和暗物质混淆,毕竟名字都有一个“暗”字。
其实这两者除了都不参与电磁力,基本上没有什么共同点(目前来看)。相反,暗物质具有引力作用,而暗能量是斥力作用。

如果现有宇宙学模型的预测是对的话,那暗能量会占据宇宙总能量的68.3%,暗物质则为26.8%,而我们看得见摸得着的正常物质只占据4.9%(数据存在误差)。所以对暗能量的研究,将是揭开宇宙神秘面纱的核心环节。

不管是暗物质还是暗能量,它们之所以是“暗”的,完全是因为我们看不见,这不仅肉眼上的看不见,也是电磁探测器的看不见。
所以可以确信,暗物质和暗能量都不参与电磁作用。

没有电磁作用,就意味着这些物质独立于人类的感官之外。
人类感知世界的方式无非来自五大感官,眼睛的视觉,鼻子的嗅觉,舌头的味觉,耳朵的听觉,皮肤的触觉,本质都是通过电磁力传入到人的意识中的。

而不存在电磁作用的暗物质和暗能量必然是无法被人类的感官识别到的。
与暗能量不同的是,暗物质虽然不参与电磁作用,但好在参与引力。
暗物质最早是由荷兰物理学家—扬•奥尔特提出的,也就是后来名字被命名为奥尔特云的奥尔特。

1932年,奥尔特在研究银河系自旋时发现,按照现有的引力理论,无法解释为何银河系外侧的旋转速度远超理论预测值。如果银河系内没有额外的质量,那么银河系自身的引力还不足以束缚住星系外侧超强的离心力,这会导致整个星系分崩离析。

所以就预言,银河系内一定存在一种看不见的额外物质,而这就是后来的暗物质。
如今,关于暗物质最有利的证据主要集中在大尺度下的引力透镜效应中。
最典型的就是*弹子**星系团的引力透镜。

*弹子**星系团是由船底座的两个碰撞星系组成。如果不引入暗物质,按照这两个星系的质量计算,不可能出现如此显著的引力透镜效应,所以天文学家根据引力透镜效应就能反推出暗物质的分布情况。

其中粉红色部分是正常物质发出的X射线,而蓝色部分则是通过引力透镜推算出的暗物质分布。
*弹子**星系团也是目前证明暗物质存在的最好证据。
如今我们通过大量的引力透镜效应,发现暗物质的分布基本上是团状的,分布极不均匀。

这一点就和暗能量完全不同,暗能量在宇宙中的分布是十分均匀的。况且暗能量并不参与万有引力,反而表现成万有斥力。

关于对暗能量的认识,最早还得追溯到广义相对论中。
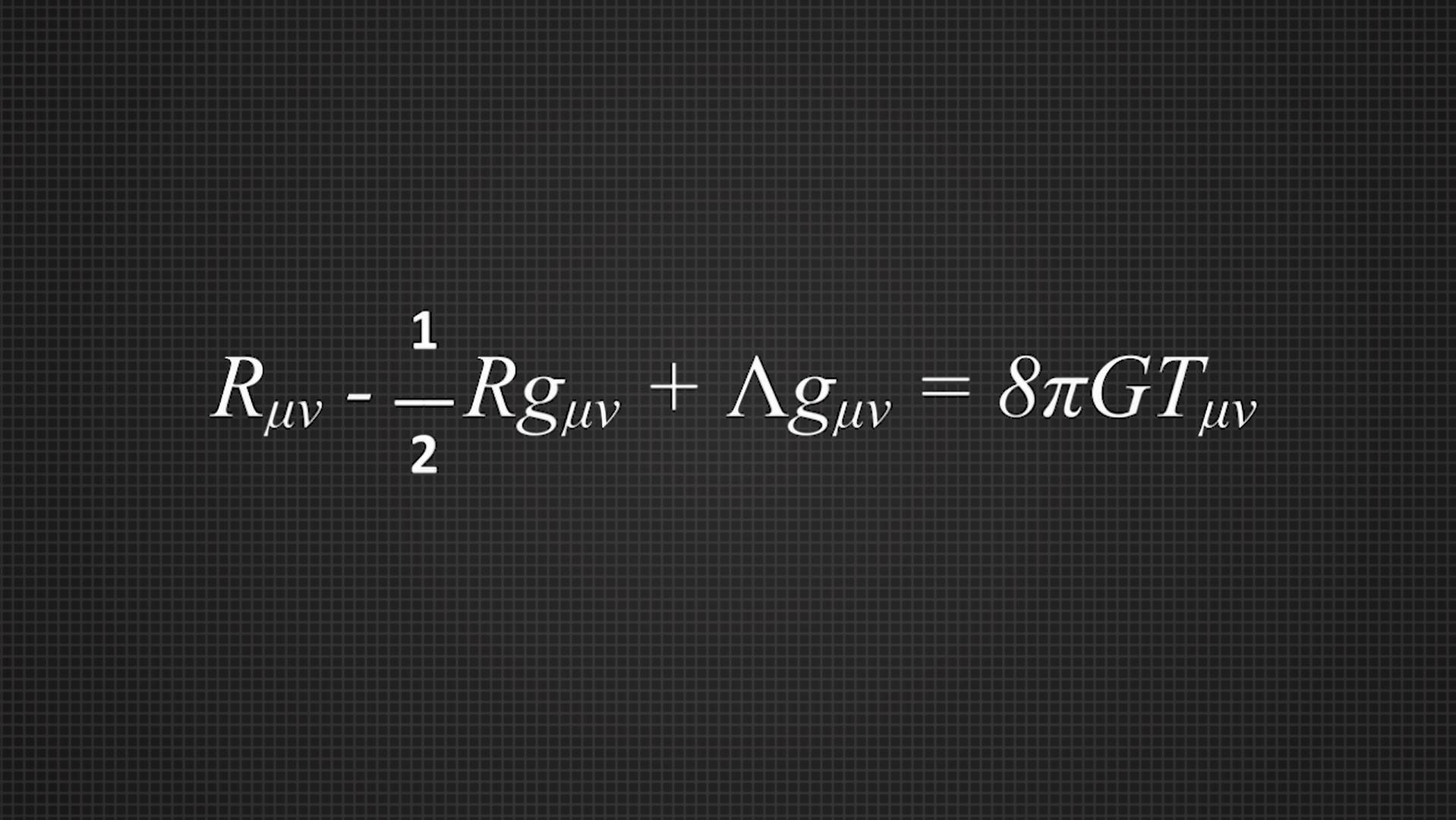
广相的核心就是引力场方程。引力场方程最初是这样的。

