

一、几种重要的实验方法
下面几种实验方法是我们中学阶段物理实验中用过的,从方法的角度整理、复习一下,有助于我们提高认识水平和能力。9
(1)累积法:在“用单摆测重力加速度”测周期时我们用的是累积法,即我们不直接测一个周期的时间,而是测30~50个周期的总时间,再除以周期数即得周期T的值.用累积法的好处是:①相当于进行多次测量而后取平均值,这样可以减少偶然误差;②增加有效数字的位数.以测单摆的周期为例,我们实验时单摆的摆长大约是1m或不到1m,用停表(最小分度值是0.1s)直接测1个周期的值,只能读出两位有效数字(机械停表的指针是跳跃式前进的,因此不能估读),如1.8s、2.0s等,而测30个周期总时间,则可读出至少3位有效数字。
用累积法的实验还有很多,如测一张纸的厚度、用刻度尺测金属丝的直径…
(2)替代法:在“互成角度两个共点力的合成”的实验中我们就用到了替代法,第一次我们用两个弹簧秤成角度地拉橡皮筋,把结点拉到某一位置,再换成一个弹簧秤,同样拉这个橡皮筋,也把结点拉到同样位置,这说明后一个弹簧秤的拉力与前面两个弹簧秤的拉力效果相等因此右以互相替代.对于“等效”这个问题,应正确理解:所谓效果相等,是对某一方面说的,并不是在所有方面都等效,仍以合力与分力来说,它们只是在改变物体的运动状态上等效,而在其他方面,例如在产生形变上,二者并不等效。
用替代法的例子还有很多,如用天平称物物体的质量,电阻测量等都可以用替代法,我们古代三国时期曹冲称象的故事就是替代法的典型实例。
(3)测量量的转换:例如在“碰撞中的动量守恒”的实验中,把测物体的速度转换为测物体平抛运动的水平位移,即把测速度转换为测长度。
又如在“测定玻璃的折射率”的实验中,本应测量入射角和折射角,再根据折射率n=sini/sinr求出折射率,但角度不容易测准确(一般所用的量角器的最小分度是1°,并且测角度时顶点很难对得特别准确),而通过做辅助线的方法可以把测角度转换为测线段的长度,从而增加了有效数字的位数,即提高了测量的准确度。
(4)比较法:用天平称物体的质量,就是把物体与砝码进行比较,砝码的质量是标准的,把被测量与标准的量进行比较,就是比较法.天平是等臂杠杆,因此用天平测物体质量时,不用再进行计算,而是直接读出砝码的质量,它就等于物体的质量。一般情况下,被测物跟标准量并不相等,而是要根据某种关系进行计算,最常用的是二者间满足一定的比例关系,通过一定的比例计算即可得出结果,因此常常称为比例法。用比例法测电阻是常见的,当两个电阻串联时,通过的电流相等,因此两电阻两端的电压跟它们的电阻成正比,如果其中的一个电阻是标准电阻,另一个电阻的阻值就可测出.同样,两电阻并联时,由于两端电压相等,通过两支路的电流跟电阻成反比,只要一个是标准电阻,另一个电阻的阻可测出。
一、误差和有效数字
1.误差
测量值与真实值的差异叫做误差。误差可分为系统误差和偶然误差两种。
⑴系统误差的特点是在多次重复同一实验时,误差总是同样地偏大或偏小。
⑵偶然误差总是有时偏大,有时偏小,并且偏大和偏小的机会相同。减小偶然误差的方法,可以多进行几次测量,求出几次测量的数值的平均值。这个平均值比某一次测得的数值更接近于真实值。
2.有效数字
带有一位不可靠数字的近似数字,叫做有效数字。⑴有效数字是指近似数字而言。⑵只能带有一位不可靠数字,不是位数越多越好。
凡是用测量仪器直接测量的结果,读数一般要求在读出仪器最小刻度所在位的数值(可靠数字)后,再向下估读一位(不可靠数字),这里不受有效数字位数的限制。
间接测量的有效数字运算不作要求,运算结果一般可用2~3位有效数字表示。
二、基本测量仪器及读数
高考要求会正确使用的仪器主要有:刻度尺、游标卡尺、螺旋测微器、天平、秒表、打点计时器、弹簧秤、温度表、电流表、电压表、多用电表、滑动变阻器、电阻箱等等。
1.刻度尺、秒表、弹簧秤、温度表、电流表、电压表的读数
使用以上仪器时,凡是最小刻度是10分度的,要求读到最小刻度后再往下估读一位(估读的这位是不可靠数字,但是是有效数字的不可缺少的组成部分)。凡是最小刻度不是10分度的,只要求读到最小刻度所在的这一位,不再往下估读。凡仪器的最小刻度是10分度的,在读到最小刻度后还要再往下估读一位。
例如:

