







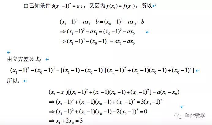
立方和(差)属于初高中衔接内容,很多时候初中老师觉得这个不属于中考考试范围,到了高中就会讲,而高中老师觉得这个内容初中应该会的(毕竟从2次到3次属于简单整式的乘法拓展),所以造成很多学生对这块掌握不是很熟练,但这个内容在高中应用还是很重要的,无论是平常练习、高考真题还是国内外的数学竞赛题里都能看到这个公式的应用。立方和(差)属于初高中衔接内容,很多时候初中老师觉得这个不属于中考考试范围,到了高中就会讲,而高中老师觉得这个内容初中应该会的(毕竟从2次到3次属于简单整式的乘法拓展),所以造成很多学生对这块掌握不是很熟练,但这个内容在高中应用还是很重要的,无论是平常练习、高考真题还是国内外的数学竞赛题里都能看到这个公式的应用。立方和(差)属于初高中衔接内容,很多时候初中老师觉得这个不属于中考考试范围,到了高中就会讲,而高中老师觉得这个内容初中应该会的(毕竟从2次到3次属于简单整式的乘法拓展),所以造成很多学生对这块掌握不是很熟练,但这个内容在高中应用还是很重要的,无论是平常练习、高考真题还是国内外的数学竞赛题里都能看到这个公式的应用