但在1917年,爱因斯坦在求解引力场方程时发现,其计算的结果表明宇宙是动态的,宇宙要么坍缩,要么膨胀。
但那个年代的物理学家几乎都认为宇宙是静态有限的。很难接受动态宇宙的观念。所以爱因斯坦就在引力场方程加入了一个常数,以避免引力场方程全是动态宇宙的计算结果。

这个常数就是著名的 宇宙学常数Λ ,其实在引力场方程中加入宇宙学常数后,并不是说,引力场方程计算出的结果肯定就是静态宇宙。而是起码有了一个静态宇宙的解。
可能有人会觉得,引力场方程是对引力现象的归纳,是对标自然现象的,方程中怎么能顺便加个东西呢,这样一来,方程计算的结果还正确吗。
其实在物理方程中加常数是十分常规的操作。比如库仑定律中的库仑常数K和万有引力定律中的引力常数G。
在引力公式中,如果不加常数G,F=Mm/R²虽然也能定量分析出引力和物体质量与距离之间的关系。

但是这样计算出的数值实在太大,无法和其他物理量对应上,所以就需要用一个常数抵消数量级上的差距。
在爱因斯坦的引力场方程中,加入宇宙常数也是为了和静态宇宙的理念对应上。
但是到了1924年,哈勃发现大部分星系都在远离银河系,距离我们越远的星系,其退行速度越快,这表明宇宙正在膨胀。

起初爱因斯坦并不愿意相信宇宙正在膨胀的事实,后面他还亲自跑到天文台实地观测,才不得不放弃自己的看法,并于1931年承认,在引力场方程中加入宇宙学常数,是他人生中最大的错误。

之后,爱因斯坦在引力场方程中移除了宇宙学常数。
宇宙学常数的复活要到1998年,因为就在这一年,天文学家捕获到了1a型超新星爆发的光谱线,通过对红移量的分析发现,宇宙正在加速膨胀。

而这一发现不仅预示着宇宙学常数的复活,也预示着暗能量的发现。之后,发现宇宙正在加速膨胀的这三位物理学家也获得了2011年的物理学诺奖。

为什么宇宙加速膨胀会让宇宙学常数复活呢,这又和暗能量有什么关系?
其实在1998年之前,天文学家虽然知道宇宙正在膨胀,但普遍认为这种膨胀是由宇宙大爆炸的余威推动的,是一种减速膨胀,随后在引力的作用下,宇宙会停止膨胀,然后开始收缩,最后整个宇宙又会坍缩到奇点上。

而98年发现宇宙正在加速膨胀的现象*翻推**了之前所有的猜想。当时有人甚至都怀疑引力场方程的正确性。
在此前,减速膨胀的宇宙模型中,由于不存在斥力的概念,所以引力场方程对减速膨胀的解释十分完美。

我们可以将越来越慢的膨胀理解成大爆炸的余威,大爆炸导致宇宙超光速膨胀,在引力的作用下,膨胀速度不断降低,之后宇宙开始收缩!
但随后面对宇宙加速膨胀的事实,让引力场方程难以解释。

所以从当时开始就流行广义相对论可能是局限性理论的观点。
局限性理论就是给广义相对论降级,不再认为广义相对论是宇宙中普适的引力理论,而是和牛顿引力理论一样,是一种局限性理论。牛顿的引力理论适用于恒星系内弱场,小尺度的引力现象。

而广义相对论不仅兼容牛顿引力理论,还适用于黑洞,中子星那种强场的引力现象。而对于超宏观尺度下的加速膨胀现象,则需要新的理论解释,比如斥力理论。
但是这种观点很难被认可,如果引力和斥力都存在与宇宙,那斥力和引力的分界线在哪?为什么超宏观尺度就是斥力,而不是引力呢?

