1.0.1 为在装配式混凝土结构的设计、施工及验收中,贯彻执行国家的技术经济政策,做到安全适用、技术先进、经济合理、确保质量,制定本规程。
1.0.2 本规程适用于民用建筑非抗震设计及抗震设防烈度为6度至8度抗震设计的装配式混凝土结构的设计、施工及验收。
1.0.3 装配式混凝土结构的设计、施工及验收除应符合本规程外,尚应符合国家现行有关标准的规定。
2 术语和符号
2.1 术 语
2.1.1 预制混凝土构件 precast concrete component 在工厂或现场预先制作的混凝土构件。简称预制构件。
2.1.2 装配式混凝土结构 precast concrete structure 由预制混凝土构件通过可靠的连接方式装配而成的混凝土结构,包括装配整体式混凝土结构、全装配混凝土结构等。在建筑工程中,简称装配式建筑;在结构工程中,简称装配式结构。
2.1.3 装配整体式混凝土结构 monolithic precast concrete structure 由预制混凝土构件通过可靠的方式进行连接并与现场后浇混凝土、水泥基灌浆料形成整体的装配式混凝土结构。简称装配整体式结构。
2.1.4 装配整体式混凝土框架结构 monolithic precast con-crete frame structure 全部或部分框架梁、柱采用预制构件构建成的装配整体式混凝土结构。简称装配整体式框架结构。
2.1.5 装配整体式混凝土剪力墙结构 monolithic precast con-crete shear wall structure 全部或部分剪力墙采用预制墙板构建成的装配整体式混凝土结构。简称装配整体式剪力墙结构。
2.1.6 混凝土叠合受弯构件 concrete composite flexural com-ponent 预制混凝土梁、板顶部在现场后浇混凝土而形成的整体受弯构件。简称叠合板、叠合梁。
2.1.7 预制外挂墙板 precast concrete facade panel 安装在主体结构上,起围护、装饰作用的非承重预制混凝土外墙板。简称外挂墙板。
2.1.8 预制混凝土夹心保温外墙板 precast concrete sandwich facade panel 中间夹有保温层的预制混凝土外墙板。简称夹心外墙板。
2.1.9 混凝土粗糙面 concrete rough surface 预制构件结合面上的凹凸不平或骨料显露的表面。简称粗糙面。
2.1.10 钢筋套筒灌浆连接 rebar splicing by grout-filled cou-pling sleeve 在预制混凝土构件内预埋的金属套筒中插入钢筋并灌注水泥基灌浆料而实现的钢筋连接方式。
2.1.11 钢筋浆锚搭接连接 rebar lapping in grout-filled hole 在预制混凝土构件中预留孔道,在孔道中插入需搭接的钢筋,并灌注水泥基灌浆料而实现的钢筋搭接连接方式。
2.2 符 号
2.2.1 材料性能 fc——混凝土轴心抗压强度设计值; fy、f'y——普通钢筋的抗拉、抗压强度设计值。
2.2.2 作用和作用效应 F Ehk——施加于外挂墙板重心处的水平地震作用标准值; G k——外挂墙板的重力荷载标准值; N——轴向力设计值; S——荷载组合的效应设计值; S Eh——水平地震作用组合的效应设计值; S Ev——竖向地震作用组合的效应设计值; S Ehk——水平地震作用效应标准值; S Evk——竖向地震作用效应标准值; S Gk——永久荷载效应标准值; S wk——风荷载效应标准值; V jd——持久设计状况下接缝剪力设计值; V jdE——地震设计状况下接缝剪力设计值; V mua——被连接构件端部按实配钢筋面积计算的斜截面受剪承载力设计值; V u——持久设计状况下接缝受剪承载力设计值; V uE——地震设计状况下接缝受剪承载力设计值; γ Eh——水平地震作用分项系数; γ Ev——竖向地震作用分项系数; γ G——永久荷载分项系数; γ w——风荷载分项系数。
2.2.3 几何参数 B——建筑平面宽度; L——建筑平面长度。
2.2.4 计算系数及其他 αmax——水平地震影响系数最大值; γRE——承载力抗震调整系数; γ0——结构重要性系数; △u——楼层层间最大位移; ηj——接缝受剪承载力增大系数; ψw——风荷载组合系数。
3 基本规定
3.0.1 在装配式建筑方案设计阶段,应协调建设、设计、制作、施工各方之间的关系,并应加强建筑、结构、设备、装修等专业之间的配合。
3.0.2 装配式建筑设计应遵循少规格、多组合的原则。
3.0.3 装配式结构的设计应符合现行国家标准《混凝土结构设计规范》GB 50010的基本要求,并应符合下列规定: 1 应采取有效措施加强结构的整体性; 2 装配式结构宜采用高强混凝土、高强钢筋; 3 装配式结构的节点和接缝应受力明确、构造可靠,并应满足承载力、延性和耐久性等要求; 4 应根据连接节点和接缝的构造方式和性能,确定结构的整体计算模型。
3.0.4 抗震设防的装配式结构,应按现行国家标准《建筑工程抗震设防分类标准》GB 50223确定抗震设防类别及抗震设防标准。
3.0.5 装配式结构中,预制构件的连接部位宜设置在结构受力较小的部位,其尺寸和形状应符合下列规定: 1 应满足建筑使用功能、模数、标准化要求,并应进行优化设计; 2 应根据预制构件的功能和安装部位、加工制作及施工精度等要求,确定合理的公差; 3 应满足制作、运输、堆放、安装及质量控制要求。
3.0.6 预制构件深化设计的深度应满足建筑、结构和机电设备等各专业以及构件制作、运输、安装等各环节的综合要求。
4 材 料
4.1 混凝土、钢筋和钢材
4.1.1 混凝土、钢筋和钢材的力学性能指标和耐久性要求等应符合现行国家标准《混凝土结构设计规范》GB 50010和《钢结构设计规范》GB 50017的规定。
4.1.2 预制构件的混凝土强度等级不宜低于C30;预应力混凝土预制构件的混凝土强度等级不宜低于C40,且不应低于C30;现浇混凝土的强度等级不应低于C25。
4.1.3 钢筋的选用应符合现行国家标准《混凝土结构设计规范》GB 50010的规定。普通钢筋采用套筒灌浆连接和浆锚搭接连接时,钢筋应采用热轧带肋钢筋。
4.1.4 钢筋焊接网应符合现行行业标准《钢筋焊接网混凝土结构技术规程》JGJ 114的规定。
4.1.5 预制构件的吊环应采用未经冷加工的HPB300级钢筋制作。吊装用内埋式螺母或吊杆的材料应符合国家现行相关标准的规定。
4.2 连接材料
4.2.1 钢筋套筒灌浆连接接头采用的套筒应符合现行行业标准《钢筋连接用灌浆套筒》JG/T 398的规定。
4.2.2 钢筋套筒灌浆连接接头采用的灌浆料应符合现行行业标准《钢筋连接用套筒灌浆料》JG/T 408的规定。
4.2.3 钢筋浆锚搭接连接接头应采用水泥基灌浆料,灌浆料的性能应满足表4.2.3的要求。
4.2.4 钢筋锚固板的材料应符合现行行业标准《钢筋锚固板应用技术规程》JGJ 256的规定。
表4.2.3 钢筋浆锚搭接连接接头用灌浆料性能要求

4.2.5 受力预埋件的锚板及锚筋材料应符合现行国家标准《混凝土结构设计规范》GB 50010的有关规定。专用预埋件及连接件材料应符合国家现行有关标准的规定。
4.2.6 连接用焊接材料,螺栓、锚栓和铆钉等紧固件的材料应符合国家现行标准《钢结构设计规范》GB 50017、《钢结构焊接规范》GB 50661和《钢筋焊接及验收规程》JGJ 18等的规定。
4.2.7 夹心外墙板中内外叶墙板的拉结件应符合下列规定: 1 金属及非金属材料拉结件均应具有规定的承载力、变形和耐久性能,并应经过试验验证; 2 拉结件应满足夹心外墙板的节能设计要求。
4.3 其他材料
4.3.1 外墙板接缝处的密封材料应符合下列规定: 1 密封胶应与混凝土具有相容性,以及规定的抗剪切和伸缩变形能力;密封胶尚应具有防霉、防水、防火、耐候等性能; 2 硅酮、聚氨酯、聚硫建筑密封胶应分别符合国家现行标准《硅酮建筑密封胶》GB/T 14683、《聚氨酯建筑密封胶》JC/T 482、《聚硫建筑密封胶》JC/T 483的规定; 3 夹心外墙板接缝处填充用保温材料的燃烧性能应满足国家标准《建筑材料及制品燃烧性能分级》GB 8624-2012中*级A**的要求。
4.3.2 夹心外墙板中的保温材料,其导热系数不宜大于0.040W/(m·K),体积比吸水率不宜大于0.3%,燃烧性能不应低于国家标准《建筑材料及制品燃烧性能分级》GB 8624-2012中B2级的要求。
4.3.3 装配式建筑采用的室内装修材料应符合现行国家标准《民用建筑工程室内环境污染控制规范》GB 50325和《建筑内部装修设计防火规范》GB 50222的有关规定。
5 建筑设计
5.1 一般规定
5.1.1 建筑设计应符合建筑功能和性能要求,并宜采用主体结构、装修和设备管线的装配化集成技术。
5.1.2 建筑设计应符合现行国家标准《建筑模数协调标准》GB 50002的规定。
5.1.3 建筑的围护结构以及楼梯、阳台、隔墙、空调板、管道井等配套构件、室内装修材料宜采用工业化、标准化产品。
5.1.4 建筑的体形系数、窗墙面积比、围护结构的热工性能等应符合节能要求。
5.1.5 建筑防火设计应符合现行国家标准《建筑防火设计规范》GB 50016的有关规定。
5.2 平面设计
5.2.1 建筑宜选用大开间、大进深的平面布置,并应符合本规程第6.1.5条的规定。
5.2.2 承重墙、柱等竖向构件宜上、下连续,并应符合本规程第6.1.6条的规定。
5.2.3 门窗洞口宜上下对齐、成列布置,其平面位置和尺寸应满足结构受力及预制构件设计要求;剪力墙结构中不宜采用转角窗。
5.2.4 厨房和卫生间的平面布置应合理,其平面尺寸宜满足标准化整体橱柜及整体卫浴的要求。
5.3 立面、外墙设计
5.3.1 外墙设计应满足建筑外立面多样化和经济美观的要求。
5.3.2 外墙饰面宜采用耐久、不易污染的材料。采用反打一次成型的外墙饰面材料,其规格尺寸、材质类别、连接构造等应进行工艺试验验证。
5.3.3 预制外墙板的接缝应满足保温、防火、隔声的要求。
5.3.4 预制外墙板的接缝及门窗洞口等防水薄弱部位宜采用材料防水和构造防水相结合的做法,并应符合下列规定: 1 墙板水平接缝宜采用高低缝或企口缝构造; 2 墙板竖缝可采用平口或槽口构造; 3 当板缝空腔需设置导水管排水时,板缝内侧应增设气密条密封构造。
5.3.5 门窗应采用标准化部件,并宜采用缺口、预留副框或预埋件等方法与墙体可靠连接。
5.3.6 空调板宜集中布置,并宜与阳台合并设置。
5.3.7 女儿墙板内侧在要求的泛水高度处应设凹槽、挑檐或其他泛水收头等构造。
5.4 内装修、设备管线设计
5.4.1 室内装修宜减少施工现场的湿作业。
5.4.2 建筑的部件之间、部件与设备之间的连接应采用标准化接口。
5.4.3 设备管线应进行综合设计,减少平面交叉;竖向管线宜集中布置,并应满足维修更换的要求。
5.4.4 预制构件中电气接口及吊挂配件的孔洞、沟槽应根据装修和设备要求预留。
5.4.5 建筑宜采用同层排水设计,并应结合房间净高、楼板跨度、设备管线等因素确定降板方案。
5.4.6 竖向电气管线宜统一设置在预制板内或装饰墙面内。墙板内竖向电气管线布置应保持安全间距。
5.4.7 隔墙内预留有电气设备时,应采取有效措施满足隔声及防火的要求。
5.4.8 设备管线穿过楼板的部位,应采取防水、防火、隔声等措施。
5.4.9 设备管线宜与预制构件上的预埋件可靠连接。
5.4.10 当采用地面辐射供暖时,地面和楼板的设计应符合现行行业标准《地面辐射供暖技术规程》JGJ 142的规定。
6 结构设计基本规定
6.1 一般规定
6.1.1 装配整体式框架结构、装配整体式剪力墙结构、装配整体式框架-现浇剪力墙结构、装配整体式部分框支剪力墙结构的房屋最大适用高度应满足表6.1.1的要求,并应符合下列规定: 1 当结构中竖向构件全部为现浇且楼盖采用叠合梁板时,房屋的最大适用高度可按现行行业标准《高层建筑混凝土结构技术规程》JGJ 3中的规定采用。 2 装配整体式剪力墙结构和装配整体式部分框支剪力墙结构,在规定的水平力作用下,当预制剪力墙构件底部承担的总剪力大于该层总剪力的50%时,其最大适用高度应适当降低;当预制剪力墙构件底部承担的总剪力大于该层总剪力的80%时,最大适用高度应取表6.1.1中括号内的数值。 表6.1.1 装配整体式结构房屋的最大适用高度(m)

