
2021 年辽宁省沈阳市和平区中考数学一模试卷
一、选择题(下列各题备选答案中,只有一个答案是正确的每小题 2 分,共 20 分)
1 .(2 分) 下列各数中,比 1 大比 2 小的无理数是( )
A .1.414 B .

C .

D .

2 .(2 分) 如图是由 7 个相同的小立方块搭成的几何体,这个几何体的俯视图是( )

|
A. |
|
B. |
C .

D.
3 .(2 分) 下列事件中,是不可能事件的是( )
A .打开电视,正在*放播**《新闻联播》
B .如果 x2=y2 ,那么 x=y


C .直线外一点与直线上各点连接的所有线段中,垂线段最短
D .从一个只有黑球的盒子里面摸出一个球是白球
4 .(2 分) 下列关于数字变换的图案中,不是中心对称图形但是轴对称图形的是( )
A .

B .

C .

D.
5 .(2 分) 下列计算结果正确的是( )
A .

B .(x2)3=x5
C .( ﹣ xy)5÷( ﹣ xy)3= ﹣ x2y2 D .3x2y ﹣ 5xy2= ﹣ 2xy
6 .(2 分) 如图,AB∥CD ,FE⊥DB 于点 E , ∠1=48° ,则∠2 的大小为( )

A .52° B .48° C .42°
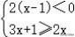
7 .(2 分) 不等式组

的解集在数轴上表示正确的是(
A .

B .

C .

D .

D .30°
)
8.(2 分) 2020 年,我国国内生产总值约为 1015986 亿元,将数据 1015986 亿用科学记数法
表示为( )
A .1.015986 ×1015
C .1.015986 ×1013
9 .(2 分) 反比例函数y=
A .第一、三象限
C .第一象限

B .1.015986 ×1014
D .1.015986 ×1012
(x>0)的图象在( )
B .第二、四象限
D .第四象限
10 .(2 分) 在平面直角坐标系中,△ABC 与△A1B1C1 的相似比是 2:1 ,并且是关于原点 O
的位似图形,若点 B 的坐标为( ﹣ 4 , ﹣ 2),则其对应点 B1 的坐标是( )
A .( ﹣ 2 , ﹣ 1 ) B .(2 ,1)
C .( ﹣ 2 , ﹣ 1)或(2 ,1 ) D .( ﹣ 8 , ﹣ 4)
二、填空题(每小题 3 分共 18 分)
11 .(3 分) 因式分解: 2m2 ﹣ 2= .
12 .(3 分) 一个多边形的内角和等于它的外角和的 4 倍,则这个多边形的边数是 .
13 .(3 分) 已知△ABC∽△DEF,AB:DE=3:5 ,△ABC 的面积为 9 ,则△DEF 的面积
.
为
14 .(3 分) 数据 5 ,2 ,2 ,3 ,1 ,5 ,4 的众数是 .
15 .(3 分) 如图,由边长为 1 的小正方形构成的网格中,点 A ,B ,C 都在格点上,以 AB 为直径的圆经过点 C,D ,则tan∠ADC 的值为 .

16 .(3 分) 如图,在四边形 ABCD 中,∠DAB= ∠BCD=90° ,对角线AC 与 BD 相交于点 E ,点 F,G 分别是 AC ,BD 的中点,当∠CBD=15° ,EG=EC ,FG=

时,则线段 AC 的长为 .

三、解答题(第 17 小题 6 分,第 18 、19 小题各 8 分,共 22 分)
17 .(6 分) 计算: 2sin60° ﹣ |

﹣ 2| ﹣ 20210 ﹣

﹣ ( ﹣

) ﹣ 1.
18.(8 分)在一个不透明的袋中装有除颜色外完全相同的 1 个红球和 2 个黄球(可记作黄 1,
黄 2).
(1)小明从袋中随机摸出 1 个球,记下颜色后放回,混合均匀后,再从中随机摸出 1 个 球,并记录下颜色.请用画树状图或列表法,求小明第一次摸到黄球,第二次摸到红球 的概率;
(2)小华从袋中随机摸出 1 个球,记下颜色后不放回,再从剩余的球中随机摸出 1 个球,
并记录下颜色.请直接写出小华两次摸到的球中有 1 个黄球,1 个红球的概率是 .
19 .(8 分) 如图,在矩形ABCD 中,对角线AC 与 BD 相交于点 E,过点 A 作AF∥BD ,过
点 B 作 BF∥AC,两线相交于点 F.
(1)求证: 四边形AEBF 是菱形;
(2)连接 CF,交 BD 于点 G ,若 BD⊥CF,请直接写出∠AED 的度数为 度.

