桥梁中承担桥梁荷载的一个重要构件是拉索,该构件控制整个结构物的应力分布,整座桥的应力分布可以用作衡量结构状态健康与否的重要指标。大地脉动、风雨等环境激励引起的拉索振动,以及在桥梁的运营过程中拉索遭受的损害都可能导致应力分布发生改变,从而给大跨度结构带来灾难性后果。因此在工程施工期和运营期,都有必要检测拉索力的变化。在拉索桥索力测量工程中,利用速度、加速度等传感器对微弱振动进行测量的索力测量方法是目前广泛使用的一类方法,但是该类测量方案均采用接触式测量[1-5]。
随着激光多普勒测振技术的飞速发展, 可以实现远距离、非接触测量各种微弱振动目标的运动速度及其微小变化。相对传统的声信号探测手段而言,基于激光多普勒的测振方法具有更好的灵活性、机动性,能够克服工作环境的限制。大量的研究集中在基于激光多普勒测振的声光通信方面,军事上美国海军水下战争中心的BLACKMON F A等[6]在声光通信方面做了大量研究, 提出并验证了声光通信的可行性和有效性。激光多普勒测振技术具有精度高、抗干扰能力强、保密性好等特点,消除了水体对激光传输的限制,因而可能成为一种与水下目标通信的技术手段。激光多普勒测振的分辨率一直以来不断提高[7],但是在桥梁等工程测振领域中更多地关心结构的振动信息,因此对激光多普勒测振系统中的频率稳定性和分辨率提出了更高要求[8-13]。在激光多普勒测振技术中,无失真鉴频是非常关键的技术,而一般基于双路移频器低频测振系统中双路移频器不同的噪声特性无法消除,因此目前工程上激光多普勒测速系统的频率范围和分辨率不能满足桥梁斜拉索频率法测量索力的要求。
本文根据激光多普勒测振相干检测工作原理, 设计了一种小型超低频高精度激光多普勒测振系统并用于实际桥梁拉索索力测量。由平衡探测器直接获取激光回波反射信号,利用自适应滤波器消除环境振动对激光多普勒系统带来的环境振动干扰,进而提取低频多普勒频移信息,增强了系统的灵活性和实用性, 利于系统集成以及后期处理。文中介绍了探测的原理和电路的实现方法, 并进行了实验。实验表明,测振计的本底噪音分布平坦,性能优于传统电磁式速度传感器、压电式加速度传感器,完全满足工程现场索力测量要求。
1 频率法测索力基本原理
频率法测量索力的基本原理是利用拉索自由振动时其内部应力与低频振动频率之间的关系进行间接测量。一根能够自由振动的拉索,其自由振动方程如下式:
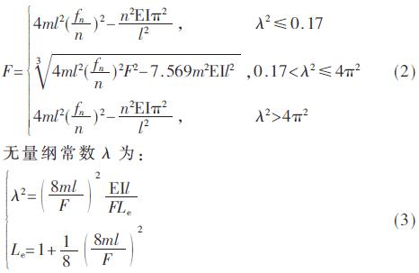
其中,m为每米拉索质量(假设质量均匀),EI表示抗弯刚度,y=y(x,t)表示拉索在t时刻垂直于索轴向的位移,t、x分别表示时间坐标、沿索向的位置坐标。同时考虑垂度影响,求解得到拉索内部轴向应力F与振动频率fn的关系为:

其中,l表示索的自由长度,n为振动频率的阶数。
2 外差式激光多普勒系统
2.1 串行双移频器外差激光多普勒系统设计
相对零差检测方式,外差检测提高了光电信号的信噪比,增强了信号的抗干扰能力,加快了测量速度,并且易于实现高分辨率测量,因而在精密测量中得到了广泛应用。本系统基于外差检测原理,采用全光纤结构,利用人眼安全的波长为1 550 nm单纵模光纤激光器输出的窄线激光作为本振光信号,经分光后发射到被测目标上,激光发射和接收采用同光轴收发,并利用光纤环行器隔离发射和接收光路。1 550 nm窄线激光首先经过80 MHz的声光调制器(AOM)上移频,然后再经过82.5 MHz的声光调制器(AOM)下移频,最终产生移频2.5 MHz的本振光。反射光和本振光拍频后由光纤传输至光电探测器,光电探测器输出电信号经过50 Ω同轴电缆传输至后续信号调理。在激光多普勒系统中安装磁电式速度传感器,用于测量由于环境振动带来的振动干扰,并在数据处理中设计自适应滤波器加以消除。