注:房屋高度指室外地面到主要屋面的高度,不包括局部突出屋顶的部分。
6.1.2 高层装配整体式结构的高宽比不宜超过表6.1.2的数值。
表6.1.2 高层装配整体式结构适用的最大高宽比
|
结构类型 |
非抗震设计 |
抗震设防烈度 |
|
|
6度、7度 |
8度 |
||
|
装配整体式框架结构 |
5 |
4 |
3 |
|
装配整体式框架-现浇剪力墙结构 |
6 |
6 |
5 |
|
装配整体式剪力墙结构 |
6 |
6 |
5 |
6.1.3 装配整体式结构构件的抗震设计,应根据设防类别、烈度、结构类型和房屋高度采用不同的抗震等级,并应符合相应的计算和构造措施要求。丙类装配整体式结构的抗震等级应按表6.1.3确定。
表6.1.3 丙类装配整体式结构的抗震等级

6.1.4 乙类装配整体式结构应按本地区抗震设防烈度提高一度的要求加强其抗震措施;当本地区抗震设防烈度为8度且抗震等级为一级时,应采取比一级更高的抗震措施;当建筑场地为Ⅰ类时,仍可按本地区抗震设防烈度的要求采取抗震构造措施。
6.1.5 装配式结构的平面布置宜符合下列规定: 1 平面形状宜简单、规则、对称,质量、刚度分布宜均匀;不应采用严重不规则的平面布置; 2 平面长度不宜过长(图6.1.5),长宽比(L/B)宜按表6.1.5采用;

图6.1.5 建筑平面示例
3 平面突出部分的长度l不宜过大、宽度b不宜过小(图6.1.5),l/Bmax、l/b宜按表6.1.5采用; 4 平面不宜采用角部重叠或细腰形平面布置。
表6.1.5 平面尺寸及突出部位尺寸的比值限值
|
抗震设防烈度 |
L/B |
l/Bmax |
l/b |
|
6、7度 |
≤6.0 |
≤0.35 |
≤2.0 |
|
8度 |
≤5.0 |
≤0.30 |
≤1.5 |
6.1.6 装配式结构竖向布置应连续、均匀,应避免抗侧力结构的侧向刚度和承载力沿竖向突变,并应符合现行国家标准《建筑抗震设计规范》GB 50011的有关规定。
6.1.7 抗震设计的高层装配整体式结构,当其房屋高度、规则性、结构类型等超过本规程的规定或者抗震设防标准有特殊要求时,可按现行行业标准《高层建筑混凝土结构技术规程》JGJ 3的有关规定进行结构抗震性能设计。
6.1.8 高层装配整体式结构应符合下列规定: 1 宜设置地下室,地下室宜采用现浇混凝土; 2 剪力墙结构底部加强部位的剪力墙宜采用现浇混凝土; 3 框架结构首层柱宜采用现浇混凝土,顶层宜采用现浇楼盖结构。
6.1.9 带转换层的装配整体式结构应符合下列规定: 1 当采用部分框支剪力墙结构时,底部框支层不宜超过2层,且框支层及相邻上一层应采用现浇结构; 2 部分框支剪力墙以外的结构中,转换梁、转换柱宜现浇。
6.1.10 装配式结构构件及节点应进行承载能力极限状态及正常使用极限状态设计,并应符合现行国家标准《混凝土结构设计规范》GB 50010、《建筑抗震设计规范》GB 50011和《混凝土结构工程施工规范》GB 50666等的有关规定。
6.1.11 抗震设计时,构件及节点的承载力抗震调整系数γRE应按表6.1.11采用;当仅考虑竖向地震作用组合时,承载力抗震调整系数γRE应取1.0。预埋件锚筋截面计算的承载力抗震调整系数γRE应取为1.0。
表6.1.11 构件及节点承载力抗震调整系数γRE

6.1.12 预制构件节点及接缝处后浇混凝土强度等级不应低于预制构件的混凝土强度等级;多层剪力墙结构中墙板水平接缝用坐浆材料的强度等级值应大于被连接构件的混凝土强度等级值。
6.1.13 预埋件和连接件等外露金属件应按不同环境类别进行封闭或防腐、防锈、防火处理,并应符合耐久性要求。
6.2 作用及作用组合
6.2.1 装配式结构的作用及作用组合应根据国家现行标准《建筑结构荷载规范》GB 50009、《建筑抗震设计规范》GB 50011、《高层建筑混凝土结构技术规程》JGJ 3和《混凝土结构工程施工规范》GB 50666等确定。
6.2.2 预制构件在翻转、运输、吊运、安装等短暂设计状况下的施工验算,应将构件自重标准值乘以动力系数后作为等效静力荷载标准值。构件运输、吊运时,动力系数宜取1.5;构件翻转及安装过程中就位、临时固定时,动力系数可取1.2。
6.2.3 预制构件进行脱模验算时,等效静力荷载标准值应取构件自重标准值乘以动力系数后与脱模吸附力之和,且不宜小于构件自重标准值的1.5倍。动力系数与脱模吸附力应符合下列规定: 1 动力系数不宜小于1.2; 2 脱模吸附力应根据构件和模具的实际状况取用,且不宜小于1.5kN/m2。
6.3 结构分析
6.3.1 在各种设计状况下,装配整体式结构可采用与现浇混凝土结构相同的方法进行结构分析。当同一层内既有预制又有现浇抗侧力构件时,地震设计状况下宜对现浇抗侧力构件在地震作用下的弯矩和剪力进行适当放大。
6.3.2 装配整体式结构承载能力极限状态及正常使用极限状态的作用效应分析可采用弹性方法。
6.3.3 按弹性方法计算的风荷载或多遇地震标准值作用下的楼层层间最大位移△u与层高h之比的限值宜按表6.3.3采用。
表6.3.3 楼层层间最大位移与层高之比的限值
|
结构类型 |
△u/h限值 |
|
装配整体式框架结构 |
1/550 |
|
装配整体式框架-现浇剪力墙结构 |
1/800 |
|
装配整体式剪力墙结构、装配整体式部分框支剪力墙结构 |
1/1000 |
|
多层装配式剪力墙结构 |
1/1200 |
6.3.4 在结构内力与位移计算时,对现浇楼盖和叠合楼盖,均可假定楼盖在其自身平面内为无限刚性;楼面梁的刚度可计入翼缘作用予以增大;梁刚度增大系数可根据翼缘情况近似取为1.3~2.0。
6.4 预制构件设计
6.4.1 预制构件的设计应符合下列规定: 1 对持久设计状况,应对预制构件进行承载力、变形、裂缝控制验算; 2 对地震设计状况,应对预制构件进行承载力验算; 3 对制作、运输和堆放、安装等短暂设计状况下的预制构件验算,应符合现行国家标准《混凝土结构工程施工规范》GB 50666的有关规定。
6.4.2 当预制构件中钢筋的混凝土保护层厚度大于50mm时,宜对钢筋的混凝土保护层采取有效的构造措施。
6.4.3 预制板式楼梯的梯段板底应配置通长的纵向钢筋。板面宜配置通长的纵向钢筋;当楼梯两端均不能滑动时,板面应配置通长的纵向钢筋。
6.4.4 用于固定连接件的预埋件与预埋吊件、临时支撑用预埋件不宜兼用;当兼用时,应同时满足各种设计工况要求。预制构件中预埋件的验算应符合现行国家标准《混凝土结构设计规范》GB 50010、《钢结构设计规范》GB 50017和《混凝土结构工程施工规范》GB 50666等有关规定。
6.4.5 预制构件中外露预埋件凹入构件表面的深度不宜小于10mm。
6.5 连接设计
6.5.1 装配整体式结构中,接缝的正截面承载力应符合现行国家标准《混凝土结构设计规范》GB 50010的规定。接缝的受剪承载力应符合下列规定: 1 持久设计状况:

2 地震设计状况:

在梁、柱端部箍筋加密区及剪力墙底部加强部位,尚应符合下式要求:

式中:γ0——结构重要性系数,安全等级为一级时不应小于1.1,安全等级为二级时不应小于1.0; Vjd——持久设计状况下接缝剪力设计值; VjdE——地震设计状况下接缝剪力设计值; Vu——持久设计状况下梁端、柱端、剪力墙底部接缝受剪承载力设计值; VuE——地震设计状况下梁端、柱端、剪力墙底部接缝受剪承载力设计值; Vmua——被连接构件端部按实配钢筋面积计算的斜截面受剪承载力设计值; ηj——接缝受剪承载力增大系数,抗震等级为一、二级取1.2,抗震等级为三、四级取1.1。
6.5.2 装配整体式结构中,节点及接缝处的纵向钢筋连接宜根据接头受力、施工工艺等要求选用机械连接、套筒灌浆连接、浆锚搭接连接、焊接连接、绑扎搭接连接等连接方式,并应符合国家现行有关标准的规定。
6.5.3 纵向钢筋采用套筒灌浆连接时,应符合下列规定: 1 接头应满足行业标准《钢筋机械连接技术规程》JGJ 107-2010中Ⅰ级接头的性能要求,并应符合国家现行有关标准的规定; 2 预制剪力墙中钢筋接头处套筒外侧钢筋的混凝土保护层厚度不应小于15mm,预制柱中钢筋接头处套筒外侧箍筋的混凝土保护层厚度不应小于20mm; 3 套筒之间的净距不应小于25mm。
6.5.4 纵向钢筋采用浆锚搭接连接时,对预留孔成孔工艺、孔道形状和长度、构造要求、灌浆料和被连接钢筋,应进行力学性能以及适用性的试验验证。直径大于20mm的钢筋不宜采用浆锚搭接连接,直接承受动力荷载构件的纵向钢筋不应采用浆锚搭接连接。
6.5.5 预制构件与后浇混凝土、灌浆料、坐浆材料的结合面应设置粗糙面、键槽,并应符合下列规定: 1 预制板与后浇混凝土叠合层之间的结合面应设置粗糙面。 2 预制梁与后浇混凝土叠合层之间的结合面应设置粗糙面;预制梁端面应设置键槽(图6.5.5)且宜设置粗糙面。键槽的尺寸和数量应按本规程第7.2.2条的规定计算确定;键槽的深度t不宜小于30mm,宽度w不宜小于深度的3倍且不宜大于深度的10倍;键槽可贯通截面,当不贯通时槽口距离截面边缘不宜小于50mm;键槽间距宜等于键槽宽度;键槽端部斜面倾角不宜大于30°。 3 预制剪力墙的顶部和底部与后浇混凝土的结合面应设置粗糙面;侧面与后浇混凝土的结合面应设置粗糙面,也可设置键槽;键槽深度t不宜小于20mm,宽度w不宜小于深度的3倍且不宜大于深度的10倍,键槽间距宜等于键槽宽度,键槽端部斜面倾角不宜大于30°。 4 预制柱的底部应设置键槽且宜设置粗糙面,键槽应均匀布置,键槽深度不宜小于30mm,键槽端部斜面倾角不宜大于30°。柱顶应设置粗糙面。 5 粗糙面的面积不宜小于结合面的80%,预制板的粗糙面凹凸深度不应小于4mm,预制梁端、预制柱端、预制墙端的粗糙面凹凸深度不应小于6mm。

图 6.5.5 梁端键槽构造示意 1-键槽; 2-梁端面
6.5.6 预制构件纵向钢筋宜在后浇混凝土内直线锚固;当直线锚固长度不足时,可采用弯折、机械锚固方式,并应符合现行国家标准《混凝土结构设计规范》GB 50010和《钢筋锚固板应用技术规程》JGJ 256的规定。
6.5.7 应对连接件、焊缝、螺栓或铆钉等紧固件在不同设计状况下的承载力进行验算,并应符合现行国家标准《钢结构设计规范》GB 50017和《钢结构焊接规范》GB 50661等的规定。
6.5.8 预制楼梯与支承构件之间宜采用简支连接。采用简支连接时,应符合下列规定: 1 预制楼梯宜一端设置固定铰,另一端设置滑动铰,其转动及滑动变形能力应满足结构层间位移的要求,且预制楼梯端部在支承构件上的最小搁置长度应符合表6.5.8的规定; 2 预制楼梯设置滑动铰的端部应采取防止滑落的构造措施。
表6.5.8 预制楼梯在支承构件上的最小搁置长度
|
抗震设防烈度 |
6度 |
7度 |
8度 |
|
最小搁置长度(mm) |
75 |
75 |
100 |
6.6 楼盖设计
6.6.1 装配整体式结构的楼盖宜采用叠合楼盖。结构转换层、平面复杂或开洞较大的楼层、作为上部结构嵌固部位的地下室楼层宜采用现浇楼盖。
6.6.2 叠合板应按现行国家标准《混凝土结构设计规范》GB 50010进行设计,并应符合下列规定: 1 叠合板的预制板厚度不宜小于60mm,后浇混凝土叠合层厚度不应小于60mm; 2 当叠合板的预制板采用空心板时,板端空腔应封堵; 3 跨度大于3m的叠合板,宜采用桁架钢筋混凝土叠合板; 4 跨度大于6m的叠合板,宜采用预应力混凝土预制板; 5 板厚大于180mm的叠合板,宜采用混凝土空心板。
6.6.3 叠合板可根据预制板接缝构造、支座构造、长宽比按单向板或双向板设计。当预制板之间采用分离式接缝(图6.6.3a)时,宜按单向板设计。对长宽比不大于3的四边支承叠合板,当其预制板之间采用整体式接缝(图6.6.3b)或无接缝(图6.6.3c)时,可按双向板设计。

图6.6.3 叠合板的预制板布置形式示意 1-预制板;2-梁或墙;3-板侧分离式接缝;4-板侧整体式接缝
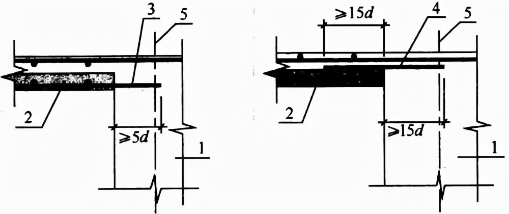
6.6.4 叠合板支座处的纵向钢筋应符合下列规定: 1 板端支座处,预制板内的纵向受力钢筋宜从板端伸出并锚入支承梁或墙的后浇混凝土中,锚固长度不应小于5d(d为纵向受力钢筋直径),且宜伸过支座中心线(图6.6.4a);

图6.6.4 叠合板端及板侧支座构造示意 1-支承梁或墙;2-预制板;3-纵向受力钢筋;4-附加钢筋;5-支座中心线
2 单向叠合板的板侧支座处,当预制板内的板底分布钢筋伸入支承梁或墙的后浇混凝土中时,应符合本条第1款的要求;当板底分布钢筋不伸入支座时,宜在紧邻预制 板顶面的后浇混凝土叠合层中设置附加钢筋,附加钢筋截面面积不宜小于预制板内的同向分布钢筋面积,间距不宜大于600mm,在板的后浇混凝土叠合层内锚固 长度不应小于15d,在支座内锚固长度不应小于15d(d为附加钢筋直径)且宜伸过支座中心线(图6.6.4b)。
6.6.5 单向叠合板板侧的分离式接缝宜配置附加钢筋(图6.6.5),并应符合下列规定: 1 接缝处紧邻预制板顶面宜设置垂直于板缝的附加钢筋,附加钢筋伸入两侧后浇混凝土叠合层的锚固长度不应小于15d(d为附加钢筋直径); 2 附加钢筋截面面积不宜小于预制板中该方向钢筋面积,钢筋直径不宜小于6mm、间距不宜大于250mm。

图6.6.5 单向叠合板板侧分离式拼缝构造示意 1-后浇混凝土叠合层;2-预制板;3-后浇层内钢筋;4-附加钢筋
6.6.6 双向叠合板板侧的整体式接缝宜设置在叠合板的次要受力方向上且宜避开最大弯矩截面。接缝可采用后浇带形式,并应符合下列规定: 1 后浇带宽度不宜小于200mm; 2 后浇带两侧板底纵向受力钢筋可在后浇带中焊接、搭接连接、弯折锚固; 3 当后浇带两侧板底纵向受力钢筋在后浇带中弯折锚固时(图6.6.6),应符合下列规定: 1)叠合板厚度不应小于10d,且不应小于120mm(d为弯折钢筋直径的较大值》; 2)接缝处预制板侧伸出的纵向受力钢筋应在后浇混凝土叠合层内锚固,且锚固长度不应小于la;两侧钢筋在接缝处重叠的长度不应小于10d,钢筋弯折角度不应大于30°,弯折处沿接缝方向应配置不少于2根通长构造钢筋,且直径不应小于该方向预制板内钢筋直径。

图6.6.6 双向叠合板整体式接缝构造示意 1-通长构造钢筋;2-纵向受力钢筋;3-预制板;4-后浇混凝土叠合层;5-后浇层内钢筋
6.6.7 桁架钢筋混凝土叠合板应满足下列要求: 1 桁架钢筋应沿主要受力方向布置; 2 桁架钢筋距板边不应大于300mm,间距不宜大于600mm; 3 桁架钢筋弦杆钢筋直径不宜小于8mm,腹杆钢筋直径不应小于4mm; 4 桁架钢筋弦杆混凝土保护层厚度不应小于15mm。
6.6.8 当未设置桁架钢筋时,在下列情况下,叠合板的预制板与后浇混凝土叠合层之间应设置抗剪构造钢筋: 1 单向叠合板跨度大于4.0m时,距支座1/4跨范围内; 2 双向叠合板短向跨度大于4.0m时,距四边支座1/4短跨范围内; 3 悬挑叠合板; 4 悬挑板的上部纵向受力钢筋在相邻叠合板的后浇混凝土锚固范围内。
6.6.9 叠合板的预制板与后浇混凝土叠合层之间设置的抗剪构造钢筋应符合下列规定: 1 抗剪构造钢筋宜采用马镫形状,间距不宜大于400mm,钢筋直径d不应小于6mm; 2 马镫钢筋宜伸到叠合板上、下部纵向钢筋处,预埋在预制板内的总长度不应小于15d,水平段长度不应小于50mm。
6.6.10 阳台板、空调板宜采用叠合构件或预制构件。预制构件应与主体结构可靠连接;叠合构件的负弯矩钢筋应在相邻叠合板的后浇混凝土中可靠锚固,叠合构件中预制板底钢筋的锚固应符合下列规定: 1 当板底为构造配筋时,其钢筋锚固应符合本规程第6.6.4条第1款的规定; 2 当板底为计算要求配筋时,钢筋应满足受拉钢筋的锚固要求。7 框架结构设计
7.1 一般规定
7.1.1 除本规程另有规定外,装配整体式框架结构可按现浇混凝土框架结构进行设计。
7.1.2 装配整体式框架结构中,预制柱的纵向钢筋连接应符合下列规定: 1 当房屋高度不大于12m或层数不超过3层时,可采用套筒灌浆、浆锚搭接、焊接等连接方式; 2 当房屋高度大于12m或层数超过3层时,宜采用套筒灌浆连接。
7.1.3 装配整体式框架结构中,预制柱水平接缝处不宜出现拉力。
7.2 承载力计算
7.2.1 对一、二、三级抗震等级的装配整体式框架,应进行梁柱节点核心区抗震受剪承载力验算;对四级抗震等级可不进行验算。梁柱节点核心区抗震受剪承载力验算和构造应符合现行国家标准《混凝土结构设计规范》GB 50010和《建筑抗震设计规范》GB 50011中的有关规定。
7.2.2 叠合梁端竖向接缝的受剪承载力设计值应按下列公式计算: 1 持久设计状况