四、(每题 8 分,共 16 分)
20 .(8 分) 某校为调查学生对数学史知识的了解情况,从全校学生中随机抽取 n 名学生进 行测试,测试成绩进行整理后分成五组,并绘制成不完整的频数分布直方图和扇形统计
图.请根据图中信息解答下列问题:

(1)本次调查共抽测了 名学生,并补全频数分布直方图;
(2)在扇形统计图中m 的值是 ,70 ﹣ 80 所对应的扇形圆心角的度数是 度;
(3)已知“80 ﹣ 90”这组的数据如下: 82 ,83 ,83 ,85 ,85 ,85 ,86 ,87 ,88 ,88 ,88, 89 ,抽取的 n 名学生测试成绩的中位数是 分;
(4)若成绩达到 60 分以上(含 60 分) 为合格,请你估计该校 2000 名学生中有多少名 学生对数学史知识了解情况为合格.
21 .(8 分) 药店购进一批口罩进行销售,进价为每盒 40 元,如果按照每盒 47 元的价格进
行销售,每月可以售出 200 盒.经过市场调查发现,每盒口罩售价每涨价 1 元,其月销
售量就将减少 10 盒.
(1)药店要保证每月销售此种口罩盈利 1700 元,又要使每盒售价不高于 55 元,则每盒 口罩可涨价多少元?
(2)若使该口罩的月销量不低于 150 盒,则每盒口罩的售价应不高于多少元? 第 4页(共 28页)
五、(本题 10 分)
22.(10 分)如图一面墙上有一个矩形门 ABCD 现要打掉部分墙体将它改为一个圆弧形的门, 在圆内接矩形ABCD 中,AD=

m ,CD=1m.
(1)求此圆弧形门所在圆的半径是多少 m?
(2)求要打掉墙体的面积是多少 m2?
(π≈3. 1 ,

≈1.7 ,结果精确到 1m2)

六、(本题 10 分)
23.(10 分) 如图,在平面直角坐标系中,△ABO 的顶点 O 是坐标原点,点A 的坐标为( ﹣ 30 ,0),点 B 的坐标为( ﹣ 30 ,30),△CDE 是位于y 轴的左侧且边长为 8

的等边三 角形,边 DE 垂直于 x 轴,△CDE 从点 C 与点 O 重合的位置开始,以每秒 2 个单位长的 速度先沿点 O 到点 A 的方向向左平移,当 DE 边与直线 AB 重合时,继续以同样的速度 沿点A 到点 B 的方向向上平移,当点 D 与点 B 重合时,△CDE 停止移动.
(1)求直线 OB 的函数表达式;
(2)当△CDE 移动 3 秒时,请直接写出此时点 C 的坐标为 ;
(3)在△CDE 的平移过程中,连接AE,AC,当△ACE 的面积为 36

时,请直接写出 此时点 E 的坐标为 .

七、(本题 12 分)
24 .(12 分) 在正方形 ABCD 中,点 M 是边 CD 上一点,点 N 是边 AD 上一点,连接 BM, CN相交于点 P ,且 CM=DN.
(1)如图 1 ,请判断线段 BM 与 CN 的数量关系和位置关系,并证明你的结论;
(2)如图 2 ,延长 CN 到点 Q ,连接DQ ,且∠CQD=45°.
①请直接写出 BP ,CP ,CQ 之间的数量关系为 ;
②连接 AC,AQ ,当 BP=2CP ,△ACQ 的面积是 6 时,请直接写出NQ 的长为 ;
(3)点 E 在线段 CN上,连接 BE,DE,当AB=

,∠BED=135°,BE+

DE=3

时,请直接写出 NE 的长为 .

八、(本题 12 分)
2021 年辽宁省沈阳市和平区中考数学一模试卷
A.
.
B.
.
C
D
参考答案与试题解析
一、选择题(下列各题备选答案中,只有一个答案是正确的每小题 2 分,共 20 分)
1 .(2 分) 下列各数中,比 1 大比 2 小的无理数是( )
A .1.414 B.

C.

D .

【分析】 由于带根号的要开不尽方是无理数,无限不循环小数为无理数,根据无理数的 定义即可求解.
【解答】 解: A 、1.414 是有理数,故此选项不符合题意;
B 、

是比 1 大比 2 小的无理数,故此选项符合题意;
C、

是有理数,故此选项不符合题意;
D 、

是比 2 大的无理数,故此选项不符合题意;
故选: B.
【点评】 此题主要考查了实数大小的比较,解题时注意带根号的要开不尽方才是无理数,
无限不循环小数为无理数.
2 .(2 分) 如图是由 7 个相同的小立方块搭成的几何体,这个几何体的俯视图是( )





【分析】 俯视图是从上面看所得到的图形.
A.
B.
.
.
C
D
【解答】 解: 从上面看,底层左边是一个小正方形,上层是两个小正方形. 故选: A.
【点评】 此题主要考查了几何体的三视图,关键是掌握俯视图所看的位置.
3 .(2 分) 下列事件中,是不可能事件的是( )
A .打开电视,正在*放播**《新闻联播》
B .如果 x2=y2 ,那么 x=y
C .直线外一点与直线上各点连接的所有线段中,垂线段最短
D .从一个只有黑球的盒子里面摸出一个球是白球
【分析】 根据事件发生的可能性大小判断.
【解答】 解: A 、打开电视,正在*放播**《新闻联播》,是随机事件;
B 、如果 x2=y2 ,那么 x=y ,是随机事件;
C、直线外一点与直线上各点连接的所有线段中,垂线段最短,是必然事件; D 、从一个只有黑球的盒子里面摸出一个球是白球,是不可能事件;
故选: D.
【点评】 本题考查的是必然事件、不可能事件、随机事件的概念,必然事件指在一定条 件下,一定发生的事件.不可能事件是指在一定条件下,一定不发生的事件,不确定事
件即随机事件是指在一定条件下,可能发生也可能不发生的事件.
4 .(2 分) 下列关于数字变换的图案中,不是中心对称图形但是轴对称图形的是( )




