
不说再见
分享兴趣,传播快乐,增长见闻,留下美好。
亲爱的您,
这里是LearingYard学苑!
今天小编为大家带来《随机需求下生鲜电商供应链物流合作与运营决策》
数值分析生鲜电商利润与订货量表达式求解。
欢迎您的用心访问!
本期推文阅读时长大约5分钟,请您耐心阅读。
Share interest, spread happiness,
increase knowledge, and leave beautiful.
Dear you,
this is the LearningYard Academy!
Today I bring you "Fresh produce e-commerce supply chain logistics cooperation and operational decisions under stochastic demand
Numerical analysis of fresh produce e-commerce profit and order quantity expressions to solve.
Welcome your visit!
The reading time of this tweet is about 5 minutes, please read it with patience.
内容摘要
本期推文将通过思维导图,复刻论文内容,知识补充三个板块,复刻来自于中国管理科学期刊的期刊论文《随机需求下生鲜电商供应链物流合作与运营决策》数值分析生鲜电商利润与订货量表达式求解。
In this issue, we will review the journal paper "Supply Chain Logistics Cooperation and Operational Decisions of Fresh Food E-Commerce under Stochastic Demand" from the Chinese Journal of Management Science through three sections: mind mapping, replication of the paper content and knowledge supplement.
思维导图
关于数值分析生鲜电商利润与订货量表达式求解的思维导图如下:
A mind map on numerically analysing the solution to the fresh produce e-commerce profit and order quantity expression is as follows:

精读内容
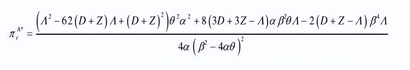
由于数值分析第一部分是对生鲜电商和订货量的关系进行分析,因此必须得到三种模式下的订货量和生鲜电商利润的表达式,而之前推文的计算过程只涉及到核心决策参数的求解过程,此次推文将通过mathematica软件求解三种模式下订货量和生鲜电商利润的过程。
首先是独立模式下的订货量和生鲜电商利润求解过程,通过基本模型中生鲜电商的订货量函数得到独立模式下的订货量。
As the first part of the numerical analysis is to analyse the relationship between the fresh produce merchant and the order quantity, the expressions for the order quantity and fresh produce merchant profit under the three modes must be obtained. While the calculation process in the previous tweets only involved the process of solving for the core decision parameters, this tweet will solve for the order quantity and fresh produce merchant profit under the three modes through the mathematica software.
The first is the process of solving for order quantity and fresh produce merchant profit in the independent mode, which is obtained from the order quantity function of the fresh produce merchant in the basic model.

通过独立模式下的生鲜电商的利润函数,并求解得到订货量和期望的表达式、销售价格、产品批发价格、保鲜努力、物流批发价格都带入到利润函数中,得到了独立模式下的生鲜电商利润表达式,分母可以看到是一样的,小编将分子展开一项一项与原文核对,计算结果没有出错。
Through the profit function of fresh produce e-commerce in independent mode, and solve to get the expression of order quantity and expectation, sales price, product wholesale price, preservation effort, logistics wholesale price are brought into the profit function to get the profit expression of fresh produce e-commerce in independent mode, the denominator can be seen to be the same, I will expand the numerator one by one with the original text to check, there is no error in the calculation result.



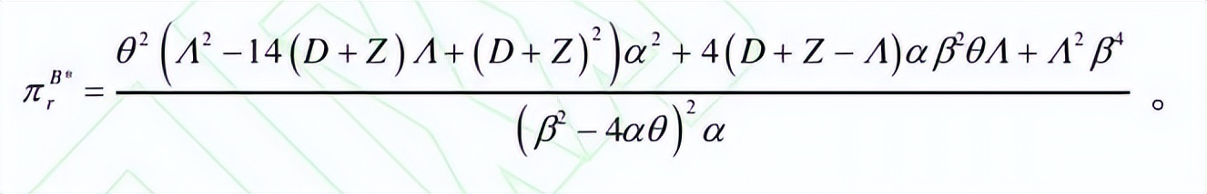
同样通过之前求得的供应商合作模式的关键参数,求得此模式下的订货量:
Again using the key parameters of the supplier cooperation model previously found, the order quantity for this model is found as follows:

随后结合供应商合作模式模型下的电商利润函数,将所有相关参数带入得到此模式下得生鲜电商利润函数,分子项经过小编一项一项核对,得到的结果与原文中的结果一致。
Subsequently, the e-commerce profit function under the supplier cooperation model was combined with all relevant parameters to obtain the fresh produce e-commerce profit function under this model, and the numerator terms were checked one by one by the editor, and the results obtained were consistent with those in the original article.