2 地震设计状况

式中:Acl——叠合梁端截面后浇混凝土叠合层截面面积; fc——预制构件混凝土轴心抗压强度设计值; fy——垂直穿过结合面钢筋抗拉强度设计值; Ak——各键槽的根部截面面积(图7.2.2)之和,按后浇键槽根部截面和预制键槽根部截面分别计算,并取二者的较小值; Asd——垂直穿过结合面所有钢筋的面积,包括叠合层内的纵向钢筋。

图7.2.2 叠合梁端受剪承载力计算参数示意 1-后浇节点区;2-后浇混凝土叠合层;3-预制梁;4-预制键槽根部截面;5-后浇键槽根部截面
7.2.3 在地震设计状况下,预制柱底水平接缝的受剪承载力设计值应按下列公式计算: 当预制柱受压时:

当预制柱受拉时:

式中:fc——预制构件混凝土轴心抗压强度设计值; fy——垂直穿过结合面钢筋抗拉强度设计值; N——与剪力设计值V相应的垂直于结合面的轴向力设计值,取绝对值进行计算; Asd——垂直穿过结合面所有钢筋的面积; VuE——地震设计状况下接缝受剪承载力设计值。
7.2.4 混凝土叠合梁的设计应符合本规程和现行国家标准《混凝土结构设计规范》GB 50010中的有关规定。
7.3 构造设计
7.3.1 装配整体式框架结构中,当采用叠合梁时,框架梁的后浇混凝土叠合层厚度不宜小于150mm(图7.3.1),次梁的后浇混凝土叠合层厚度不宜小于120mm;当采用凹口截面预制梁时(图7.3.1b),凹口深度不宜小于50mm,凹口边厚度不宜小于60mm。

图7.3.1 叠合框架梁截面示意 1-后浇混凝土叠合层;2-预制梁;3-预制板
7.3.2 叠合梁的箍筋配置应符合下列规定: 1 抗震等级为一、二级的叠合框架梁的梁端箍筋加密区宜采用整体封闭箍筋(图7.3.2a); 2 采用组合封闭箍筋的形式(图7.3.2b)时,开口箍筋上方应做成135°弯钩;非抗震设计时,弯钩端头平直段长度不应小于5d(d为箍筋直径);抗震设计时,平直段长度不应小于10d。现场应采用箍筋帽封闭开口箍,箍筋帽末 端应做成135°弯钩;非抗震设计时,弯钩端头平直段长度不应小于5d;抗震设计时,平直段长度不应小于10d。

图7.3.2 叠合梁箍筋构造示意 1-预制梁;2-开口箍筋;3-上部纵向钢筋;4-箍筋帽
7.3.3 叠合梁可采用对接连接(图7.3.3),并应符合下列规定: 1 连接处应设置后浇段,后浇段的长度应满足梁下部纵向钢筋连接作业的空间需求; 2 梁下部纵向钢筋在后浇段内宜采用机械连接、套筒灌浆连接或焊接连接; 3 后浇段内的箍筋应加密,箍筋间距不应大于5d(d为纵向钢筋直径),且不应大于100mm。

图7.3.3 叠合梁连接节点示意 1-预制梁;2-钢筋连接接头;3-后浇段
7.3.4 主梁与次梁采用后浇段连接时,应符合下列规定: 1 在端部节点处,次梁下部纵向钢筋伸入主梁后浇段内的长度不应小于12d。次梁上部纵向钢筋应在主梁后浇段内锚固。当采用弯折锚固(图7.3.4a)或锚固板时,锚固直段长度不应小于0.6lab,;当钢筋应力不大于钢筋强度设计值的50%时,锚固直段长度不应小于0.35lab;弯折锚固的弯折后直段长度不应小于12d(d为纵向钢筋直径)。 2 在中间节点处,两侧次梁的下部纵向钢筋伸入主梁后浇段内长度不应小于12d(d为纵向钢筋直径);次梁上部纵向钢筋应在现浇层内贯通(图7.3.4b)。

图7.3.4 主次梁连接节点构造示意 1-主梁后浇段;2-次梁;3-后浇混凝土叠合层;4-次梁上部纵向钢筋;5-次梁下部纵向钢筋
7.3.5 预制柱的设计应符合现行国家标准《混凝土结构设计规范》GB 50010的要求,并应符合下列规定: 1 柱纵向受力钢筋直径不宜小于20mm; 2 矩形柱截面宽度或圆柱直径不宜小于400mm,且不宜小于同方向梁宽的1.5倍; 3 柱纵向受力钢筋在柱底采用套筒灌浆连接时,柱箍筋加密区长度不应小于纵向受力钢筋连接区域长度与500mm之和;套筒上端第一道箍筋距离套筒顶部不应大于50mm(图7.3.5)。

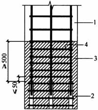
图7.3.5 钢筋采用套筒灌浆连接时柱底箍筋加密区域构造示意 1-预制柱;2-套筒灌浆连接接头;3-箍筋加密区(阴影区域);4-加密区箍筋
7.3.6 采用预制柱及叠合梁的装配整体式框架中,柱底接缝宜设置在楼面标高处(图7.3.6),并应符合下列规定:

7.3.7 梁、柱纵向钢筋在后浇节点区内采用直线锚固、弯折锚固或机械锚固的方式时,其锚固长度应符合现行国家标准《混凝土结构设计规范》GB 50010中的有关规定;当梁、柱纵向钢筋采用锚固板时,应符合现行行业标准《钢筋锚固板应用技术规程》JGJ 256中的有关规定。
7.3.8 采用预制柱及叠合梁的装配整体式框架节点,梁纵向受力钢筋应伸入后浇节点区内锚固或连接,并应符合下列规定: 1 对框架中间层中节点,节点两侧的梁下部纵向受力钢筋宜锚固在后浇节点区内(图7.3.8-1a),也可采用机械连接或焊接的方式直接连接(图7.3.8-1b);梁的上部纵向受力钢筋应贯穿后浇节点区。

图7.3.8-1 预制柱及叠合梁框架中间层中节点构造示意 1-后浇区;2-梁下部纵向受力钢筋连接;3-预制梁;4-预制柱;5-梁下部纵向受力钢筋锚固
2 对框架中间层端节点,当柱截面尺寸不满足梁纵向受力钢筋的直线锚固要求时,宜采用锚固板锚固(图7.3.8-2),也可采用90°弯折锚固。 3 对框架顶层中节点,梁纵向受力钢筋的构造应符合本条第1款的规定。柱纵向受力钢筋宜采用直线锚固;当梁截面尺寸不满足直线锚固要求时,宜采用锚固板锚固(图7.3.8-3)。

图7.3.8-2 预制柱及叠合梁框架中间层端节点构造示意 1-后浇区;2-梁纵向受力钢筋锚固;3-预制梁;4-预制柱

图7.3.8-3 预制柱及叠合梁框架顶层中节点构造示意 1-后浇区;2-梁下部纵向受力钢筋连接;3-预制梁;4-梁下部纵向受力钢筋锚固
4 对框架顶层端节点,梁下部纵向受力钢筋应锚固在后浇节点区内,且宜采用锚固板的锚固方式;梁、柱其他纵向受力钢筋的锚固应符合下列规定: 1)柱宜伸出屋面并将柱纵向受力钢筋锚固在伸出段内(图7.3.8-4a),伸出段长度不宜小于500mm,伸出段内箍筋间距不应大于5d(d为柱纵向受力钢筋直径),且不应大于100mm;柱纵向钢筋宜采用锚固板锚固,锚固长度不应小于40d;梁上部纵向受力钢筋宜采用锚固板锚固; 2)柱外侧纵向受力钢筋也可与梁上部纵向受力钢筋在后浇节点区搭接(图7.3.8-4b),其构造要求应符合现行国家标准《混凝土结构设计规范》GB 50010中的规定;柱内侧纵向受力钢筋宜采用锚固板锚固。

图7.3.8-4 预制柱及叠合梁框架顶层端节点构造示意 1-后浇区;2-梁下部纵向受力钢筋锚固;3-预制梁;4-柱延伸段;5-梁柱外侧钢筋搭接
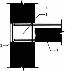
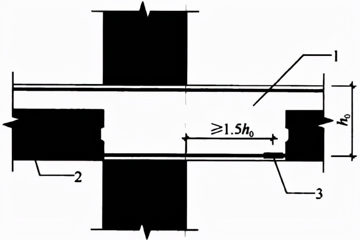
7.3.9 采用预制柱及叠合梁的装配整体式框架节点,梁下部纵向受力钢筋也可伸至节点区外的后浇段内连接(图7.3.9),连接接头与节点区的距离不应小于1.5h0(h0为梁截面有效高度)。