⑴读出上图中被测物体的长度。 6.50cm。

⑵上图用3V量程时电压表读数为多少?1.14V。用15V量程时电压表度数又为多少? 5.7V。

⑶上图中秒表的示数是多少分多少秒?3分48.75秒。
2.游标卡尺
⑴10分度的游标卡尺。游标上相邻两个刻度间的距离为0.9mm,比主尺上相邻两个刻度间距离小0.1mm。读数时先从主尺上读出厘米数和毫米数,然后用游标读出0.1毫米位的数值:游标的第几条刻线跟主尺上某一条刻线对齐,0.1毫米位就读几(不能读某)。其读数准确到0.1mm。
⑵20分度的游标卡尺。游标上相邻两个刻度间的距离为0.95mm,比主尺上相邻两个刻度间距离小0.05mm。读数时先从主尺上读出厘米数和毫米数,然后用游标读出毫米以下的数值:游标的第几条刻线跟主尺上某一条刻线对齐,毫米以下的读数就是几乘0.05毫米。其读数准确到0.05mm。
⑶50分度的游标卡尺。游标上相邻两个刻度间的距离为0.98mm,比主尺上相邻两个刻度间距离小0.02mm。这种卡尺的刻度是特殊的,游标上的刻度值,就是毫米以下的读数。这种卡尺的读数可以准确到0.02mm。如右图中被测圆柱体的直径为2.250cm。
要注意:游标卡尺都是根据刻线对齐来读数的, 所以都不再往下一位估读。

3.螺旋测微器
固定刻度上的最小刻度为0.5mm(在中线的上侧);可动刻度每旋转一圈前进(或后退)0.5mm。在可动刻度的一周上平均刻有50条刻线,所以相邻两条刻线间代表0.01mm。读数时,从固定刻度上读取整、半毫米数,然后从可动刻度上读取剩余部分(因为是10分度,所以在最小刻度后应再估读一位),再把两部分读数相加, 得 测量值。右图中的读数应该是6.702mm。


4.打点计时器
打点计时器是一种特殊的计时仪器,电源用50Hz的交流电,所以打相邻两个点的时间间隔是0.02s。


5.天平
天平使用前首先要进行调节。调节分两步:调底座水平和横梁水平(在调节横梁水平前,必须把游码移到左端零刻度处,左端与零刻线对齐,如图中虚线所示)。测量读数由右盘中砝码和游标共同读出。横梁上的刻度单位是毫克(mg)。若天平平衡时,右盘中有26g砝码,游码在图中所示位置,则被测物体质量为26.32g(最小刻度为0.02g,不是10分度,因此只读到0.02g这一位)。


6.多用电表
使用多用电表时首先应该根据被测物理量将选择开关旋到相应的位置。使用前应先进行机械调零,用小螺丝刀轻旋调零螺丝,使指针指左端零刻线。使用欧姆挡时,还应进行欧姆调零,即将红、黑表笔短接,调节欧姆调零旋钮,使指针指右端零刻线处。欧姆挡的使用:⑴选挡。一般比被测电阻的估计值低一个数量级,如估计值为200Ω就应该选×10的倍率。⑵调零。⑶将红黑表笔接被测电阻两端进行测量。⑷将指针示数乘以倍率,得测量值。⑸将选择开关扳到OFF或交流电压 最高挡。用欧姆挡测电阻,如果指针偏转角度太小,应增大倍率;如果指针偏转角度太大,应减小倍率。

7.电阻箱
右图中的电阻箱有6个旋钮,每个旋钮上方都标有倍率,将每个旋钮上指针所指的数值(都为整数)乘以各自的倍率,从最高位依次往下读,即可得到这时电阻箱的实际阻值。图中最左边的两个黑点是接线柱。若指针所示如图,则阻值为84580.2Ω。