【分析】 根据中心对称图形和轴对称图形的概念对各选项分析判断即可得解.
【解答】 解: A 、是中心对称图形,不是轴对称图形,故本选项不合题意;
B 、不是中心对称图形,但是轴对称图形,故本选项符合题意;
C、既不是中心对称图形,也不是轴对称图形,故本选项不合题意;
D 、既是中心对称图形,也是轴对称图形,故本选项不合题意.
故选: B.
【点评】 本题考查了中心对称图形与轴对称图形的概念,轴对称图形的关键是寻找对称 轴,图形两部分折叠后可重合,中心对称图形是要寻找对称中心,旋转 180 度后两部分
重合.
第 8页(共 28页)
5 .(2 分) 下列计算结果正确的是( )
A .

C .( ﹣ xy)5÷( ﹣ xy)3= ﹣ x2y2
B .(x2)3=x5
D .3x2y ﹣ 5xy2= ﹣ 2xy
【分析】 A .直接根据分式的加减运算法则判断即可;
B .根据幂的乘方运算法则判断即可;
C.根据积的乘方与幂的乘方运算法则判断即可;
D .根据同类项概念判断即可.
【解答】 解: A 、

,正确;
B 、(x2)3=x6 ,故不正确;
C、( ﹣ xy)5÷( ﹣ xy)3= ﹣x5y5÷( ﹣x3y3)=x2y2 ,故不正确;
D 、3x2y ﹣ 5xy2 不是同类项,不能合并,故不正确.
故选: A.
【点评】 此题考查的是分式的加减运算,掌握其运算法则是解决此题关键.
6 .(2 分) 如图,AB∥CD ,FE⊥DB 于点 E , ∠1=48° ,则∠2 的大小为( )

A .52° B .48° C .42° D .30°
【分析】 先根据直角三角形的性质得出∠D 的度数,再由平行线的性质即可得出结论. 【解答】 解: ∵FE⊥DB,
∵∠DEF=90°.
∵∠1=48°,
∴∠D=90° ﹣ 48° =42°,
∵AB∥CD,
∴∠2= ∠D=42°.
故选: C.
【点评】 本题考查的是平行线的性质,用到的知识点为: 两直线平行,同位角相等.
7 .(2 分) 不等式组

的解集在数轴上表示正确的是( )
A .

B .

C .

D .

【分析】 分别求出每一个不等式的解集,根据口诀: 同大取大、同小取小、大小小大中 间找、大大小小找不到确定不等式组的解集.
【解答】 解: 解不等式 2 (x ﹣ 1)<0 ,得: x<1,
解不等式 3x+1≥2x ,得: x≥ ﹣ 1,
则不等式组的解集为 ﹣ 1≤x<1,
故选: A.
【点评】 本题考查的是解一元一次不等式组,正确求出每一个不等式解集是基础,熟知 “同大取大; 同小取小; 大小小大中间找; 大大小小找不到”的原则是解答此题的关键.
8.(2 分) 2020 年,我国国内生产总值约为 1015986 亿元,将数据 1015986 亿用科学记数法
表示为( )
A .1.015986 ×1015
C .1.015986 ×1013
B .1.015986 ×1014
D .1.015986 ×1012
【分析】 科学记数法的表示形式为 a ×10n 的形式,其中 1≤|a|<10 ,n 为整数.确定 n 的值时,要看把原数变成 a 时,小数点移动了多少位,n 的绝对值与小数点移动的位数相 同.当原数绝对值≥10 时,n 是正整数; 当原数的绝对值< 1 时,n 是负整数.
【解答】 解: 1015986 亿= 101598600000000=1.015986×1014.
故选: B.
【点评】 此题考查科学记数法的表示方法.科学记数法的表示形式为 a ×10n 的形式,其
中 1≤|a|<10 ,n 为整数,表示时关键要正确确定 a 的值以及 n 的值.
9 .(2 分) 反比例函数y=

(x>0)的图象在( ) 第 10页(共 28页)

