欢迎来到数学的奇妙世界!在这个神奇的领域中,我们将一同探索级数的深度和魅力。级数作为数学中的核心概念之一,扮演着无限求和的角色。通过对一系列无穷项的相加,我们可以发现许多有趣的模式和特性。让我们展开这段探索之旅,一起揭开等差级数、等比级数和调和级数等几个著名级数的神秘面纱。
神秘的等差级数

首先,我们将研究等差级数。等差级数是一种具有公差的级数,每一项都是前一项加上常数。它以其简单而优雅的形式而广为人知。
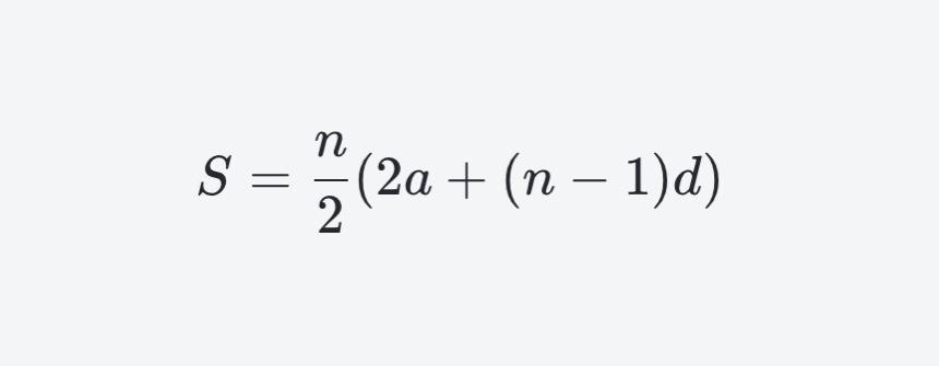
让我们考虑一个等差级数的通项公式:a_n = a + (n-1)d,其中a是首项,d是公差,n是项的索引。等差级数的部分和可以表示为:

若公差为 d,首项为 a,我们想要求解等差级数的和,即 S。幸运的是,我们拥有一个简洁的求和公式:

这个公式告诉我们,只需知道等差级数的首项、公差和项数,就能轻松求得其和。让我们看个例子,假设我们有一个等差级数的首项 a=3,公差 d=2,项数 n=5,那么根据公式,我们可以计算出:

这意味着等差级数 3 + 5 + 7 + 9 + 11 的和为 35。太神奇了吧!
奇妙的等比级数

接下来,让我们深入探索等比级数的奥秘。等比级数是一种具有公比的级数,每一项都是前一项乘以常数。它独特的增长方式让人着迷。
考虑一个等比级数的通项公式:
a_n=a·r^(n-1)
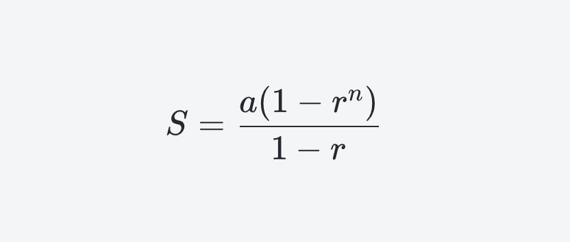
其中 a 是首项,r 是公比,n 是项的索引。等比级数的部分和可以表示为:

如果我们想要求解等比级数的和 S,幸运的是,等比级数也有一个简洁的求和公式:

这个公式告诉我们,只需知道等比级数的首项 a、公比 r 和项数 n,我们就能轻松求得其和。让我们看个例子,假设我们有一个等比级数的首项 a=2,公比 r=3,项数 n=4,那么根据公式,我们可以计算出:

神秘之谜:调和级数
现在,让我们来探索一个神秘而令人着迷的级数:调和级数。调和级数是指每一项都是倒数的序列,它以不可思议的方式融合了无限个分数。
调和级数可以表示为:

这个级数非常特殊,因为它的部分和序列并不收敛,它趋向于无穷大。也就是说,调和级数是一个发散的级数。
这一事实让人感到惊讶。无论我们加上多少项,调和级数似乎都无法收敛到一个有限值。举个例子,我们计算一下前四项的和:

即使我们继续增加更多的项,调和级数的和也会继续增长,但永远不会达到一个有限值。这是一个引人入胜的数学之谜。
结语
通过这段探索之旅,我们深入了解了级数的奥秘。从等差级数的简洁求和公式到等比级数的神奇增长方式,再到调和级数的发散性质,我们领略了级数的多样性和深度。
数学中还有许多其他类型的级数和级数收敛性的判断方法,如比较判别法、积分判别法等。它们帮助我们进一步探索级数的性质和应用。
无论你是数学爱好者还是初学者,希望这篇文章能为你揭示级数的魅力,并激发你对数学的兴趣和探索欲望。