
文|孤独漂流的梦想家
编辑|孤独漂流的梦想家
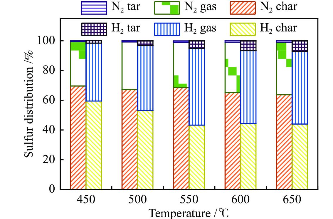
生物质在不同温度下的反应
在加压热天平上用非等温热重法进行生物质在N,下的热解和加氢热解研究。
考察了升温速率(5-25C/min)和压力(0.1-7MPAJ的影响,求取了热解动力学参粒,并研究了生物质与煤在常压N,气下的共热解过程。
研究结果表明,生物质在400C左右即完成热解反应,总失重率大于70%,热解时仅一个峰位于300C左右。

与媒热解行为相同,随开遇速本及压力的升高,转化率下降,DTG峰移向高温,但由于热解反应在较温度下进行,氢气的并在对生物压热解TG和DTG的影响远小于媒热解。
证明生物团解以其内部对自由基的地和及分子重排区应为主。生物质热解可用一级反应动力学处理。
生物质由于与煤的热分解跟度相差报大,因而在其共解过程中无协同作用。
我国农作物秸秆的年产量约有6亿吨,稻壳约5000万吨,林业加工过程中产生的残余物约3000万吨,三项总计折合标准煤2.15亿吨。

生物质是潜在能源和化学原料的重要宝库但目前我国生物质大都用于直接燃烧或废弃于农田,遗成这一资源的浪费和环境污染。
生物质的清净转化引起世界各国的高度重视,热解是使其转化为气体和液体燃料的有效途径,但国内外这方面报道较少。
而关于生物质加氢热解及生物质与煤共热解的研究工作至今尚未见报道。本文在加压热天平上用非等温热重法进行生物质(末亮)在下的热解和加热解研究。
考察不同升温逮率和压力的影响,进行了动力学分析,并研究了生物质与煤在常压N,气下的共热解过程。

煤样的失重微分曲线
实验在CAHN-TG151加压热天平上进行,样品重量约200mg,热解N或H以量450ml/min在一定压力下进入热天平,以一定的升温速率进行反应。
热解气经冷阱气被分离,色谱在线分析、减压、计后收集。实验数据均由系统配置的计算机每隔10自行果集一次,并给出失重曲线和失微分曲线实验用生物质样为锯末和稻亮,煤样选用大同煤和究州煤,粒度小于200目所有样品。

在3MPa的氢压下在不同升温速率下热解试验的结示于图1

图1术在小同升沿速率下加氢热解的TGaJ和DTGb曲线
可以看出,随升温速率的增加,锯末的失重略有所下降,而DTG峰温向高温区移动。
这是由于在快速升温下,自由基迅速生成,内在氢与自由基的反速率不能和自由基生成速率相匹配,从而使自由基相互间结合,生成难挥发的高分子的物质。
压力的影响在5C/min的升温速率下,考察了不同压对锯末热解的影响作用,结果见图2。

由图可知,随热解氨压的升高,失重率下降,最大失重时的峰温提高,原因之一是压力的增加抑制了挥发分的选出,二是生物质本身固有的氢已足够使逸出的挥发性产物被加氢,从而外部的氢气对步热解失重率之贡献不甚显著。
由此可以推断,在生物质的加氢热解中,没有必赛使用太高的乐力。物N下解在5C/mmin的升温速率下,考察了锯末在不同压力下的氮气氛下热解行为,结果见图3由图可见。

随热解压力的升高,失重率反而有所下降,同样说明高压对生物质的热解是不利的比较图3和图2中的TG曲线可以发现在同样的气体压力下。
加氨热解并没有使生物质的转化率有明显增加在3MPa和MPa时锯末加气热解的失重率分别为76%和73%。
而在N,下则分别为74%和70%(w%.daf.这说明生物质内部的氢在热解中发挥了作用,并暗示在生物质的热解中可以用N。
代H同时用常压代替加压热解。由于煤结构中H/C比较低在解中需外部供氢,同时考虑到生物质的富氢性质所以笔者会试了煤与生物质在常压N气下共热解的转化过程。
将锯末与煤按重量比为12,3分别合均,压下成型后在0.1MPa的N气下热解,终温为650C,试验结果示于图4和图5。

从图4.5的TG曲线来,随着末含的增加总的失重率增加。但从失重率的比较来分析,总转化率的增加只是由于锯末相对含量增加面致,并非是二者相互协同作用的结果。
换句话说,生物质本身固有的氨并没有在煤的热解中起到加氨效果,共热解中的转化率只是煤与生物质各自转化率的加和。
从失重的微分曲线可以看到,末的最大分解峰温为297C,热解完全时的温度为400而大同煤的热解峰溢为470C充州煤的分别为398C和470C,煤的副烈热解温度与据末的相差101一173C。
当媒开始热分解时生物质已基本上热解完全,由此生物质中富裕的氢并没能有效地被媒利用。
从图4充州煤的热解DTG曲线来看第一个峰与妈末的热解峰有重叠区,由此二者在此温度区间的共热解略有协同作用N

将磨碎的稻壳样与大同谋按重量比2:1合分别在5C/min和25C/min的升温速率和0.1MPa的N;气下果示于图6

发现升率对同煤的热解转化影不大,但大热分解温度有所提高,在25C/min时为460C在5C/min时为430C。
对稻亮及与煤共热解的情况而言,随升温速率的提高,热解转化率下降,在慢速升温过程中,由于挥发分得以充分释放,从而本身的如氨效比快惠升时显著。
这一点可以从DTG线上看出:在200一300T溢度区间内稻壳的热解在5/in时有个峰而25C/min时只有一个峰与锯末和煤的共热解一样,由于稻亮的最大热分解温度与煤相差太大由此协同作用亦不明显
热解转化率可以用样品的重量变化来描述,即

通常等式右边第一项可以近似看作常数,如所取反应级数正确,式右边的值对1/7作图可得一直线。
由直线的斜率和截距可求出反应的活化能E与指前因子AShin等人,通过对Coats等的积分式进行达代处理后认为,可以用50%时的温度代替截距项中的T值而无需进行送代处理。
当E2RT时截项显然为数,也无需进行达代运算本文则来用在所涉及的温度范围内,取中间值时的温度代替截距项中的了,这与文献的取值法一致。
根据上述方法经回归分析发现当=1时线性相关最好文动力选为一级反应。

失重速率达峰值前后的热解过程能较好地反映试样的热解特性。陌亮和锯末的TG、DTG曲线形状很相似,失重速率峰温均在300C左右但锯末的热解表观活化能大于稻壳的,因此可以认为据末中纤维交联作用较强。
大同煤的峰温在470C.充州煤则分别为397C和470C主要热解阶段的活化能是充州煤大于大同煤,因此可知充州煤中侧链和活泼基团较大同煤多。

实验结论
受热首先断裂下来:第二个峰则是较强化学键的断裂和含骁基团的热解。
关于生物质与媒共热解的情况,由于其主要热解阶段温度区间没有重叠区,因而无协同作用。
1.随升温速率和压力的增加,生物质的热解失重率下隆,DTG峰温提高。
2.生物质在较低温度下完成热解反应,气的存在对生物质热解的TG和DTG影远小于煤热解,证明生物质以其内部氨对自由基的饱和及分子重排反应为丰。
3.生物质与煤的共热解过程由于其主要热解阶段遇度相太大而无明显的协问作用。
4.生物质热解可用两段或三段的一级动力学处理。热解温度区间和表观活化能分别是糖末。