, ﹣ 2 ×
A .第一、三象限
C .第一象限
B .第二、四象限
D .第四象限
【分析】 由k= ﹣ 5 知,图象位于第二、四象限,而 x>0 可知,图象在第四象限,即可 得出答案.
【解答】 解: ∵k= ﹣ 5,
∴图象位于第二、四象限,
∵x>0,
∴图象在第四象限.
故选: D.
【点评】 本题考查反比例函数的图象与性质,特别注意 x>0 这一条件,是正确解决问题 的关键.
10 .(2 分) 在平面直角坐标系中,△ABC 与△A1B1C1 的相似比是 2:1 ,并且是关于原点 O
的位似图形,若点 B 的坐标为( ﹣ 4 , ﹣ 2),则其对应点 B1 的坐标是( )
A .( ﹣ 2 , ﹣ 1 ) B .(2 ,1)
C .( ﹣ 2 , ﹣ 1)或(2 ,1 ) D .( ﹣ 8 , ﹣ 4)
【分析】 根据位似变换的性质计算,得到答案.
【解答】 解: ∵△ABC 与△A1B1C1 的相似比是 2:1 ,并且是关于原点 O 的位似图形,
点 B 的坐标为( ﹣ 4 , ﹣ 2),
则其对应点 B1 的坐标是( ﹣ 4×
2 , ﹣ 1 )或(2 ,1),
故选: C.

|
)或( ﹣ 4×( ﹣ |
|
), ﹣ 2 ×( ﹣ |
|
)),即( ﹣ |
【点评】 本题考查的是位似变换的概念和性质,在平面直角坐标系中,如果位似变换是
以原点为位似中心,相似比为k,那么位似图形对应点的坐标的比等于 k 或 ﹣ k.
二、填空题(每小题 3 分共 18 分)
11 .(3 分) 因式分解: 2m2 ﹣ 2= 2(m+1)(m ﹣ 1) .
【分析】 直接提取公因式 2 ,再利用平方差公式分解因式即可.
【解答】 解: 2m2 ﹣ 2=2(m2 ﹣ 1)
=2 (m+1)(m ﹣ 1).
故答案为: 2 (m+1)(m ﹣ 1).
【点评】 此题主要考查了提取公因式法以及公式法分解因式,正确运用乘法公式是解题
关键.
12 .(3 分) 一个多边形的内角和等于它的外角和的 4 倍,则这个多边形的边数是 10 .
【分析】 设这个多边形的边数为 n,根据多边形内角和公式和外角和定理,列出方程求解
即可.
【解答】 解: 设这个多边形的边数为 n,
(n ﹣ 2) •180°=4×360°,
解得 n=10,
故答案为: 10.
【点评】 本题考查了多边形的内角和与外角和,关键是熟练掌握多边形的内角和公式与 外角和定理.
13 .(3 分) 已知△ABC∽△DEF,AB:DE=3:5 ,△ABC 的面积为 9 ,则△DEF 的面积为
25 .
【分析】 根据相似三角形的面积比等于相似比的平方计算,得到答案.
【解答】 解: ∵△ABC∽△DEF,AB:DE=3:5,
∴

=(

)2=

,
∵△ABC 的面积为 9,
∴△DEF 的面积为 25,
故答案为: 25.
【点评】 本题考查的是相似三角形的性质,掌握相似三角形的面积比等于相似比的平方 是解题的关键.
14 .(3 分) 数据 5 ,2 ,2 ,3 ,1 ,5 ,4 的众数是 2 和 5 .
【分析】 根据众数的概念求解即可.
【解答】 解: 数据 5 ,2 ,2 ,3 ,1 ,5 ,4 中,2 和 5 出现次数最多,有 2 次,
所以这组数据的众数为 2 和 5,
故答案为: 2 和 5.
【点评】 本题主要考查众数,求一组数据的众数的方法: 找出频数最多的那个数据,若 几个数据频数都是最多且相同,此时众数就是这多个数据.
15 .(3 分) 如图,由边长为 1 的小正方形构成的网格中,点 A ,B ,C 都在格点上,以 AB 第 12页(共 28页)

.
为直径的圆经过点 C,D ,则tan∠ADC 的值为


【分析】 首先根据圆周角定理可知, ∠ADC= ∠ABC ,然后在 Rt△ACB 中,根据锐角三 角函数的定义求出∠ABC 的正切值.
【解答】 解: 如图,连接AC、BC.
∵∠ADC 和∠ABC 所对的弧长都是

,
∴根据圆周角定理知, ∠ADC= ∠ABC.
在 Rt△ACB 中,根据锐角三角函数的定义知,
tan∠ADC=tan∠ABC=

=

,
故答案为:

.

【点评】 本题考查了圆周角定理,解直角三角形,勾股定理,锐角三角函数的定义,解 答本题的关键是利用圆周角定理把求∠ADC 的正切值转化成求∠ABC 的正切值,本题是
一道比较不错的习题.
16 .(3 分) 如图,在四边形 ABCD 中,∠DAB= ∠BCD=90° ,对角线AC 与 BD 相交于点 E ,点 F,G 分别是 AC ,BD 的中点,当∠CBD=15° ,EG=EC ,FG=

时,则线段 AC 的长为 6 .