三、重点的学生实验
1.研究匀变速直线运动
图

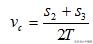
为打点计时器打下的纸带。选点迹清楚的一条,舍掉开始比较密集的点迹,从便于测量的地方取一个开始点O,然后每5个点取一个计数点A、B、C、D …。测出相邻计数点间的距离s1、s2、s3 … 利用打下的纸带可以:
⑴求任一计数点对应的即时速度v:如

(其中T=5×0.02s=0.1s)
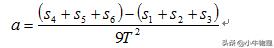
⑵利用“逐差法”求a:

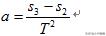
⑶利用上图中任意相邻的两段位移求a:如

⑷利用v-t图象求a:求出A、B、C、D、E、F各点的即时速度,画出如右的v-t图线,图线的斜率就是加速度a。

2.探究弹力和弹簧伸长的关系(胡克定律)
利用右图装置,改变钩码个数,测出弹簧总长度和所受拉力(钩码总重量)的多组对应值,填入表中。算出对应的弹簧的伸长量。在坐标系中描点,根据点的分布作出弹力F随伸长量x而变的图象,从而发确定F-x间的函数关系。解释函数表达式中常数的物理意义及其单位。
该实验要注意区分弹簧总长度和弹簧伸长量。对探索性实验,要根据描出的点的走向,尝试判定函数关系。(这一点和验证性实验不同。)
3.互成角度度两个力的合成
该实验是要用互成角度的两个力和另一个力产生相同的效果,看其用平行四边形定则求出的合力与这一个力是否在实验误差允许范围内相等,如果在实验误差允许范围内相等,就验证了力的合成的平行四边形定则。
4.研究平抛物体的运动(用描迹法)
该实验的实验原理:平抛运动可以看成是两个分运动的合成:一个是水平方向的匀速直线运动,其速度等于平抛物体的初速度;另一个是竖直方向的自由落体运动。利用有孔的卡片确定做平抛运动的小球运动时的若干不同位置,然后描出运动轨迹,测出曲线任一点的坐标x和y,利用

就可求出小球的水平分速度,即平抛物体的初速度。
该试验的注意事项有:

⑴斜槽末端的切线必须水平。
⑵用重锤线检验坐标纸上的竖直线是否竖直。
⑶以斜槽末端所在的点为坐标原点。
⑷如果是用白纸,则应以斜槽末端所在的点为坐标原点,在斜槽末端悬挂重锤线,先以重锤线方向确定y轴方向,再用直角三角板画出水平线作为x轴,建立直角坐标系。
⑸每次小球应从斜槽上的同一位置由静止开始下滑。
5 . 验证动量守恒定律
由于v1、v1/、v2/均为水平方向,且它们的竖直下落高度都相等,所以它们飞行时间相等,若以该时间为时间单位,那么小球的水平射程的数值就等于它们的水平速度。在右图中分别用OP、OM和O /N表示。因此只需验证:m1OP=m1OM+m2(O /N-2r)即可。
注意事项:
⑴必须以质量较大的小球作为入射小球(保证碰撞后两小球都向前运动)。
⑵小球落地点的平均位置要用圆规来确定:用尽可能小的圆把所有落点都圈在里面,圆心就是落点的平均位置。
⑶所用的仪器有:天平、刻度尺、游标卡尺(测小球直径)、碰撞实验器、复写纸、白纸、重锤、两个直径相同质量不同的小球、圆规。
⑷若被碰小球放在斜槽末端,而不用支柱,那么两小球将不再同时落地,但两个小球都将从斜槽末端开始做平抛运动,于是验证式就变为: m 1 OP = m 1 OM + m 2 ON ,两个小球的直径也不需测量了。
6.验证机械能守恒定律
验证自由下落过程中机械能守恒,图示纸带的左端是用夹子夹重物的一端。
⑴要多做几次实验,选点迹清楚,且第一、二两点间距离接近2mm的纸带进行测量。

⑵用刻度尺量出从0点到1、2、3、4、5各点的距离h1、h2、h3、h4、h5,利用“匀变速直线运动中间时刻的即时速度等于该段位移内的平均速度”,算出2、3、4各点对应的即时速度v2、v3、v4,验证与2、3、4各点对应的重力势能减少量mgh和动能增加量

