
昨日,广东省专科征集志愿投档情况已公布,一起来看看具体情况
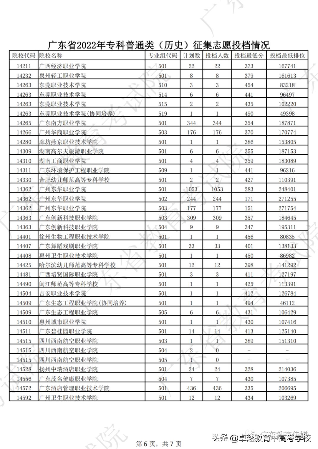
广东省2022年专科普通类(历史)征集志愿投档情况







广东省2022年专科普通类(物理)征集志愿投档情况








广东省2022年专科体育类征集志愿投档情况

广东省2022年专科美术类统考征集志愿投档情况



广东省2022年专科音乐类统考征集志愿投档情况

广东省2022年专科舞蹈类统考征集志愿投档情况

广东省2022年专科播音与主持类校际联考征集志愿投档情况

广东省2022年专科广播电视编导类统考征集志愿投档情况

来源:广东教育考试院、广东教育传媒
#广东##高考##广东高考#