【分析】 连接AG ,CG ,由直角三角形的性质判断△ACG 为等腰三角形,并根据题意求 出∠CGE=30° , ∠GFC=90° ,从而在 Rt△GFC 中求解即可.
【解答】 解: 如图所示,连接AG ,CG,

由题意,△ABD 与△BCD 均是 BD 为斜边的直角三角形,
∴AG=

BD ,CG=

BD,
即: AG=CG,
∴△ACG 为等腰三角形,
∵∠CBD=15° ,CG=BG,
∴∠CGE=2∠CBD=30°,
∵EC=EG,
∴∠ECD= ∠CGE=30°,
又∵F 为AC 的中点,
∴GF 为△ACG 的中线,AF=CF,
∴由“三线合一“知,GF⊥AC , ∠GFC=90°,
∵FG=

,
∴CF=

FG=3,
∴AC=2FC=6,
故答案为: 6.
【点评】 本题考查了勾股定理,直角三角形的性质等,灵活运用直角三角形相关性质是 解题关键.
三、解答题(第 17 小题 6 分,第 18 、19 小题各 8 分,共 22 分) 第 14页(共 28页)
17 .(6 分) 计算: 2sin60° ﹣ |

﹣ 2| ﹣ 20210 ﹣

﹣ ( ﹣

) ﹣ 1.
【分析】 直接利用特殊角的三角函数值以及零指数幂的性质、负整数指数幂的性质、特
殊角的三角函数值、绝对值的性质分别化简得出答案.
【解答】 解: 原式=2×

﹣ (2 ﹣

) ﹣ 1 ﹣ 2

+3
=

﹣ 2+

﹣ 1 ﹣ 2

+3
=0.
【点评】 此题主要考查了实数运算,正确化简各数是解题关键.
18.(8 分)在一个不透明的袋中装有除颜色外完全相同的 1 个红球和 2 个黄球(可记作黄 1, 黄 2).
(1)小明从袋中随机摸出 1 个球,记下颜色后放回,混合均匀后,再从中随机摸出 1 个 球,并记录下颜色.请用画树状图或列表法,求小明第一次摸到黄球,第二次摸到红球
的概率;
(2)小华从袋中随机摸出 1 个球,记下颜色后不放回,再从剩余的球中随机摸出 1 个球,
并记录下颜色.请直接写出小华两次摸到的球中有 1 个黄球,1 个红球的概率是

.
【分析】(1)首先根据题意画出树状图,然后由树状图求得所有可能的结果与第一次摸 到黄球,第二次摸到红球的所有情况,再利用概率公式即可求得答案;
(2)首先根据题意画出树状图,然后由树状图求得所有可能的结果与两次摸到的球中有
1 个黄球,1 个红球的所有情况,再利用概率公式即可求得答案.
【解答】 解:( 1)画树状图如下:

由树状图可知,共有 9 种结果,其中第一次摸到黄球,第二次摸到红球共 2 种,
∴第一次摸到黄球,第二次摸到红球的概率为 P1=

;
(2)画树状图如下:

由树状图可知,共有 6 种结果,其中两次摸到的球中有 1 个黄球,1 个红球有 4 种,
,
∴两次摸到的球中有 1 个黄球,1 个红球的概率为 P2=
故答案为:

.

=

【点评】本题考查了列表法与树状图法:利用列表法或树状图法展示所有等可能的结果 n, 再从中选出符合事件A 或 B 的结果数目 m,然后利用概率公式计算事件A 或事件 B 的概 率.
19 .(8 分) 如图,在矩形ABCD 中,对角线AC 与 BD 相交于点 E,过点 A 作AF∥BD ,过 点 B 作 BF∥AC,两线相交于点 F.
(1)求证: 四边形AEBF 是菱形;
(2)连接 CF,交 BD 于点 G ,若 BD⊥CF,请直接写出∠AED 的度数为 60 度.

【分析】(1)先证明四边形 AEBF 是平行四边形,再由矩形的性质得出 AE=BE=DE, 即可得出四边形AEBF 是菱形;
(2)连接 EF,由菱形的性质得出 AE=BE=AF=BF,证出△AEF 和△BEF 是等边三角
形,即可求解.
【解答】 证明:( 1) ∵AF∥BD ,BF∥AC,
∴四边形AEBF 是平行四边形,
∵四边形ABCD 是矩形,
∴AE=CE ,BE=DE,AC=BD,
∴AE=BE=DE,
∴四边形AEBF 是菱形;
(2)连接 EF,

∵四边形AEBF 是菱形,
∴AE=BE=AF=BF,
∵BD∥AF,BD⊥CF,
∴∠AFG= ∠DGC=90°,
∵AE=EC,
∴EF=AE=EC,
∴AE=EF=AF=EB=BF,
∴△AEF 是等边三角形,△BEF 是等边三角形,
∴∠AEF= ∠BEF=60°,
∴∠AED=60°,
故答案为 60.
【点评】 本题考查了菱形的判定与性质、矩形的性质、等边三角形的判定与性质、平行
四边形的判定; 熟练掌握矩形的性质和菱形的判定与性质,证明四边形 AEBF 是菱形再
进一步证出△AEF 和△BEF 是等边三角形是解决问题(2)的关键.
四、(每题 8 分,共 16 分)
20 .(8 分) 某校为调查学生对数学史知识的了解情况,从全校学生中随机抽取 n 名学生进
行测试,测试成绩进行整理后分成五组,并绘制成不完整的频数分布直方图和扇形统计
图.请根据图中信息解答下列问题:

(1)本次调查共抽测了 50 名学生,并补全频数分布直方图;
(2)在扇形统计图中 m 的值是 16 ,70 ﹣ 80 所对应的扇形圆心角的度数是 72 度; (3)已知“80 ﹣ 90”这组的数据如下: 82 ,83 ,83 ,85 ,85 ,85 ,86 ,87 ,88 ,88 ,88, 89 ,抽取的 n 名学生测试成绩的中位数是 84 分;
(4)若成绩达到 60 分以上(含 60 分) 为合格,请你估计该校 2000 名学生中有多少名 第 17页(共 28页)
学生对数学史知识了解情况为合格.
【分析】(1)根据 80~90 的人数和所占的百分比,可以求得本次调查的学生人数,然后 即可计算出 90~100 这一组的人数,从而可以将频数分布直方图补充完整;
(2)根据(1)中的结果,可以计算出 m 的值和 70 ﹣ 80 所对应的扇形圆心角的度数;
(3)根据直方图中的数据和题目中的数据,可以计算出中位数;
(4)根据直方图中的数据,可以计算出该校 2000 名学生中有多少名学生对数学史知识
了解情况为合格.
【解答】 解:( 1)本次调查共抽测了 12÷24%=50 名学生,
故答案为: 50,
90~100 的学生有: 50 ﹣ 4 ﹣ 8 ﹣ 10 ﹣ 12=16(人),
补全的频数分布直方图如右图所示;
(2)m%=8÷50×100%=16%,
即 m 的值是 16,
70 ﹣ 80 所对应的扇形圆心角的度数是 360°
故答案为: 16 ,72;
(3)由直方图可得,
×

=72°,
抽取的 n 名学生测试成绩的中位数是(83+85) ÷2=84(分),
故答案为: 84;
(4)2000×

=1840 (名),
即估计该校 2000 名学生中有 1840 名学生对数学史知识了解情况为合格.

【点评】 本题考查频数分布直方图、扇形统计图、用样本估计总体,解答本题的关键是
明确题意,利用数形结合的思想解答.
21 .(8 分) 药店购进一批口罩进行销售,进价为每盒 40 元,如果按照每盒 47 元的价格进 行销售,每月可以售出 200 盒.经过市场调查发现,每盒口罩售价每涨价 1 元,其月销 售量就将减少 10 盒.
(1)药店要保证每月销售此种口罩盈利 1700 元,又要使每盒售价不高于 55 元,则每盒 口罩可涨价多少元?
(2)若使该口罩的月销量不低于 150 盒,则每盒口罩的售价应不高于多少元?
【分析】(1)设每盒口罩需涨价 x 元,根据“每盒口罩涨价 1 元,则口罩的销量每月减 少 10 盒”表示出销售量,由(售价 ﹣ 进价) ×销售量=利润列出方程,求出方程的解即
可得到结果;
(2)设每盒口罩的售价为 m 元,由关键描述语“该口罩的月销量不低于 150 盒”列出不 等式求解即可.
【解答】 解:( 1)设每盒口罩可涨价 x 元,
则每月可售(200 ﹣ 10x )盒,
由题意,得(x+47 ﹣ 40)(200 ﹣ 10x )=1700,
解得 x1=3,x2=10(不合题意,舍去),
∵3+47=50<55,
∴每盒口罩可涨价 3 元,
答: 每盒口罩可涨价 3 元;
(2)设每盒口罩的售价为 m 元,
则 200 ﹣ 10(m ﹣ 47) ≥150,
解得,m≤52.
即: 每盒口罩的售价应不高于 52 元.
答: 每盒口罩的售价应不高于 52 元.
【点评】 此题考查了一元二次方程的应用,弄清“每盒口罩涨价 1 元,则口罩的销量每
月减少 10 盒”是解本题的关键.
五、(本题 10 分)
22.(10 分)如图一面墙上有一个矩形门 ABCD 现要打掉部分墙体将它改为一个圆弧形的门, 在圆内接矩形ABCD 中,AD=

m ,CD=1m.
(1)求此圆弧形门所在圆的半径是多少 m?
第 19页(共 28页)
(2)求要打掉墙体的面积是多少 m2?
(π≈3. 1 ,

≈1.7 ,结果精确到 1m2)

【分析】(1)先证得 BD 是直径,利用勾股定理求出 BD 的长,即可求得半径;
(2)打掉墙体的面积=2(S 扇形 OAD ﹣ S△AOD)+S 扇形 OAB ﹣ S△AOB,根据扇形的面积和三角 形的面积求出即可.
【解答】 解:( 1)连接 BD ,如图所示:
∵四边形ABCD 是矩形,
∴∠BAD=90°,AB=CD=1m,
∴BD 是直径,BD=

=

=2 (m),
∴圆弧形门所在圆的半径为 1m;
(2)取圆心 O ,连接 OA,
由(1)可知,OA=OB=AB=1m,
∴△AOB 是正三角形,
∴∠AOB=60° , ∠AOD=120°,
∴S△AOB=S△AOD=

S△ABD=

×

×

×1=

(m2),
∴要打掉墙体的面积 S=2 (S 扇形 OAD ﹣ S△AOD)+S 扇形 OAB ﹣ S△AOB
=2 (

﹣

)+(

﹣

)
=

π ﹣

≈1 (m2),
∴要打掉墙体的面积约为 1m2.