是否相等。
⑶由于摩擦和空气阻力的影响,本实验的系统误差总是使

⑷本实验不需要在打下的点中取计数点。也不需要测重物的质量。
7.用单摆测定重力加速度
摆长的测量:让单摆自由下垂,用米尺量出摆线长L/(读到0.1mm),用游标卡尺量出摆球直径(读到0. 1mm)算出半径r,则摆长L=L/+r
开始摆动时需注意:摆角要小于5°(保证做简谐运动);不要使摆动成为圆锥摆。
必须从摆球通过最低点时开始计时,测出单摆做50次全振动所用时间,算出周期的平均值T。
改变摆长重做几次实验,计算每次实验得到的重力加速度,再求这些重力加速度的平均值。
8用描迹法画出电场中平面上等势线
实验所用的电流表是零刻度在中央的电流表,在实验前应先测定电流方向与指针偏转方向的关系:将电流表、电池、电阻、导线按图1或图2 连接,其中R是阻值大的电阻,r是阻值小的电阻,用导线的a端试触电流表另一端,就可判定电流方向和指针偏转方向的关系。
该实验是用恒定电流的电流场模拟静电场。与电池正极相连的A电极相当于正点电荷,与电池负极相连的B相当于负点电荷。白纸应放在最下面,导电纸应放在最上面(涂有导电物质的一面必须向上),复写纸则放在中间。

9.测定玻璃折射率
实验原理:如图所示,入射光线AO由空气射入玻璃砖,经OO1后由O1B方向射出。作出法线NN1,则折射率
n=Sinα/Sinγ
注意事项:手拿玻璃砖时,不准触摸光洁的光学面,只能接触毛面或棱,严禁把玻璃砖当尺画玻璃砖的界面;实验过程中,玻璃砖与白纸的相对位置不能改变;大头针应垂直地插在白纸上,且玻璃砖每一侧的两个大头针距离应大一些,以减小确定光路方向造成的误差;入射角应适当大一些,以减少测量角度的误差。

10.伏安法测电阻
伏安法测电阻有a、b两种接法,a叫(安培计)外接法,b叫(安培计)内接法。外接法的系统误差是由电压表的分流引起的,测量值总小于真实值,小电阻应采用外接法;内接法的系统误差是由电流表的分压引起的,测量值总大于真实值,大电阻应采用内接法。如果无法估计被测电阻的阻值大小,可以利用试触法:如图将电压表的左端接a点,而将右端第一次接b点,第二次接c点,观察电流表和电压表的变化,若电流表读数变化大,说明被测电阻是大电阻,应该用内接法测量;若电压表读数变化大,说明被测电阻是小电阻,应该用外接法测量。(这里所说的变化大,是指相对变化,即ΔI/I和ΔU/U)。
(1)滑动变阻器的连接
滑动变阻器在电路中也有a、b两种常用的接法:a叫限流接法,b叫分压接法。分压接法被测电阻上电压的调节范围大。当要求电压从零开始调节,或要求电压调节范围尽量大时应该用分压接法。用分压接法时,滑动变阻器应该选用阻值小的;用限流接法时,滑动变阻器应该选用阻值和被测电阻接近的。

(2)实物图连线技术
无论是分压接法还是限流接法都应该先把伏安法部分接好;对限流电路,只需用笔画线当作导线,从电源正极开始,把电源、电键、滑动变阻器、伏安法四部分依次串联起来即可(注意电表的正负接线柱和量程,滑动变阻器应调到阻值最大处)。

对分压电路,应该先把电源、电键和滑动变阻器的全部电阻丝三部分用导线连接起来,然后在滑动变阻器电阻丝两端之中任选一个接头,比较该接头和滑动触头 两点 的电势高低,根据伏安法部分电表正负接线柱的情况,将伏安法部分接入该两点间。

(3)描绘小电珠的伏安特性曲线
因为小电珠(即小灯泡)的电阻较小(10Ω左右)所以应该选用安培表外接法。
小灯泡的电阻会随着电压的升高,灯丝温度的升高而增大,所以U-I曲线不是直线。为了反映这一变化过程,灯泡两端的电压应该由零逐渐增大到额定电压。所以滑动变阻器必须选用分压接法。在上面实物图中应该选用右面的那个图,开始时滑动触头应该位于左端(使小灯泡两端的电压为零)。