当声光移频器驱动信号的频率漂移Δw(t)<<wD(t)(wD(t)为相对运动导致的频率变化)时,声光移频器的频率漂移影响可以忽略不计;否则,声光移频器的频率漂移则直接影响多普勒频移的测量准确度,最终影响速度的计算。因此,在标定外差式激光多普勒测振计的最小可分辨振动速度时,声光移频器驱动信号的频率稳定度决定了系统最小可分辨多普勒频移量,从而决定了被测目标的振动速度的分辨率。为了进一步提高外差式激光多普勒测振计的最小可探测能力,需对声光移频器驱动信号的频率稳定特性以及外差式激光多普勒测振计的结构进行优化,降低驱动信号频率漂移的不良影响。文献[5-8]使用并行双路移频器,发射光与本振光均存在较大的频率漂移,因而经过移频器的发射光会受到衰减,进一步减弱了反射光强,降低了检测距离;本文的结构只存在一路频率漂移,发射光不经过移频器,因而从光纤发射出去的发射光功率几乎无衰减,并且系统利用磁电传感器测振经过自适应滤波器消除测振系统本身的振动,进而提高抗震能力。
图1是双声光移频器构成的HLDV的振动测量实验示意图,激光器输出激光经光纤分束器分为两路:第一路再经过分光器分为光束iI、光束iII,光束Ⅰ(iI)经过光纤环形器1口入射,2口经由光纤及镜头发射至被测目标,反射光由2口返回通过光纤环形器的3口形成光束Ⅴ(iV)。第二路经过82.5 MHz的声光调制器(AOM)上移频,然后再经过80 MHz的声光调制器(AOM)下移频,最终产生移频2.5 MHz的本振光。本振光经过分光器分为光束Ⅲ(iIII)与光束Ⅳ(iIV),光束Ⅲ与光束Ⅱ经过光耦合器拍频后经探测器形成固定差频电信号UL。光束Ⅳ与光束Ⅴ在耦合器中拍频后经探测器得到电信号Us,根据文献[9]计算方法得到多普勒频移信号:

2.2 双路高稳定度DDS驱动系统设计
2.2.1 驱动系统设计
声光移频器的驱动频率的稳定性对HLDV的检测精度尤为重要,结合直接数字频率合成技术,采用ADI等公司的数字频率合成芯片AD9954,及Mini-Circuit等公司的相关射频器件,并利用Microchip公司32 bit MCU作为主控芯片控制整个系统,最终生成频率为80 MHz、82.5 MHz,幅度为24 V的2路声光移频器驱动信号,用以驱动测振系统,如图2所示。

DDS芯片AD9954内置32 bit频率调谐字和14 bit数模转换器,其相位噪音低,无杂散动态范围大、频率分辨率高以及初始相位可控。基于以上特点,以DDS芯片AD9954为核心生成驱动信号具有很高的分辨率。AD9954对时钟信号的质量要求较高,在系统设计中,需要精心选择恒温晶体振荡器作为时钟信号源。在频率控制字以及时钟信号的作用下,AD9954以差分方式输出正弦信号。在后续驱动信号的处理中,首先将AD9954的差分信号转换为单端信号,再由5阶椭圆低通滤波器重构正弦波形并对其他频率成分进行有效抑制。在信号预放大之后,经功率放大器PA直接放大至24 V以满足声光移频器的工作要求。数据采集系统差分时钟如图3所示。

2.2.2 DDS系统固件设计
软件设计是通过基于MIPS架构的32 bit处理器PIC32的四线串行外设接口(Serial Peripheral Interface,SPI)对DDS芯片AD9954的内部寄存器进行设置,包括设置频率控制字和初始相位。固件启动过程如下:
(1)初始化PIC32MZ的时钟,未使用的IO口全部设置为输入,并下拉到地。
(2)AD9954的CLKMODESELECT引脚设置为逻辑地,使用外部恒温时钟。
(3)通过PIC32的SPI1口将80 MHz与82.5 MHz的频率控制字(0x33333333、0x34CCCCCD)分别写入AD9954中。