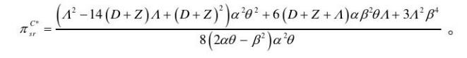
最后是电商合作模式下的订货量和电商利润表达式求解,方法和之前两种模式的一样,最后结果只有分子一项的正负号不一致,不影响研究的情况下,继续使用。
Finally, the order quantity and e-commerce profit expressions for the e-commerce cooperation model are solved in the same way as for the two previous models, with the final results only having inconsistent positive and negative signs in one of the numerators, which continue to be used without affecting the study.



知识补充
本文提到了产品积压成本,那么什么原因会导致产品积压呢?小编给大家分享几点
1.单纯的采购过多
一般当库存分析员向供应商订货的时候,供应商都会有最低订货要求,每个供应商的要求不同,有的是对订购商品的总价有要求,有的是对订购商品的总重量有要求。所以很可能为了达到供应商的订货要求,为了防止自己的几种畅销品缺货,分析员会多订一些来自这个供应商的其他货品,但这些货可能并不是畅销品类,所以也就慢慢成为了滞销品。
2.商品预测不准
当一种新商品被引入的时候,预测并不准确,所以可能预测过高以至于购入了太多的货品,或者商品的销售量发生了变化,即在销售了一段时间后,原本畅销的商品销量突然降低,但是预测模型却并没能及时反映这种变化。
3.需求和库存管理体系不完善
很多企业的需求计划不是基于客观的需求,而是一种感性的决定:原材料价格便宜,多买点;零部件交期较长,多买点;运输风险大,多买点……订货周期没有滚动需求预测的支持,也不采取不积极措施管理库存,对库存周转率意识不高。
4.客户取消订单
在现有的信用体系不完善的商业环境里,尽管违约的风险在逐年降低,但是客户取消订单的情况也是屡见不鲜,尤其是一些不具有法律效力的口头约定、合作意向或是备忘录。
5.产品设计变更或废止
库存不仅仅包括成品库存,也包括半成品库存、原材料库存、委外加工库存以及经销商库存。如果前期设计取消,那么相关的原料、半成品等库存产生积压或者报废。
This article mentions the cost of product backlogs, so what can lead to product backlogs? I'd like to share a few points with you
1. Simply purchasing too much
Generally when an inventory analyst orders from a supplier, the supplier has minimum order requirements, which vary from supplier to supplier, either in terms of the total price of the goods ordered or the total weight of the goods ordered. So it is likely that in order to meet the supplier's order requirements, and to prevent several of their best-selling items from running out of stock, the analyst will order more goods from this supplier, but these goods may not be in the best-selling category, and so they will slowly become slow sellers.
2. Inaccurate product forecasting
When a new item is introduced, the forecast is not accurate, so the forecast may be so high that too many items are purchased, or the sales volume of the item may change, i.e. after a period of time, the sales of the item that was selling well suddenly drop, but the forecast model does not reflect this change in time.
3. Inadequate demand and inventory management systems
Many companies' demand planning is not based on objective demand, but rather an emotional decision: buy more if raw materials are cheap; buy more if parts have a long lead time; buy more if transport is risky ...... order cycle is not supported by rolling demand forecasts, nor do they take inactive measures to manage inventory and have a low awareness of inventory turnover.
4. Cancellation of orders by customers
In the existing business environment with an imperfect credit system, although the risk of default is decreasing year by year, it is not uncommon for customers to cancel orders, especially verbal agreements, cooperation intentions or memoranda that do not have legal effect.
5. Product design changes or obsolescence
Inventory includes not only finished goods inventory, but also semi-finished goods inventory, raw material inventory, outsourced inventory and distributor inventory. If the previous design is cancelled, the related raw materials, semi-finished products and other inventories become backlogged or obsolete.
今天的分享就到这里了。
如果您对今天的文章有独特的想法,
欢迎给我们留言,
让我们相约明天。
祝您今天过得开心快乐!
That's it for today's sharing.
If you have a unique idea about today’s article,
welcome to leave us a message,
let us meet tomorrow.
I wish you a nice day !!
参考资料:DeepL翻译,知乎,百度
参考文献:崔鑫,李春发,周驰,米新新,沈瑶.随机需求下生鲜电商供应链物流合作与运营决策[J/OL].中国管理科学:1-15[2023-02-05].
本文由LearningYard学苑整理发出,如有侵权请在后台留言!
文字 | clear
排版| clear
审核| Goldfish