图7.3.9 梁纵向钢筋在节点区外的后浇段内连接示意 1-后浇段;2-预制梁;3-纵向受力钢筋连接
7.3.10 现浇柱与叠合梁组成的框架节点中,梁纵向受力钢筋的连接与锚固应符合本规程第7.3.7~7.3.9条的规定。8 剪力墙结构设计
8.1 一般规定
8.1.1 抗震设计时,对同一层内既有现浇墙肢也有预制墙肢的装配整体式剪力墙结构,现浇墙肢水平地震作用弯矩、剪力宜乘以不小于1.1的增大系数。
8.1.2 装配整体式剪力墙结构的布置应满足下列要求: 1 应沿两个方向布置剪力墙; 2 剪力墙的截面宜简单、规则;预制墙的门窗洞口宜上下对齐、成列布置。
8.1.3 抗震设计时,高层装配整体式剪力墙结构不应全部采用短肢剪力墙;抗震设防烈度为8度时,不宜采用具有较多短肢剪力墙的剪力墙结构。当采用具有较多短肢剪力墙的剪力墙结构时,应符合下列规定: 1 在规定的水平地震作用下,短肢剪力墙承担的底部倾覆力矩不宜大于结构底部总地震倾覆力矩的50%; 2 房屋适用高度应比本规程表6.1.1规定的装配整体式剪力墙结构的最大适用高度适当降低,抗震设防烈度为7度和8度时宜分别降低20m。 注:1 短肢剪力墙是指截面厚度不大于300mm、各肢截面高度与厚度之比的最大值大于4但不大于8的剪力墙; 2 具有较多短肢剪力墙的剪力墙结构是指,在规定的水平地震作用下,短肢剪力墙承担的底部倾覆力矩不小于结构底部总地震倾覆力矩的30%的剪力墙结构。
8.1.4 抗震设防烈度为8度时,高层装配整体式剪力墙结构中的电梯井筒宜采用现浇混凝土结构。
8.2 预制剪力墙构造
8.2.1 预制剪力墙宜采用一字形,也可采用L形、T形或U形;开洞预制剪力墙洞口宜居中布置,洞口两侧的墙肢宽度不应小于200mm,洞口上方连梁高度不宜小于250mm。
8.2.2 预制剪力墙的连梁不宜开洞;当需开洞时,洞口宜预埋套管,洞口上、下截面的有效高度不宜小于梁高的1/3,且不宜小于200mm;被洞口削弱的连梁截面应进行承载力验算,洞口处应配置补强纵向钢筋和箍筋;补强纵向钢筋的直径不应小于12mm。
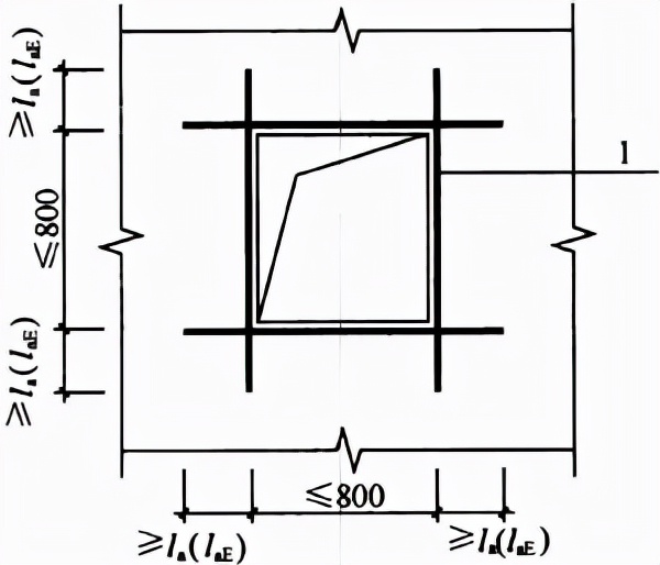
8.2.3 预制剪力墙开有边长小于800mm的洞口且在结构整体计算中不考虑其影响时,应沿洞口周边配置补强钢筋;补强钢筋的直径不应小于12mm,截面面积不应小于同方向被洞口截断的钢筋面积;该钢筋自孔洞边角算起伸入墙内的长度,非抗震设计时不应小于la,抗震设计时不应小于laE(图8.2.3)。

图8.2.3 预制剪力墙洞口补强钢筋配置示意 1-洞口补强钢筋
8.2.4 当采用套筒灌浆连接时,自套筒底部至套筒顶部并向上延伸300mm范围内,预制剪力墙的水平分布筋应加密(图8.2.4),加密区水平分布筋的最大间距及最小直径应符合表8.2.4的规定,套筒上端第一道水平分布钢筋距离套筒顶部不应大于50mm。

图8.2.4 钢筋套筒灌浆连接部位水平分布钢筋的加密构造示意 1-灌浆套筒;2-水平分布钢筋加密区域(阴影区域);3-竖向钢筋;4-水平分布钢筋 表8.2.4 加密区水平分布钢筋的要求
|
抗震等级 |
最大间距(mm) |
最小直径(mm) |
|
一、二级 |
100 |
8 |
|
三、四级 |
150 |
8 |
8.2.5 端部无边缘构件的预制剪力墙,宜在端部配置2根直径不小于12mm的竖向构造钢筋;沿该钢筋竖向应配置拉筋,拉筋直径不宜小于6mm、间距不宜大于250mm。
8.2.6 当预制外墙采用夹心墙板时,应满足下列要求: 1 外叶墙板厚度不应小于50mm,且外叶墙板应与内叶墙板可靠连接; 2 夹心外墙板的夹层厚度不宜大于120mm; 3 当作为承重墙时,内叶墙板应按剪力墙进行设计。
8.3 连接设计
8.3.1 楼层内相邻预制剪力墙之间应采用整体式接缝连接,且应符合下列规定: 1 当接缝位于纵横墙交接处的约束边缘构件区域时,约束边缘构件的阴影区域(图8.3.1-1)宜全部采用后浇混凝土,并应在后浇段内设置封闭箍筋。 2 当接缝位于纵横墙交接处的构造边缘构件区域时,构造边缘构件宜全部采用后浇混凝土(图8.3.1-2);当仅在一面墙上设置后浇段时,后浇段的长度不宜小于300mm(图8.3.1-3)。

图8.3.1-1 约束边缘构件阴影区域全部后浇构造示意
lc-约束边缘构件沿墙肢的长度1-后浇段;2-预制剪力墙

图8.3.1-2 构造边缘构件全部后浇构造示意
(阴影区域为构造边缘构件范围)1-后浇段;2-预制剪力墙

图8.3.1-3 构造边缘构件部分后浇构造示意 (阴影区域为构造边缘构件范围)1-后浇段;2-预制剪力墙
3 边缘构件内的配筋及构造要求应符合现行国家标准《建筑抗震设计规范》GB 50011的有关规定;预制剪力墙的水平分布钢筋在后浇段内的锚固、连接应符合现行国家标准《混凝土结构设计规范》GB 50010的有关规定。 4 非边缘构件位置,相邻频制剪力墙之间应设置后浇段,后浇段的宽度不应小于墙厚且不宜小于200mm;后浇段内应设置不少于4根竖向钢筋,钢筋直径不应小于墙体竖向分布筋直径且不应小于8mm;两侧墙体的水平分布筋在后浇段内的锚固、连接应符合现行国家标准《混凝土结构设计规范》GB 50010的有关规定。
8.3.2 屋面以及立面收进的楼层,应在预制剪力墙顶部设置封闭的后浇钢筋混凝土圈梁(图8.3.2),并应符合下列规定: 1 圈梁截面宽度不应小于剪力墙的厚度,截面高度不宜小于楼板厚度及250mm的较大值;圈梁应与现浇或者叠合楼、屋盖浇筑成整体。 2 圈梁内配置的纵向钢筋不应少于4

12,且按全截面计算的配筋率不应小于0.5%和水平分布筋配筋率的较大值,纵向钢筋竖向间距不应大于200mm;箍筋间距不应大于200mm,且直径不应小于8mm。

图8.3.2 后浇钢筋混凝土圈梁构造示意 1-后浇混凝土叠合层;2-预制板;3-后浇圈梁;4-预制剪力墙
8.3.3 各层楼面位置,预制剪力墙顶部无后浇圈梁时,应设置连续的水平后浇带(图8.3.3);水平后浇带应符合下列规定: 1 水平后浇带宽度应取剪力墙的厚度,高度不应小于楼板厚度;水平后浇带应与现浇或者叠合楼、屋盖浇筑成整体。 2 水平后浇带内应配置不少于2根连续纵向钢筋,其直径不宜小于12mm。

图8.3.3 水平后浇带构造示意 1-后浇混凝土叠合层;2-预制板;3-水平后浇带;4-预制墙板;5-纵向钢筋
8.3.4 预制剪力墙底部接缝宜设置在楼面标高处,并应符合下列规定: 1 接缝高度宜为20mm; 2 接缝宜采用灌浆料填实; 3 接缝处后浇混凝土上表面应设置粗糙面。
8.3.5 上下层预制剪力墙的竖向钢筋,当采用套筒灌浆连接和浆锚搭接连接时,应符合下列规定: 1 边缘构件竖向钢筋应逐根连接。 2 预制剪力墙的竖向分布钢筋,当仅部分连接时(图8.3.5),被连接的同侧钢筋间距不应大于600mm,且在剪力墙构件承载力设计和分布钢筋配筋率计算中不得计入不连接的分布钢筋;不连接的竖向分布钢筋直径不应小于6mm。 3 一级抗震等级剪力墙以及二、三级抗震等级底部加强部位,剪力墙的边缘构件竖向钢筋宜采用套筒灌浆连接。

图8.3.5 预制剪力墙竖向分布钢筋连接构造示意 1-不连接的竖向分布钢筋;2-连接的竖向分布钢筋;3-连接接头
8.3.6 预制剪力墙相邻下层为现浇剪力墙时,预制剪力墙与下层现浇剪力墙中竖向钢筋的连接应符合本规程第8.3.5条的规定,下层现浇剪力墙顶面应设置粗糙面。
8.3.7 在地震设计状况下,剪力墙水平接缝的受剪承载力设计值应按下式计算:

式中:fy——垂直穿过结合面的钢筋抗拉强度设计值; N——与剪力设计值V相应的垂直于结合面的轴向力设计值,压力时取正,拉力时取负; Asd——垂直穿过结合面的抗剪钢筋面积。
8.3.8 预制剪力墙洞口上方的预制连梁宜与后浇圈梁或水平后浇带形成叠合连梁(图8.3.8),叠合连梁的配筋及构造要求应符合现行国家标准《混凝土结构设计规范》GB 50010的有关规定。

图8.3.8 预制剪力墙叠合连梁构造示意 1-后浇圈梁或后浇带;2-预制连梁;3-箍筋;4-纵向钢筋
8.3.9 楼面梁不宜与预制剪力墙在剪力墙平面外单侧连接;当楼面梁与剪力墙在平面外单侧连接时,宜采用铰接。
8.3.10 预制叠合连梁的预制部分宜与剪力墙整体预制,也可在跨中拼接或在端部与预制剪力墙拼接。
8.3.11 当预制叠合连梁在跨中拼接时,可按本规程第7.3.3条的规定进行接缝的构造设计。
8.3.12 当预制叠合连梁端部与预制剪力墙在平面内拼接时,接缝构造应符合下列规定: 1 当墙端边缘构件采用后浇混凝土时,连梁纵向钢筋应在后浇段中可靠锚固(图8.3.12a)或连接(图8.3.12b); 2 当预制剪力墙端部上角预留局部后浇节点区时,连梁的纵向钢筋应在局部后浇节点区内可靠锚固(图8.3.12c)或连接(图8.3.12d)。

图8.3.12 同一平面内预制连梁与预制剪力墙连接构造示意 1-预制剪力墙;2-预制连梁;3-边缘构件箍筋;4-连梁下部纵向受力钢筋锚固或连接
8.3.13 当采用后浇连梁时,宜在预制剪力墙端伸出预留纵向钢筋,并与后浇连梁的纵向钢筋可靠连接(图8.3.13)。

图8.3.13 后浇连梁与预制剪力墙连接构造示意 1-预制墙板;2-后浇连梁;3-预制剪力墙伸出纵向受力钢筋
8.3.14 应按本规程第7.2.2条的规定进行叠合连梁端部接缝的受剪承载力计算。
8.3.15 当预制剪力墙洞口下方有墙时,宜将洞口下墙作为单独的连梁进行设计(图8.3.15)。