(4)更新AD9954的I/O UPDATE引脚,使得两路AD9954S输出两路与频率控制字对应的频率。
2.3 数据采集与处理系统
2.3.1 高速数据采集系统设计
系统中的模数转换器采用ADI公司的16位最高105 MS/s高速高精度芯片AD9460,具有出众的信噪比。AD9460要求采用3.3 V和5 V电源供电,数据输出设置为CMOS格式。根据AD9460的要求,采用变压器耦合的方式将单端的时钟信号和单端模拟输入信号转换成差分信号。采集系统如图3所示。
2.3.2 回波信号数字带通滤波器设计
在多普勒测振系统中,相对速度的变化表现为多普勒频率的移动,而频率的移动需要通过对多普勒回波的频率变化的实时检测来实现,因此设拉索目标振动的相对速度为v,桥梁等大型结构的振动频率范围为f,且0≤f≤fH,fH为低频振动的带宽上限。经验上,在桥梁中等长度及长拉索的振动中,基频及高次谐波的频率fH≤20 Hz,因此,对相对运动速度v的采样率fv=40 Hz,也即频率更新的周期为25 ms。设激光多普勒系统的测速分辨率为Δv,激光多普勒拍频频差为f,每次用于FFT频率计算的数据点数为N,拍频频差分辨率为Δf,λ为激光波长,则速度v的分辨率如下式:
至此采样速率的选择成为需要解决的首要问题。外差式激光多普勒系统的频差为2.5 MHz,带宽为1 MHz,因此通过平衡探测器后的上限拍频频差为3 MHz的微弱信号,根据奈奎斯特低通采样定理需要使用超过6 MS/s的采样率进行采样,本系统使用10 MS/s的数据率。取N=400K,Δf∈(-0.5 MHz,0.5 MHz),λ=1.55 μm,则得到多普勒测速系统的分辨率Δv和量程S分别为:
为了降低信号调理前端的复杂度,提高信噪比,光电平衡探测器的微弱输出信号经过简单的放大之后,数据采集系统使用过100 MS/s进行过采样。高速数据流进入FPGA内部,经过数字带通滤波器滤波,最后经过1/10的降采样,最终以10 MS/s的速率通过USB输出至PC进行FFT分析。使用布莱克曼窗设计256阶数字带通滤波器,中心频率fc=2.5 MHz,带宽B=1 MHz,将设计的数字滤波器归一化成16位整型数,并且内嵌到FPGA中,对高速数据流进行实时带通滤波。
2.3.3 自适应环境振动噪声消除
为了有效降低环境噪声的干扰,设计了基于RLS算法的自适应噪声消除器。在激光回波测量系统上增加一个磁电式速度测量传感器,用于监测平稳环境振动带来的干扰,自适应振动干扰消除器结构如图4所示。

图4中,dn是经过镜头接收的激光回波与环境振动噪声v′的合成信号,环境噪声主要由环境振动v′引起,且与激光回波v无关。通过自适应滤波,完成对v′的噪声估计yn,将dn与yn相减得到消除环境振动噪声的激光回波信号。滤波按照以下步骤进行,基于RLS的自适应噪声消除器可以有效去除环境振动带来的干扰。
(1)初始化滤波器系数:W(0)=(0 0,…,0),P(0)=diag(1,1,…,1)。
(2)计算RLS增益矢量:
(3)计算估计误差:εn=dn-WT(n-1)N(n)。
(4)更新权系数矢量:W(n)=W(n-1)+K(n)en。
(5)递推系数矩阵:P(n)=λ-1P(n-1)-λ-1K(n)NT(n)P(n-1)。
(6)滤波器输出:yn=wT(n)N(n)。
(7)激光多普勒回波信号:en=dn-wT(n)N(n)。
3 实验结果
实验分为两部分:(1)测试激光多普勒系统的性能;(2)在拉索上进行工程实际测试。
3.1 振动测试实验
根据速度计检定规程JJG 134-2003中标准6.6.2进行。测试系统由振动台、标准传感器BK-8305、信号放大器、数据采集卡、PC等组成。移频器为上海清津光电生产的80 MHz声光移频器。激光器为窄线宽激光器,输出功率为50 mW,镜头口径为30 mm,反射目标靶位距离望远镜10 m。