【点评】 本题考查了圆周角定理和垂径定理,扇形和三角形的面积,矩形的性质等知识; 关键是理解阴影部分的面积是由哪几部分图形组成.
六、(本题 10 分)
23.(10 分) 如图,在平面直角坐标系中,△ABO 的顶点 O 是坐标原点,点A 的坐标为( ﹣ 30 ,0),点 B 的坐标为( ﹣ 30 ,30),△CDE 是位于y 轴的左侧且边长为 8

的等边三 角形,边 DE 垂直于 x 轴,△CDE 从点 C 与点 O 重合的位置开始,以每秒 2 个单位长的 速度先沿点 O 到点 A 的方向向左平移,当 DE 边与直线 AB 重合时,继续以同样的速度 沿点A 到点 B 的方向向上平移,当点 D 与点 B 重合时,△CDE 停止移动.
(1)求直线 OB 的函数表达式;
(2)当△CDE 移动 3 秒时,请直接写出此时点 C 的坐标为 ﹣ 6 ;
(3)在△CDE 的平移过程中,连接AE,AC,当△ACE 的面积为 36

时,请直接写出 此时点 E 的坐标为 ( ﹣ 24 , ﹣ 4

)或( ﹣ 30 ,6

) .

【分析】(1)由题知直线 OB 过原点和 B 点,用待定系数法求解析式即可; (2)根据平移速度求出平移距离即可求出 C 点坐标;
(3)分在 x 轴上移动和在 AB 边上运动两种情况计算出 E 点坐标即可. 【解答】 解:( 1) ∵直线 OB 过原点,
∴设直线 OB 解析式为y=kx,
点 B( ﹣ 30 ,30)代入解析式,
得 30= ﹣ 30k,
解得 k= ﹣ 1,
∴OB 的解析式为y= ﹣ x;
(2) ∵△CDE 是边长为 8

的等边三角形,设 DE 边与 x 轴交于点 F,
∴CF=

,
∵CD=8

,DF=

DE=4

,
∴CF=12,
∵12+3×2=18 ,△CDE 向左移动了 6 个单位还在 x 轴上,
∴点 C 的坐标为( ﹣ 6 ,0),
故答案为( ﹣ 6 ,0);
(3)①假设△CDE 在 x 轴上移动, 此时△ACE 的高一直为 EF=4

, ∵S△ACE=

AC•EF=36

, ∴AC=18,
∴OF=OC+CF=OA ﹣ AC+CF=30 ﹣ 18+12=24,
∴E 点坐标为( ﹣ 24 , ﹣ 4

),
②假设△CDE 在AB 边上移动,
过点 C 作 CH⊥AB 于 H,
∵△CDE 是边长为 8

的等边三角形,
∴EH=

DE=4

,CH=

=12,
又∵S△ACE=

AE•CH=36

,
∴

AE×12=36

,
解得AE=6

>4

,
∴点 E 在第二象限,
∴E( ﹣ 30 ,6

),
综上,点 E 的坐标为( ﹣ 24 , ﹣ 4

)或( ﹣ 30 ,6

),
第 22页(共 28页)
故答案为( ﹣ 24 , ﹣ 4

)或( ﹣ 30 ,6

).
【点评】 本题考查了一次函数的几何应用、等边三角形的性质、平移的性质、勾股定理 等知识点,较难的是题(3),正确分两种情况讨论是解题的关键.
七、(本题 12 分)
24 .(12 分) 在正方形 ABCD 中,点 M 是边 CD 上一点,点 N 是边 AD 上一点,连接 BM, CN相交于点 P ,且 CM=DN.
(1)如图 1 ,请判断线段 BM 与 CN 的数量关系和位置关系,并证明你的结论;
(2)如图 2 ,延长 CN 到点 Q ,连接DQ ,且∠CQD=45°.
①请直接写出 BP ,CP ,CQ 之间的数量关系为 BP+CP=CQ ;
②连接 AC,AQ ,当 BP=2CP ,△ACQ 的面积是 6 时,请直接写出NQ 的长为 1 ;
(3)点 E 在线段 CN上,连接 BE,DE,当AB=

,∠BED=135°,BE+

DE=3

时,请直接写出 NE 的长为

或 3

.