由实验数据作出的I-U曲线如右,说明灯丝的电阻随温度升高而增大,也就说明金属电阻率随温度升高而增大。(若用U-I曲线,则曲线的弯曲方向相反。)
若选用的是标有“3.8V 0.3A”的小灯泡,电流表应选用0-0.6A量程;电压表开始时应选用0-3V量程,当电压调到接近3V时,再改用0-15V量程。
11.把电流表改装为电压表
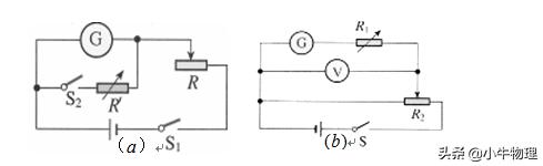
⑴、用图(a)测定电流表内阻rg,方法是:先断开S2,闭合S1,调节R,使电流表满偏;然后闭合S2,调节R/,使电流表达到半满偏。当R比R/大很多时,可以认为rg=R/。(当 R 比 R /大很多时,调节 R /基本上不改变电路的总电阻,可认为总电流不变,因此当电流表半满偏时,通过R/的电流也是满偏电流的一半,两个分路的电阻相等)。实际上, S 2闭合后,总电阻略有减小,总电流略有增大,当电流表半满偏时,通过 R /的电流比通过电流表的电流稍大,即 R /比 r g稍小,因此此步测量的系统误差,总是使 r g的测量值偏小。其中R不必读数,可以用电位器,R/需要读数,所以必须用电阻箱。
根据rg、Ig和扩大后的量程,计算出需要给电流表串联的电阻R1的值。

⑵、用(b)图把改装的电压表和标准电压表进行校对。校对要每0.5V校对一次,所以电压要从零开始逐渐增大,因此必须选用分压电路。
百分误差的计算:
如果当改装电压表示数为U时,标准电压表示数为U / ,则这时的百分误差为|U-U / | / U /。
如果校对时发现改装电压表的示数总是偏大,则应该适当增大R1的阻值(使表头的分压减小一些),然后再次重新进行校对。
12.测定金属的电阻率
被测电阻丝的电阻较小,所以选用电流表外接法;本实验不要求电压调节范围,可选用限流电路。因此选用上面左图的电路。开始时滑动变阻器的滑动触头应该在右端。本实验通过的电流不宜太大,通电时间不能太长,以免电阻丝发热后电阻率发生明显变化。
13用电流表和电压表测电池的电动势和内电阻
根据闭合电路欧姆定律:E=U+Ir,本实验电路中电压表的示数是准确的,电流表的示数比通过电源的实际电流小,所以本实验的系统误差是由电压表的分流引起的。为了减小这个系统误差, 电阻R的取值应该小一些,所选用的电压表的内阻应该大一些。
为了减小偶然误差,要多做几次实验,多取几组数据,然后利用U-I图象处理实验数据:将点描好后,用直尺画一条直线,使尽量多的点在这条直线上,而且在直线两侧的点数大致相等。这条直线代表的 U-I 关系的误差是很小的。它在U轴上的截距就是电动势E(对应的I=0),它的斜率的绝对值就是内阻r。(特别要注意:有时纵坐标的起始点不是0,求内阻的一般式应该是 r =| ΔU / ΔI |)。
为了使电池的路端电压变化明显,电池的内阻宜大些。(选用使用过一段时间的1号电池)


14.用多用电表探索黑箱内的电学元件
设定黑箱上有三个接点,两个接点间最多只能接一个元件;黑箱内所接的元件不超过两个。
测量步骤和判定:
⑴用直流电压挡测量,A、B、C

三点间均无电压;说明箱内无电源。
⑵用欧姆挡测量,A、C间正、反接阻值不变,说明A、C间有一个电阻。⑶用欧姆挡测量,黑表笔接A红表笔接B时测得的阻值较小,反接时测得的阻值较大,说明箱内有一个二极管,可能在AB间,也可能在BC间,如右图中两种可能。
⑷用欧姆挡测量,黑表笔接C红表笔接B测得阻值比黑表笔A红表笔接B时测得的阻值大,说明二极管在AB间。所以黑箱内的两个元件的接法肯定是右图中的上图。