3.1.1 HLDV性能测试
本文中驱动声光移频器2的驱动信号频率为82.5 MHz,如果与之配对的移频器的标称特性和驱动器匹配不好,工作特性不理想,可能出现比较严重的色散。首先保持振动台与测速系统相对静止,然后进行振动测量。图5(a)为没有相对运动时,驱动器和移频器工作特性匹配不佳情况下,接收回波和经过移频的激光拍频频谱,出现较严重的色散,且噪声明显;驱动器与移频器匹配良好情况下,本振光经过匹配良好的移频器再与反射光拍频后,效果如图5(b)所示,频谱峰值所在位置为2.5 MHz,频谱中除了外差频率2.5 MHz,则色散程度会明显减轻,倍频5 MHz和7.5 MHz明显削弱,频带范围内本底噪声不明显。色散给后续数据采集与分析带来困难,为了降低移频器色散带来的影响,提高系统的信噪比及鲁棒性能,一方面可以通过设计前端的模拟带通滤波器来滤除干扰频率,另一方面也可以通过调整声光移频器的驱动信号频率降低上述干扰频率干扰。本文采用2.3.2节中设计的数字带通滤波器对多普勒回波信号进行滤波,过采样结合数字带通滤波器之后滤波效果如图5(c)所示。

3.1.2 HLDV自适应振动噪声消除
在测试系统的附近通常会存在随机振动,如果不加以处理,多普勒系统的测量会受到系统自身的随机振动噪声带来的相对运动的干扰,进而影响对目标速度的判断。为了提高测振系统的抗振能力,在多普勒系统测振系统上增加磁电式测振计,测量测振系统本身的随机振动,并作为自适应滤波器的输入,自适应滤波器输出对该随机振动的估计,并从激光回波中消除因为测振系统本身的随机振动的影响,从而提高系统的抗振能力,滤波流程如图6所示。

自适应振动消除实验过程如下:利用振动台给被测目标和多普勒系统分别同时施加振动,首先驱动被测目标以固定频率0.5 Hz振动,同时驱动测量系统以5 Hz频率振动;设置磁电式测振计的测量值为Nn,n=0,1,…,255,采样频率为20 Hz,作为自适应滤波器的输入,多普勒系统的测量值为dn,n=0,1,…,255,利用2.3.3节RLS自适应滤波。图6(c)中,经过1 s左右,dn经过自适应滤波,误差曲线快速收敛至目标振动,系统能较好地滤除本身振动的影响,正确反映被测目标的振动。通过测振系统随机振动自适应消除,HLDV的本底噪音保持在-90 dB附近,全频带范围内本底噪音分布更为平坦,因此,测振计的低频振动探测能力得到显著提高。
3.1.3 HLDV与传统接触式传感器比较
实验将激光测振仪与目前工程中常用的磁电式传感器(941B)速度传感器进行对比,如表1所示,两者均可完成工程测量,非接触式的测量手段具有更大的工程测量优势。
3.2 模型索实际测试
测试对象为模型斜拉索,多普勒回波信号的数据采集间隔为25 ms,每次采集400 K数据点,采样频率为10 MS/s,进行功率谱分析;前一步每50 ms得到一个速度采样点,等效速度的采样频率为20 S/s。实验结果如图7所示。

4 结论
针对大型柔性结构的低频测振需要,本文设计了串行双移频器外差式激光多普勒测振系统,设计了针对串行双移频器的双路DDS驱动系统和固件系统,并设计了双路高速数据采集系统,分别采集固定外差频率与激光多普勒回波信号,从而实时计算回波频移。在此基础上对测振系统开展了实验研究,测试了HLDV的本底噪声,并利用自适应滤波器消除测振系统的随机振动,提高了系统的抗环境干扰性能,并将测振系统用于实际斜拉索频谱测试。实验接过表明,本文的HDLV分辨率为19.375 ?滋m/s,能够准确获取桥梁低频振动频率信息,系统的本底噪音曲线呈平坦分布,噪音谱线的起伏程度在有较强的随机振动存在时也能够得到明显抑制。本文HLDV的研究为实现低频振动信息的非接触检测提供了新的研究方向。