【分析】(1)根据正方形的边相等、角相等及 CM=DN,证明△BCM≌△CDN,得 BM =CN,∠CBM= ∠DCN,再导出∠CBM+∠PCB=90° ,从而得到∠BPC=90°,BM⊥
CN.
(2)①作 DF⊥CQ 于点 F,得到等腰直角三角形DFQ ,再证明△BPC≌△CFD ,推得 BP+CP=CQ.
②由题意可得△ANQ∽△CND∽△BCP,可知 N 为 AD 的中点,AQ =2NQ ,为后面计算 方便,设正方形的边长为 2a ,这样AQ 、CQ 都可以用含 a 的代数式表示,由相似三角形 的性质可以推得∠AQN=90° ,由△ACQ 的面积是 6 列方程求出 a 的值,再转化为NQ
的长.
(3)过点 B 作 BH⊥DE,交 DE 的延长线于点 H,连接 BD,由∠BED=135°,BE+

DE =3

这些条件,求出∠BDH=30°这一隐含条件,再按点 E 在 BD 的上方和下方两种
情况分别求出 NE 的长.
【解答】 解:( 1)BM=CN,BM⊥CN.
证明: 如图 1 ,在正方形ABCD 中, ∠BCM= ∠CDN=90° ,BC=CD.
∵CM=DN,
∴△BCM≌△CDN(SAS),
∴BM=CN;
∵∠CBM= ∠DCN,
∴∠CBM+∠PCB= ∠DCN+∠PCB= ∠BCD=90°,
∴∠BPC=90° ,BM⊥CN.
∴BM=CN,BM⊥CN.
(2)①如图 2 ,作 DF⊥CQ 于点 F,则∠CFD= ∠DFQ =90°.
∵∠CQD=45°,
∴∠FDQ=45° = ∠CQD,
∴DF=QF.
由(1)得∠PBC= ∠FCD , ∠BPC=90°,
∴∠BPC= ∠CFD,
∵BC=CD,
∴△BPC≌△CFD (AAS),
∴BP=CF,CP=DF=QF,
∴BP+CP=CF+QF=CQ.
故答案为: BP+CP=CQ.
②如图 3 ,设正方形 ABCD 的边长为 2a.
∵AD=CD , ∠ADC=90° , ∠CQD=45°,
∴∠CAN=45°= ∠CQD,
又∵∠ANC= ∠QND,
∴△ACN∽△QDN,
∴

,
∴

,
∵∠ANQ = ∠CND,
第 24页(共 28页)



=
×
×
∴△ANQ∽△CND,
∴∠AQN= ∠CDN= ∠BPC=90° , ∠QAN= ∠DCN= ∠CBM,
∴

=tan∠CBM=

=

,
∵CD=AD=2a,
∴DN=

CD=a,AN=a.
设NQ=x ,则AQ =2x,
∴x2+ (2x )2=a2,
解得 x=

a,
∴NQ=

a,AQ=

a,
∵CN=

=

,
∴CQ=

a+

=

a,
由 S△AC
∴NQ=
Q=6 ,得

a=

|
a × 1. |
|
a=6 ,解得 a=
或 a=
(不符合题意,舍去), |
故答案为: 1.
(3)作 BH⊥DE,交 DE 的延长线于点 H,连接 BD.
当点 E 在 BD 的上方时,如图 4.
∵∠H=90° , ∠BEH=180° ﹣ ∠135°=45°,
∴∠EBH=45°,
∴BH=EH,
∴EH=BE•sin45°=

BE,
∵BE+

DE=

,
∴

(BE+

DE)=

×

,
∴

BE+DE=3,
∴EH+DE=3,
∴DH=3;
∵AB=AD=

, ∠A=90°,
∴BD2=(

)2+(

)2=12,
∴BD=2

;
∵cos∠BDH=

=

∴∠BDH=30°,
∴EH=BH=

BD=

,
∴BE=

=

=BC.
∵∠EBD= ∠BEH ﹣ ∠BDH=45° ﹣ 30° =15° , ∠CBD= ∠CDB=45°,
∴∠CBE=15°+45° =60°,
∴△BCE 是等边三角形,
∴CE=BC=

,
∵AD∥BC,
∴∠DNC= ∠BCE=60°,
由

,得 CN=

=2

,
∴EN=CN ﹣ CE=

;
当点 E 在 BD 的下方时,如图 5 ,作 ER⊥BC 于点 R.
同理可得 DH=3 , ∠BDH=30° ,BH=EH=

,
∴BE=

BH=

=BC,
∵∠DBE= ∠BEH ﹣ ∠BDH=45° ﹣ 30° =15°,
∴∠CBE= ∠CBD ﹣ ∠DBE=45° ﹣ 15° =30°,
∴∠BEC= ∠BCE=

=75°,
∴∠ECD=90° ﹣ 75° =15°,
∵∠EDC=45° ﹣ 30° =15°,
∴∠EDN= ∠END=90° ﹣ 15° =75°,
∴NE=CE=DE.
∵∠ERC= ∠ERB=90° , ∠CBE=30°,
∴ER=

BE=

,BR=

=

,
第 26页(共 28页)
∴CR=

﹣

,
∴NE=CE=

=
综上所述,NE 的长为

或 3

. 故答案为:

或 3

.

=


=3 .



第 27页(共 28页)


【点评】 此题重点考查正方形的性质、相似三角形的判定与性质、勾股定理的应用以及 解直角三角形、二次根式的化简等知识,解题的关键是正确地作出所需要的辅助线,构 造特殊角和含有特殊角的直角三角形,解第(3)题时应注意分类讨论,以免丢解,此题 计算烦琐,难度较大,应边做边检验.
八、(本题 12 分





