
年底很多小伙伴
都有想辞职的冲动吧
什么?
从工作第一天就想辞职了?!!

还有很多小伙伴想
如果能在春节前就把这件事搞定
也能过个安心年了

小编这就为大家准备好了
2020年头一波招聘汇总
天津18家医院公开招聘医疗人才
渴望做白衣天使的你
赶紧看看有没有适合自己的吧

具体招聘流程可
关注【天津本地宝】头条号
私信发送【招聘】
获取查询入口
一起来康康!
天津市第一中心医院

天津市人民医院

天津市第二人民医院

天津市第三中心医院

天津市第三中心医院分院

天津市第四中心医院

天津市职业病防治院(天津市工人医院)

天津市南开医院

天津市儿童医院

天津市海河医院

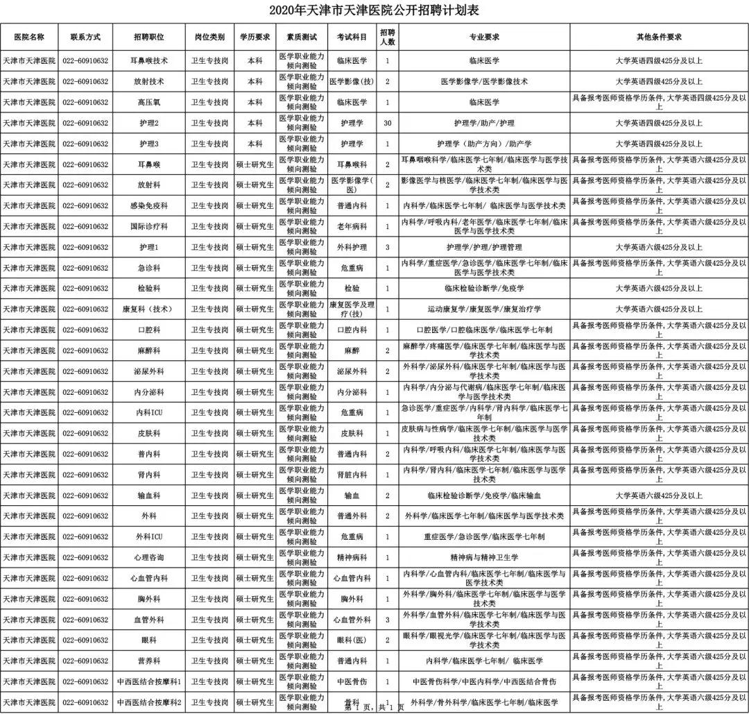
天津市天津医院

天津市环湖医院

天津市胸科医院

天津市安定医院

天津市中心妇产科医院

天津市眼科医院

天津市口腔医院

天津市中医药研究院附属医院

好工作不等人
快转给身边需要的朋友哦~

如果你想了解更多有关天津地铁、规划、*迁拆**、落户、房价、公积金、社保等消息...您可以长按文末二维码,关注【天津本地宝】头条号,私信发送【关键词】即可,如下图