图8.3.15 预制剪力墙洞口下墙与叠合连梁的关系示意 1-洞口下墙;2-预制连梁;3-后浇圈梁或水平后浇带
9 多层剪力墙结构设计
9.1 一般规定
9.1.1 本章适用于6层及6层以下、建筑设防类别为丙类的装配式剪力墙结构设计。
9.1.2 多层装配式剪力墙结构抗震等级应符合下列规定: 1 抗震设防烈度为8度时取三级; 2 抗震设防烈度为6、7度时取四级。
9.1.3 当房屋高度不大于10m且不超过3层时,预制剪力墙截面厚度不应小于120mm;当房屋超过3层时,预制剪力墙截面厚度不宜小于140mm。
9.1.4 当预制剪力墙截面厚度不小于140mm时,应配置双排双向分布钢筋网。剪力墙中水平及竖向分布筋的最小配筋率不应小于0.15%。
9.1.5 除本章规定外,预制剪力墙构件的构造应符合本规程第8.2节的规定。
9.2 结构分析和设计
9.2.1 多层装配式剪力墙结构可采用弹性方法进行结构分析,并宜按结构实际情况建立分析模型。
9.2.2 在地震设计状况下,预制剪力墙水平接缝的受剪承载力设计值应按下式计算:

式中:fy——垂直穿过结合面的钢筋抗拉强度设计值; N——与剪力设计值V相应的垂直于结合面的轴向力设计值,压力时取正,拉力时取负; Asd——垂直穿过结合面的抗剪钢筋面积。
9.3 连接设计
9.3.1 抗震等级为三级的多层装配式剪力墙结构,在预制剪力墙转角、纵横墙交接部位应设置后浇混凝土暗柱,并应符合下列规定: 1 后浇混凝土暗柱截面高度不宜小于墙厚,且不应小于250mm,截面宽度可取墙厚(图9.3.1); 2 后浇混凝土暗柱内应配置竖向钢筋和箍筋,配筋应满足墙肢截面承载力的要求,并应满足表9.3.1的要求; 3 预制剪力墙的水平分布钢筋在后浇混凝土暗柱内的锚固、连接应符合现行国家标准《混凝土结构设计规范》GB 50010的有关规定。

表9.3.1 多层装配式剪力墙结构后浇混凝土暗柱配筋要求
9.3.2 楼层内相邻预制剪力墙之间的竖向接缝可采用后浇段连接,并应符合下列规定: 1 后浇段内应设置竖向钢筋,竖向钢筋配筋率不应小于墙体竖向分布筋配筋率,且不宜小于2

12; 2 预制剪力墙的水平分布钢筋在后浇段内的锚固、连接应符合现行国家标准《混凝土结构设计规范》GB 50010的有关规定。
9.3.3 预制剪力墙水平接缝宜设置在楼面标高处,并应满足下列要求: 1 接缝厚度宜为20mm。 2 接缝处应设置连接节点,连接节点间距不宜大于1m;穿过接缝的连接钢筋数量应满足接缝受剪承载力的要求,且配筋率不应低于墙板竖向钢筋配筋率,连接钢筋直径不应小于14mm。 3 连接钢筋可采用套筒灌浆连接、浆锚搭接连接、焊接连接,并应满足本规程附录A中相应的构造要求。
9.3.4 当房屋层数大于3层时,应符合下列规定: 1 屋面、楼面宜采用叠合楼盖,叠合板与预制剪力墙的连接应符合本规程第6.6.4条的规定; 2 沿各层墙顶应设置水平后浇带,并应符合本规程第8.3.3条的规定; 3 当抗震等级为三级时,应在屋面设置封闭的后浇钢筋混凝土圈梁,圈梁应符合本规程第8.3.2条的规定。
9.3.5 当房屋层数不大于3层时,楼面可采用预制楼板,并应符合下列规定: 1 预制板在墙上的搁置长度不应小于60mm,当墙厚不能满足搁置长度要求时可设置挑耳;板端后浇混凝土接缝宽度不宜小于50mm,接缝内应配置连续的通长钢筋,钢筋直径不应小于8mm。 2 当板端伸出锚固钢筋时,两侧伸出的锚固钢筋应互相可靠连接,并应与支承墙伸出的钢筋、板端接缝内设置的通长钢筋拉结。 3 当板端不伸出锚固钢筋时,应沿板跨方向布置连系钢筋,连系钢筋直径不应小于10mm,间距不应大于600mm;连系钢筋应与两侧预制板可靠连接,并应与支承墙伸出的钢筋、板端接缝内设置的通长钢筋拉结。
9.3.6 连梁宜与剪力墙整体预制,也可在跨中拼接。预制剪力墙洞口上方的预制连梁可与后浇混凝土圈梁或水平后浇带形成叠合连梁;叠合连梁的配筋及构造要求应符合现行国家标准《混凝土结构设计规范》GB 50010的有关规定。
9.3.7 预制剪力墙与基础的连接应符合下列规定: 1 基础顶面应设置现浇混凝土圈梁,圈梁上表面应设置粗糙面; 2 预制剪力墙与圈梁顶面之间的接缝构造应符合本规程第9.3.3条的规定,连接钢筋应在基础中可靠锚固,且宜伸入到基础底部; 3 剪力墙后浇暗柱和竖向接缝内的纵向钢筋应在基础中可靠锚固,且宜伸入到基础底部。10 外挂墙板设计
10.1 一般规定
10.1.1 外挂墙板应采用合理的连接节点并与主体结构可靠连接。有抗震设防要求时,外挂墙板及其与主体结构的连接节点,应进行抗震设计。
10.1.2 外挂墙板结构分析可采用线性弹性方法,其计算简图应符合实际受力状态。
10.1.3 对外挂墙板和连接节点进行承载力验算时,其结构重要性系数γ0应取不小于1.0,连接节点承载力抗震调整系数γRE应取1.0。
10.1.4 支承外挂墙板的结构构件应具有足够的承载力和刚度。
10.1.5 外挂墙板与主体结构宜采用柔性连接,连接节点应具有足够的承载力和适应主体结构变形的能力,并应采取可靠的防腐、防锈和防火措施。
10.2 作用及作用组合
10.2.1 计算外挂墙板及连接节点的承载力时,荷载组合的效应设计值应符合下列规定: 1 持久设计状况: 当风荷载效应起控制作用时:

当永久荷载效应起控制作用时:

2 地震设计状况: 在水平地震作用下:

在竖向地震作用下:

式中:S——基本组合的效应设计值; SEh——水平地震作用组合的效应设计值; SEv——竖向地震作用组合的效应设计值; SGk——永久荷载的效应标准值; Swk——风荷载的效应标准值; SEhk——水平地震作用的效应标准值; SEvk——竖向地震作用的效应标准值; γG——永久荷载分项系数,按本规程第10.2.2条规定取值; γw——风荷载分项系数,取1.4; γEh——水平地震作用分项系数,取1.3; γEv——竖向地震作用分项系数,取1.3; ψw——风荷载组合系数。在持久设计状况下取0.6,地震设计状况下取0.2。
10.2.2 在持久设计状况、地震设计状况下,进行外挂墙板和连接节点的承载力设计时,永久荷载分项系数γG应按下列规定取值: 1 进行外挂墙板平面外承载力设计时,γG应取为0;进行外挂墙板平面内承载力设计时,γG应取为1.2; 2 进行连接节点承载力设计时,在持久设计状况下,当风荷载效应起控制作用时,γG应取为1.2,当永久荷载效应起控制作用时,γG应取为1.35;在地震设计状况下,γG应取为1.2。当永久荷载效应对连接节点承载力有利时,γG应取为1.0。
10.2.3 风荷载标准值应按现行国家标准《建筑结构荷载规范》GB 50009有关围护结构的规定确定。
10.2.4 计算水平地震作用标准值时,可采用等效侧力法,并应按下式计算:

式中:FEhk——施加于外挂墙板重心处的水平地震作用标准值; βE——动力放大系数,可取5.0; αmax——水平地震影响系数最大值,应按表10.2.4采用; Gk——外挂墙板的重力荷载标准值。
表10.2.4 水平地震影响系数最大值αmax
|
抗震设防烈度 |
6度 |
7度 |
8度 |
|
αmax |
0.04 |
0.08(0.12) |
0.16(0.24) |
注:抗震设防烈度7、8度时括号内数值分别用于设计基本地震加速度为0.15g和0.30g的地区。
10.2.5 竖向地震作用标准值可取水平地震作用标准值的0.65倍。
10.3 外挂墙版和连接设计
10.3.1 外挂墙板的高度不宜大于一个层高,厚度不宜小于100mm。
10.3.2 外挂墙板宜采用双层、双向配筋,竖向和水平钢筋的配筋率均不应小于0.15%,且钢筋直径不宜小于5mm,间距不宜大于200mm。
10.3.3 门窗洞口周边、角部应配置加强钢筋。
10.3.4 外挂墙板最外层钢筋的混凝土保护层厚度除有专门要求外,应符合下列规定: 1 对石材或面砖饰面,不应小于15mm; 2 对清水混凝土,不应小于20mm; 3 对露骨料装饰面,应从最凹处混凝土表面计起,且不应小于20mm。
10.3.5 外挂墙板的截面设计应符合本规程第6.4节的要求。
10.3.6 外挂墙板与主体结构采用点支承连接时,连接件的滑动孔尺寸,应根据穿孔螺栓的直径、层间位移值和施工误差等因素确定。
10.3.7 外挂墙板间接缝的构造应符合下列规定: 1 接缝构造应满足防水、防火、隔声等建筑功能要求; 2 接缝宽度应满足主体结构的层间位移、密封材料的变形能力、施工误差、温差引起变形等要求,且不应小于15mm。11 构件制作与运输
11.1 一般规定
11.1.1 预制构件制作单位应具备相应的生产工艺设施,并应有完善的质量管理体系和必要的试验检测手段。
11.1.2 预制构件制作前,应对其技术要求和质量标准进行技术交底,并应制定生产方案;生产方案应包括生产工艺、模具方案、生产计划、技术质量控制措施、成品保护、堆放及运输方案等内容。
11.1.3 预制构件用混凝土的工作性应根据产品类别和生产工艺要求确定,构件用混凝土原材料及配合比设计应符合国家现行标准《混凝土结构工程施工规范》GB 50666、《普通混凝土配合比设计规程》JGJ 55和《高强混凝土应用技术规程》JGJ/T 281等的规定。
11.1.4 预制结构构件采用钢筋套筒灌浆连接时,应在构件生产前进行钢筋套筒灌浆连接接头的抗拉强度试验,每种规格的连接接头试件数量不应少于3个。
11.1.5 预制构件用钢筋的加工、连接与安装应符合国家现行标准《混凝土结构工程施工规范》GB 50666和《混凝土结构工程施工质量验收规范》GB 50204等的有关规定。
11.2 制作准备
11.2.1 预制构件制作前,对带饰面砖或饰面板的构件,应绘制排砖图或排板图;对夹心外墙板,应绘制内外叶墙板的拉结件布置图及保温板排板图。
11.2.2 预制构件模具除应满足承载力、刚度和整体稳定性要求外,尚应符合下列规定: 1 应满足预制构件质量、生产工艺、模具组装与拆卸、周转次数等要求; 2 应满足预制构件预留孔洞、插筋、预埋件的安装定位要求; 3 预应力构件的模具应根据设计要求预设反拱。
11.2.3 预制构件模具尺寸的允许偏差和检验方法应符合表11.2.3的规定。当设计有要求时,模具尺寸的允许偏差应按设计要求确定。
表11.2.3 预制构件模具尺寸的允许偏差和检验方法