目前为止,物理学家虽然已经接受了斥力的观念,但是认为斥力和引力是同时存在于宇宙之中,没有尺度上的界限。之所以超宏观尺度会表现成斥力,则有另一套说法。
这就是暗能量假说,并认为宇宙中均匀分布着暗能量,暗能量会表现出斥力作用,推动着宇宙加速膨胀。
并且,暗能量可以在宇宙学常数中找到支持。
在引力场方程中,宇宙学常数的正值代表着斥力作用。

将宇宙学常数放到爱因斯坦的引力场方程中,可能很多人都看不懂。如果能换个公式就会简单很多。
通过计算,将宇宙学常数放到牛顿引力方程中,会得到这样一个公式。

这个公式看起来就简单多了,F代表物体受到的力,G是万有引力常数,M是物体的质量,Λ是宇宙学常数,R代表物体之间的距离。
其中负号表示的是引力作用,加号则是斥力作用。
所以在加入宇宙学常数的引力公式中,物体同时会受到引力和斥力的双重作用。
负号项代表引力,加号项代表斥力。如果引力项大于斥力项则物体表现成引力作用,如果斥力项大于引力项,则物体表现成斥力作用。
但是你会发现,在这个公式中,除了距离R是变量,其他都是常量。所以物体到底呈现出引力还是斥力现象都取决于距离的大小。

在引力项中,距离R是以平方的形式处于分母中,而斥力项的距离R却处于分子中。
另外,引力项的常数GM远大于斥力项的常数值。
所以一开始,即便距离越来越远,R越来越大,导致引力项越来越小,但整体数值还是大于斥力项。毕竟一开始引力项的常数值就很大。由于引力项的R是平方,所以随着距离的变大,其引力项变小的速度更快。直到达到某个距离上的平衡点,斥力将彻底战胜引力。
一般来说,在星系尺度上,引力还是占据主导,但是当空间尺度超过数千万光年,斥力就开始占据主导。

这就解释了很多人的一个困惑,我们都知道宇宙正在加速膨胀,但是距离地球最近的仙女座星系却在以110公里/每秒的速度接近银河系,预计45亿年之后会和银河系碰撞。
其实这并不矛盾,因为银河系距离仙女座星系也就250万光年,在这个尺度上,引力还是占据主导的,如果再远一点,或许就是斥力占主导了。
目前学界主流看法认为,在引力场方程中加入宇宙学常数后,超宏观尺度下的斥力作用正是由暗能量主导的,这也是宇宙加速膨胀的推动力。

但目前,宇宙学常数面临一个很大的问题。这就是引入宇宙学常数后的引力场方程计算的真空能量 与量子力学计算的真空能量的数值严重不符。
这句话听起来有点绕。其实道理很简单,也就是说,宏观计算结果和微观计算结果严重不符。
事实上,在空无一物的真空中,能量并不为零,因为真空中总会平白无故地冒出“虚粒子对”(反物质),这些虚粒子的能量是从真空中借的,然后很快就会湮灭还给真空,宇宙中所有的空间都会不断冒出虚粒子,这就导致真空的最低能量并不为零,这就是真空零点能。

而宇宙中真空总能量就可以通过真空零点能做一个积分,也就是把宇宙中所有的真空零点能加起来,这是从微观尺度计算的真空能量。
但是在宏观尺度上,引入宇宙学常数的引力场方程也能计算出宇宙的真空能量。但是计算出的真空能量和量子力学的结果相差了120个数量级。这种差距就相当用两个理论分别计算一个人的体重。其中一个计算结果是100斤,另一个结果100万亿亿……吨。现在也不知道谁对谁错,或许两个都是错的,或许其中一个是对的,另一个是错的。更或许两者都对,但其中忽略了一个很重要的隐变量。
目前越来越多的天文数据表明,貌似宇宙学常数有问题,宇宙学常数可能并不是常数,而是一个变量。如果的确如此,就会引申出动态暗能量假说。

在动态暗能量假说中,暗能量会随着时间的推移变得越来越强,可能在遥远的未来,100米以上的尺度都是斥力,最后引力会被压缩到基本粒子以内的尺度才有效,基本粒子以外的尺度都是暗能量主导的斥力。

这就是动态暗能量理论预测的 大撕裂时代 。在大撕裂时代中,宇宙中所有的物质都表现成斥力。太阳,人体,细胞,分子,原子核都会在斥力的作用下分裂成基本粒子。宇宙中除了基本粒子,不再存在任何形式的物质结构。

基本粒子在斥力的作用下彼此远离,基本粒子之间的距离会变得无限大,宇宙也将变得无限大。