参考文献
[1] 郑灿.基于频率法的索力测试方法及索的损伤研究[D].杭州:浙江大学,2008.
[2] 汤韬,邓勇军,叶华荣,等.桥梁监测系统无线索力计的设计及应用[J].电子技术应用,2017,43(12):52-54.
[3] 李东明,胡亚斌,王永涛.基于6LoWPAN的分布式桥梁索力监测系统设计[J].电子技术应用,2017,43(3):79-82.
[4] 毛幸全,刘航,喻言,等. 基于无线传感系统的斜拉桥索力测试与分析[J].传感器技术学报,2013,26(2):271-276.
[5] KIM B H,PARK T.Estimation of cable tension force using the frequency-based system identification method[J].Journal of Sound and Vibration,2007,304:660-676.
[6] BLACKMON F A,ANTONELLI L T.Experimental detection and reception performance for uplink underwater acoustic communication using a remote,in-air,acousto-optic sensor[J].IEEE Journal of Oceanic Engineering,2006,31(1):179-187.
[7] 张澍,李玉,卢广锋.基于双频环形激光器的激光多普勒测振系统研究[J].光学学报,2016(3):103-108.
[8] TRUAX B E,DEMAREST F C,SOMMARGREN G E.Laser Doppler velocimeter for velocity and length measurements of moving surface[J].Applical Optics,1984,23(1):67-73.
[9] 尚建华,任立红,徐海芹,等.基于双声光移频器的外差式激光多普勒测振计[J].光子学报,2012,41(10):1149-1155.
[10] MYCHKOVSKY A G,CHANG N A,CECCIO S L.Brangg cell laser intensity modulation:effect on laset Doppler velocimetry measurements[J].Applied Optics,2009,48(18):3468-3474.
[11] 黄华,周健.激光多普勒测速仪中散射光特性的研究[J].应用光学,2010,31(1):151-155.
[12] 刘帆,金世龙.激光多普勒测速仪中的频谱分析技术[J].红外与激光工程,2012,41(6):1462-1470.
[13] ALAIN L D,GUY P,JEAN C V,et al.Analog sensor design proposal for laser Doppler velocimetry[J].IEEE Sensors Journal,2004,4(2):257-261.
作者信息:
李东明1,王 翔2,3,徐俊峰4,柴小鹏1,2,胡亚斌1,王永涛1
(1.中国地质大学(武汉) 自动化学院,湖北 武汉430074;2.中铁大桥科学研究院有限公司,湖北 武汉430034;
3.桥梁结构健康与安全国家重点实验室,湖北 武汉430034;4.中船重工集团公司第722研究所,湖北 武汉430074)