注:l为模具与混凝土接触面中最长边的尺寸。
11.2.4 预埋件加工的允许偏差应符合表11.2.4的规定。
表11.2.4 预埋件加工允许偏差


11.2.5 固定在模具上的预埋件、预留孔洞中心位置的允许偏差应符合表11.2.5的规定。
表11.2.5 模具预留孔洞中心位置的允许偏差

注:检查中心线位置时,应沿纵、横两个方向量测,并取其中的较大值。
11.2.6 应选用不影响构件结构性能和装饰工程施工的隔离剂。
11.3 构件制作
11.3.1 在混凝土浇筑前应进行预制构件的隐蔽工程检查,检查项目应包括下列内容: 1 钢筋的牌号、规格、数量、位置、间距等; 2 纵向受力钢筋的连接方式、接头位置、接头质量、接头面积百分率、搭接长度等; 3 箍筋、横向钢筋的牌号、规格、数量、位置、间距,箍筋弯钩的弯折角度及平直段长度; 4 预埋件、吊环、插筋的规格、数量、位置等; 5 灌浆套筒、预留孔洞的规格、数量、位置等; 6 钢筋的混凝土保护层厚度; 7 夹心外墙板的保温层位置、厚度,拉结件的规格、数量、位置等; 8 预埋管线、线盒的规格、数量、位置及固定措施。
11.3.2 带面砖或石材饰面的预制构件宜采用反打一次成型工艺制作,并应符合下列要求: 1 当构件饰面层采用面砖时,在模具中铺设面砖前,应根据排砖图的要求进行配砖和加工;饰面砖应采用背面带有燕尾槽或粘结性能可靠的产品。 2 当构件饰面层采用石材时,在模具中铺设石材前,应根据排板图的要求进行配板和加工;应按设计要求在石材背面钻孔、安装不锈钢卡钩、涂覆隔离层。 3 应采用具有抗裂性和柔韧性、收缩小且不污染饰面的材料嵌填面砖或石材之间的接缝,并应采取防止面砖或石材在安装钢筋、浇筑混凝土等生产过程中发生位移的措施。
11.3.3 夹心外墙板宜采用平模工艺生产,生产时应先浇筑外叶墙板混凝土层,再安装保温材料和拉结件,最后浇筑内叶墙板混凝土层;当采用立模工艺生产时,应同步浇筑内外叶墙板混凝土层,并应采取保证保温材料及拉结件位置准确的措施。
11.3.4 应根据混凝土的品种、工作性、预制构件的规格形状等因素,制定合理的振捣成型操作规程。混凝土应采用强制式搅拌机搅拌,并宜采用机械振捣。
11.3.5 预制构件采用洒水、覆盖等方式进行常温养护时,应符合现行国家标准《混凝土结构工程施工规范》GB 50666的要求。 预制构件采用加热养护时,应制定养护制度对静停、升温、恒温和降温时间进行控制,宜在常温下静停2h~6h,升温、降温速度不应超过20℃/h,最高养护温度不宜超过70℃,预制构件出池的表面温度与环境温度的差值不宜超过25℃。
11.3.6 脱模起吊时,预制构件的混凝土立方体抗压强度应满足设计要求,且不应小于15N/mm2。
11.3.7 采用后浇混凝土或砂浆、灌浆料连接的预制构件结合面,制作时应按设计要求进行粗糙面处理。设计无具体要求时,可采用化学处理、拉毛或凿毛等方法制作粗糙面。
11.3.8 预应力混凝土构件生产前应制定预应力施工技术方案和质量控制措施,并应符合现行国家标准《混凝土结构工程施工规范》GB 50666和《混凝土结构工程施工质量验收规范》GB 50204的要求。
11.4 构件检验
11.4.1 预制构件的外观质量不应有严重缺陷,且不宜有一般缺陷。对已出现的一般缺陷,应按技术方案进行处理,并应重新检验。
11.4.2 预制构件的允许尺寸偏差及检验方法应符合表11.4.2的规定。预制构件有粗糙面时,与粗糙面相关的尺寸允许偏差可适当放松。
表11.4.2 预制构件尺寸允许偏差及检验方法


注:1 l为构件最长边的长度(mm); 2 检查中心线、螺栓和孔道位置偏差时,应沿纵横两个方向量测,并取其中偏差较大值。
11.4.3 预制构件应按设计要求和现行国家标准《混凝土结构工程施工质量验收规范》GB 50204的有关规定进行结构性能检验。
11.4.4 陶瓷类装饰面砖与构件基面的粘结强度应符合现行行业标准《建筑工程饰面砖粘结强度检验标准》JGJ 110和《外墙面砖工程施工及验收规范》JGJ 126等的规定。
11.4.5 夹心外墙板的内外叶墙板之间的拉结件类别、数量及使用位置应符合设计要求。
11.4.6 预制构件检查合格后,应在构件上设置表面标识,标识内容宜包括构件编号、制作日期、合格状态、生产单位等信息。
11.5 运输与堆放
11.5.1 应制定预制构件的运输与堆放方案,其内容应包括运输时间、次序、堆放场地、运输线路、固定要求、堆放支垫及成品保护措施等。对于超高、超宽、形状特殊的大型构件的运输和堆放应有专门的质量安全保证措施。
11.5.2 预制构件的运输车辆应满足构件尺寸和载重要求,装卸与运输时应符合下列规定: 1 装卸构件时,应采取保证车体平衡的措施; 2 运输构件时,应采取防止构件移动、倾倒、变形等的固定措施; 3 运输构件时,应采取防止构件损坏的措施,对构件边角部或链索接触处的混凝土,宜设置保护衬垫。
11.5.3 预制构件堆放应符合下列规定: 1 堆放场地应平整、坚实,并应有排水措施; 2 预埋吊件应朝上,标识宜朝向堆垛间的通道; 3 构件支垫应坚实,垫块在构件下的位置宜与脱模、吊装时的起吊位置一致; 4 重叠堆放构件时,每层构件间的垫块应上下对齐,堆垛层数应根据构件、垫块的承载力确定,并应根据需要采取防止堆垛倾覆的措施; 5 堆放预应力构件时,应根据构件起拱值的大小和堆放时间采取相应措施。
11.5.4 墙板的运输与堆放应符合下列规定: 1 当采用靠放架堆放或运输构件时,靠放架应具有足够的承载力和刚度,与地面倾斜角度宜大于80°;墙板宜对称靠放且外饰面朝外,构件上部宜采用木垫块隔离;运输时构件应采取固定措施。 2 当采用插放架直立堆放或运输构件时,宜采取直立运输方式;插放架应有足够的承载力和刚度,并应支垫稳固。 3 采用叠层平放的方式堆放或运输构件时,应采取防止构件产生裂缝的措施。12 结构施工
12.1 一般规定
12.1.1 装配式结构施工前应制定施工组织设计、施工方案;施工组织设计的内容应符合现行国家标准《建筑工程施工组织设计规范》GB/T 50502的规定;施工方案的内容应包括构件安装及节点施工方案、构件安装的质量管理及安全措施等。
12.1.2 装配式结构的后浇混凝土部位在浇筑前应进行隐蔽工程验收。验收项目应包括下列内容: 1 钢筋的牌号、规格、数量、位置、间距等; 2 纵向受力钢筋的连接方式、接头位置、接头数量、接头面积百分率、搭接长度等; 3 纵向受力钢筋的锚固方式及长度; 4 箍筋、横向钢筋的牌号、规格、数量、位置、间距,箍筋弯钩的弯折角度及平直段长度; 5 预埋件的规格、数量、位置; 6 混凝土粗糙面的质量,键槽的规格、数量、位置; 7 预留管线、线盒等的规格、数量、位置及固定措施。
12.1.3 预制构件、安装用材料及配件等应符合设计要求及国家现行有关标准的规定。
12.1.4 吊装用吊具应按国家现行有关标准的规定进行设计、验算或试验检验。 吊具应根据预制构件形状、尺寸及重量等参数进行配置,吊索水平夹角不宜小于60°,且不应小于45°;对尺寸较大或形状复杂的预制构件,宜采用有分配梁或分配桁架的吊具。
12.1.5 钢筋套筒灌浆前,应在现场模拟构件连接接头的灌浆方式,每种规格钢筋应制作不少于3个套筒灌浆连接接头,进行灌注质量以及接头抗拉强度的检验;经检验合格后,方可进行灌浆作业。
12.1.6 在装配式结构的施工全过程中,应采取防止预制构件及预制构件上的建筑附件、预埋件、预埋吊件等损伤或污染的保护措施。
12.1.7 未经设计允许不得对预制构件进行切割、开洞。
12.1.8 装配式结构施工过程中应采取安全措施,并应符合现行行业标准《建筑施工高处作业安全技术规范》JGJ 80、《建筑机械使用安全技术规程》JGJ 33和《施工现场临时用电安全技术规范》JGJ 46等的有关规定。
12.2 安装准备
12.2.1 应合理规划构件运输通道和临时堆放场地,并应采取成品堆放保护措施。
12.2.2 安装施工前,应核对已施工完成结构的混凝土强度、外观质量、尺寸偏差等符合现行国家标准《混凝土结构工程施工规范》GB 50666和本规程的有关规定,并应核对预制构件的混凝土强度及预制构件和配件的型号、规格、数量等符合设计要求。
12.2.3 安装施工前,应进行测量放线、设置构件安装定位标识。
12.2.4 安装施工前,应复核构件装配位置、节点连接构造及临时支撑方案等。
12.2.5 安装施工前,应检查复核吊装设备及吊具处于安全操作状态。
12.2.6 安装施工前,应核实现场环境、天气、道路状况等满足吊装施工要求。
12.2.7 装配式结构施工前,宜选择有代表性的单元进行预制构件试安装,并应根据试安装结果及时调整完善施工方案和施工工艺。
12.3 安装与连接
12.3.1 预制构件吊装就位后,应及时校准并采取临时固定措施,并应符合现行国家标准《混凝土结构工程施工规范》GB 50666的相关规定。
12.3.2 采用钢筋套筒灌浆连接、钢筋浆锚搭接连接的预制构件就位前,应检查下列内容: 1 套筒、预留孔的规格、位置、数量和深度; 2 被连接钢筋的规格、数量、位置和长度。 当套筒、预留孔内有杂物时,应清理干净;当连接钢筋倾斜时,应进行校直。连接钢筋偏离套筒或孔洞中心线不宜超过5mm。
12.3.3 墙、柱构件的安装应符合下列规定: 1 构件安装前,应清洁结合面; 2 构件底部应设置可调整接缝厚度和底部标高的垫块; 3 钢筋套筒灌浆连接接头、钢筋浆锚搭接连接接头灌浆前,应对接缝周围进行封堵,封堵措施应符合结合面承载力设计要求; 4 多层预制剪力墙底部采用坐浆材料时,其厚度不宜大于20mm。
12.3.4 钢筋套筒灌浆连接接头、钢筋浆锚搭接连接接头应按检验批划分要求及时灌浆,灌浆作业应符合国家现行有关标准及施工方案的要求,并应符合下列规定: 1 灌浆施工时,环境温度不应低于5℃;当连接部位养护温度低于10℃时,应采取加热保温措施; 2 灌浆操作全过程应有专职检验人员负责旁站监督并及时形成施工质量检查记录; 3 应按产品使用说明书的要求计量灌浆料和水的用量,并搅拌均匀;每次拌制的灌浆料拌合物应进行流动度的检测,且其流动度应满足本规程的规定; 4 灌浆作业应采用压浆法从下口灌注,当浆料从上口流出后应及时封堵,必要时可设分仓进行灌浆; 5 灌浆料拌合物应在制备后30min内用完。
12.3.5 焊接或螺栓连接的施工应符合国家现行标准《钢筋焊接及验收规程》JGJ 18、《钢结构焊接规范》GB 50661、《钢结构工程施工规范》GB 50755和《钢结构工程施工质量验收规范》GB 50205的有关规定。 采用焊接连接时,应采取防止因连续施焊引起的连接部位混凝土开裂的措施。
12.3.6 钢筋机械连接的施工应符合现行行业标准《钢筋机械连接技术规程》JGJ 107的有关规定。
12.3.7 后浇混凝土的施工应符合下列规定: 1 预制构件结合面疏松部分的混凝土应剔除并清理干净; 2 模板应保证后浇混凝土部分形状、尺寸和位置准确,并应防止漏浆; 3 在浇筑混凝土前应洒水润湿结合面,混凝土应振捣密实; 4 同一配合比的混凝土,每工作班且建筑面积不超过1000m2应制作一组标准养护试件,同一楼层应制作不少于3组标准养护试件。
12.3.8 构件连接部位后浇混凝土及灌浆料的强度达到设计要求后,方可拆除临时固定措施。
12.3.9 受弯叠合构件的装配施工应符合下列规定: 1 应根据设计要求或施工方案设置临时支撑; 2 施工荷载宜均匀布置,并不应超过设计规定; 3 在混凝土浇筑前,应按设计要求检查结合面的粗糙度及预制构件的外露钢筋; 4 叠合构件应在后浇混凝土强度达到设计要求后,方可拆除临时支撑。
12.3.10 安装预制受弯构件时,端部的搁置长度应符合设计要求,端部与支承构件之间应坐浆或设置支承垫块,坐浆或支承垫块厚度不宜大于20mm。
12.3.11 外挂墙板的连接节点及接缝构造应符合设计要求;墙板安装完成后,应及时移除临时支承支座、墙板接缝内的传力垫块。
12.3.12 外墙板接缝防水施工应符合下列规定: 1 防水施工前,应将板缝空腔清理干净; 2 应按设计要求填塞背衬材料; 3 密封材料嵌填应饱满、密实、均匀、顺直、表面平滑,其厚度应符合设计要求。
13 工程验收
13.1 一般规定
13.1.1 装配式结构应按混凝土结构子分部工程进行验收;当结构中部分采用现浇混凝土结构时,装配式结构部分可作为混凝土结构子分部工程的分项工程进行验收。 装配式结构验收除应符合本规程规定外,尚应符合现行国家标准《混凝土结构工程施工质量验收规范》GB 50204的有关规定。
13.1.2 预制构件的进场质量验收应符合现行国家标准《混凝土结构工程施工质量验收规范》GB 50204的有关规定。
13.1.3 装配式结构焊接、螺栓等连接用材料的进场验收应符合现行国家标准《钢结构工程施工质量验收规范》GB 50205的有关规定。
13.1.4 装配式结构的外观质量除设计有专门的规定外,尚应符合现行国家标准《混凝土结构工程施工质量验收规范》GB 50204中关于现浇混凝土结构的有关规定。
13.1.5 装配式建筑的饰面质量应符合设计要求,并应符合现行国家标准《建筑装饰装修工程质量验收规范》GB 50210的有关规定。
13.1.6 装配式混凝土结构验收时,除应按现行国家标准《混凝土结构工程施工质量验收规范》GB 50204的要求提供文件和记录外,尚应提供下列文件和记录: 1 工程设计文件、预制构件制作和安装的深化设计图; 2 预制构件、主要材料及配件的质量证明文件、进场验收记录、抽样复验报告; 3 预制构件安装施工记录; 4 钢筋套筒灌浆、浆锚搭接连接的施工检验记录; 5 后浇混凝土部位的隐蔽工程检查验收文件; 6 后浇混凝土、灌浆料、坐浆材料强度检测报告; 7 外墙防水施工质量检验记录; 8 装配式结构分项工程质量验收文件; 9 装配式工程的重大质量问题的处理方案和验收记录; 10 装配式工程的其他文件和记录。
13.2 主控项目
13.2.1 后浇混凝土强度应符合设计要求。 检查数量:按批检验,检验批应符合本规程第12.3.7条的有关要求。 检验方法:按现行国家标准《混凝土强度检验评定标准》GB/T 50107的要求进行。
13.2.2 钢筋套筒灌浆连接及浆锚搭接连接的灌浆应密实饱满。 检查数量:全数检查。 检验方法:检查灌浆施工质量检查记录。
13.2.3 钢筋套筒灌浆连接及浆锚搭接连接用的灌浆料强度应满足设计要求。 检查数量:按批检验,以每层为一检验批;每工作班应制作一组且每层不应少于3组40mm×40mm×160mm的长方体试件,标准养护28d后进行抗压强度试验。 检验方法:检查灌浆料强度试验报告及评定记录。
13.2.4 剪力墙底部接缝坐浆强度应满足设计要求。 检查数量:按批检验,以每层为一检验批;每工作班应制作一组且每层不应少于3组边长为70.7mm的立方体试件,标准养护28d后进行抗压强度试验。 检验方法:检查坐浆材料强度试验报告及评定记录。
13.2.5 钢筋采用焊接连接时,其焊接质量应符合现行行业标准《钢筋焊接及验收规程》JGJ 18的有关规定。 检查数量:按现行行业标准《钢筋焊接及验收规程》JGJ 18的规定确定。 检验方法:检查钢筋焊接施工记录及平行加工试件的强度试验报告。
13.2.6 钢筋采用机械连接时,其接头质量应符合现行行业标准《钢筋机械连接技术规程》JGJ 107的有关规定。 检查数量:按现行行业标准《钢筋机械连接技术规程》JGJ 107的规定确定。 检验方法:检查钢筋机械连接施工记录及平行加工试件的强度试验报告。
13.2.7 预制构件采用焊接连接时,钢材焊接的焊缝尺寸应满足设计要求,焊缝质量应符合现行国家标准《钢结构焊接规范》GB 50661和《钢结构工程施工质量验收规范》GB 50205的有关规定。 检查数量:全数检查。 检验方法:按现行国家标准《钢结构工程施工质量验收规范》GB 50205的要求进行。
13.2.8 预制构件采用螺栓连接时,螺栓的材质、规格、拧紧力矩应符合设计要求及现行国家标准《钢结构设计规范》GB 50017和《钢结构工程施工质量验收规范》GB 50205的有关规定。 检查数量:全数检查。 检验方法:按现行国家标准《钢结构工程施工质量验收规范》GB 50205的要求进行。
13.3 一般项目
13.3.1 装配式结构尺寸允许偏差应符合设计要求,并应符合表13.3.1中的规定。 检查数量:按楼层、结构缝或施工段划分检验批。在同一检验批内,对梁、柱,应抽查构件数量的10%,且不少于3件;对墙和板,应按有代表性的自然间抽查10%,且不少于3间;对大空间结构,墙可按相邻轴线间高度5m左右划分检查面,板可按纵、横轴线划分检查面,抽查10%,且均不少于3面。
表13.3.1 装配式结构尺寸允许偏差及检验方法

13.3.2 外墙板接缝的防水性能应符合设计要求。 检查数量:按批检验。每1000m2外墙面积应划分为一个检验批,不足1000m2时也应划分为一个检验批;每个检验批每100m2应至少抽查一处,每处不得少于10m2。 检验方法:检查现场淋水试验报告。附录A 多层剪力墙结构水平接缝连接节点构造
A.0.1 连接钢筋采用套筒灌浆连接(图A.0.1)时,可在下层预制剪力墙中设置竖向连接钢筋与上层预制剪力墙内的连接钢筋通过套筒灌浆连接,并应符合本规程第6.5.3条的规定;连接钢筋可在预制剪力墙中通长设置,或在预制剪力墙中可靠锚固。

图A.0.1 连接钢筋套筒灌浆连接构造示意 1-钢筋套筒灌浆连接;2-连接钢筋;3-坐浆层
A.0.2 连接钢筋采用浆锚搭接连接(图A.0.2)时,可在下层预制剪力墙中设置竖向连接钢筋与上层预制剪力墙内的连接钢筋通过浆锚搭接连接,并应符合本规程第6.5.4条的规定;连接钢筋可在预制剪力墙中通长设置,或在预制剪力墙中可靠锚固。

图A.0.2 连接钢筋浆锚搭接连接构造示意 1-钢筋浆锚搭接连接;2-连接钢筋;3-坐浆层
A.0.3 连接钢筋采用焊接连接(图A.0.3)时,可在下层预制剪力墙中设置竖向连接钢筋,与上层预制剪力墙底部的预留钢筋焊接连接,焊接长度不应小于10d(d为连接钢筋直径);连接部位预留键槽的尺寸,应满足焊接施工的空间要求;预留键槽应用后浇细石混凝土填实。连接钢筋可在预制剪力墙中通长设置,或在预制剪力墙中可靠锚固。当下层预制剪力墙中的连接钢筋兼作吊环使用时,尚应符合现行国家标准《混凝土结构设计规范》GB 50010的有关规定。

图A.0.3 连接钢筋焊接连接构造示意 1-上层预制剪力墙连接钢筋;2-下层预制剪力墙连接钢筋;3-坐浆层
A.0.4 连接钢筋采用预焊钢板焊接连接(图A.0.4)时,应在下层预制剪力墙中设置竖向连接钢筋,与在上层预制剪力墙中设置的连接钢筋底部预焊的连接用钢板焊接连接,焊接长度不应小于10d(d为连接钢筋直径);连接部位预留键槽的尺寸,应满足焊接施工的空间要求;预留键槽应采用后浇细石混凝土填实。连接钢筋应在预制剪力墙中通长设置,或在预制剪力墙中可靠锚固。当下层预制剪力墙体中的连接钢筋兼作吊环使用时,尚应符合现行国家标准《混凝土结构设计规范》GB 50010的有关规定。

图 A.0.4 连接钢筋预焊钢板接连接构造示意 1-预焊钢板;2-下层预制剪力墙连接钢筋;3-坐浆层;4-上层预制剪力墙连接钢筋