
通过定价模型,投资者可以确定股票的内在价值,然后比较股票的内在价值与市场价格的差距,最后做出股票投资的选择。因此,股票定价是股票投资理论的一个重要组成部分。
一、股票的价值
在第一章中我们已经介绍了股票价格的几种类型,而价格与价值有着本质的区别。价值是价格的基础,对价格起决定作用,价格始终围绕着价值上下波动,价格偏离价值太大就出现价值的回归。价值与价格两者也不是完全一致的,在实际情况中两者一致只是一种偶然情况,不一致是经常现象。股票价值与股票价格也不例外,同样遵守这条价值规律。用本章所讲的股票价值通常是用会计方法计算出来的数值。股票价值的表示通常有以下几种:
(一)每股账面价值
每股账面价值是资产负债表上的公司资产净值与发行在外的普通股股数的比值,是一种常用的股票价值评估方法。
由于账面价值是会计方法计算的结果,其数字准确程度较高,可信度较高,所以它是股票投资者评估和分析上市公司经营实力的重要依据之一。股票的每股账面价值越高,代表着股东实际所拥有的财产就越多,每股含金量也越高,通常投资价值也越高;反之,每股账面价值越低,股东拥有的财产就越少,每股含金量也越低,通常投资价值也越低。股票的每股账面价值还反映了股票的净资产含量。每股账面价值越高,反映出净资产含量越高,公司自身所拥有的资产就越大,抗拒各种风险的能力也就越强。每股账面价值虽然只是一个会计概念,但它可以矫正由于投机等因素而造成的股票价格的虚幻,是股票价格产生的直接依据,对投资者进行投资分析具有较大的参考作用。
但是运用每股账面价值来进行股票估价存在缺陷。首先,账面内的资产项目,如厂房、机械设备、土地等固定资产项目,其账面价值通常并不等于其市价;其次,每股账面价值是运用会计准则,将资产的购置成本分摊到一定年限的结果,而股票的市场价值则是把公司当做一个持续经营的实体,反映出公司预期的未来现金流量的贴现值。在通常情况下,每股账面价值与每股市场价值是不相等的。如果公司股票的市场价格高于其账面价值,并不代表公司股票被高估了。在很多情况下,公司股票的市场价格要高于其每股账面价值,但也有例外的情况。因此,每股账面价值并不总是股票市场价格的底线,在投资分析中还要与其他指标结合使用。
(二)清算价值
清算价值是指公司破产后,将其资产项目分别出售,而后以出售所得资金清偿所有债务后所剩余的资金,该部分资金属于股东所有。公司的清算价值与发行在外的普通股数量的比值就是每股清算价值。相对于每股账面价值来说,每股清算价值更好地反映了公司股票市场价格的底线。从理论上讲,股票的清算价值应当与每股账面价值相等,但公司在破产清算时,其资产价值是以实际销售的价格计算的,而在进行资产处置时,其售价一般都低于实际价值,所以清算价值一般要小于账面价值。如果公司的清算价值高于其市值,该公司通常会成为被收购接管的目标。公司并购者可以收购该公司的大量股票,取得公司的控制权,进而直接清算该公司,从中获利。股票的清算价值只是在公司因破产或其他原因丧失法人资格而进行清算时才被作为确定股票价格的根据,在股票发行和流通过程中没有什么意义。
(三)内在价值
股票的内在价值是在某一时刻股票的真正价值,是股票未来收益的折现值,它也是股票的投资价值。计算股票内在价值的方法有很多种,一般采用折现法和相对指标法。折现法是把股票未来的股利收益按一定的折现率折算成现值。但由于上市公司的寿命期、每股税后利润及社会平均投资收益率等都是未知数,所以股票内在价值较难计算,在实际应用中,一般都采用预测值。相对指标法是使用与股价相关的相对指标来对其进行定价。内在价值说明的是股票按其正常的获利能力应该处在什么价位。股票的内在价值对股票市场价格产生制约,但并不能完全决定市场价格。计算内在价值是为了研判股票的实际投资价值,判断市场价格是否具有合理性。
(四)重置成本
重置成本是指重置公司各项资产的价值,扣除负债项目后的净值。公司的重置成本可以较好地反映公司的市场价值,尤其在通货膨胀的情况下。用重置成本来评估股票的价值也存在一些缺陷,即它忽略了某些决定公司价值的重要因素,如公司的盈利前景等。一般来说公司的重置成本不应低于其市场价值。如果重置成本低于市场价值,投资者可以重置该公司,然后以市场价值出售,从中获利。如果有许多投资者采用该策略,将会降低行业所有公司的市场价值并提高重置成本,直至公司市场价值等于重置成本。
按照托宾对公司重置成本与公司市场价值关系的研究,得出公司市场价值与其重置成本的比率就是著名的托宾q值,用公式表示为:

托宾对q比值的研究结论如下:如果q>1,表明公司资本设备的价值高于其重置成本,这会对公司起到激励作用,促使公司追加对资本设备的投资;如果q约等于1,表明公司资本设备的价值与其重置成本相差不大,这对公司追加资本设备投资的激励作用接近于零;如果q<1,表明公司资本设备的价值低于其重置成本,公司没有进行资本投资的意愿。
二、股票的定价模型
虽然每股账面价值、清算价值和重置成本为股票定价提供了一定的信息,但只靠这些做出投资决策还很不够,投资者还要预测公司未来的现金流量,对股票的内在价值进行更准确的评估。下面向投资者介绍常用的一些股票定价模型。
(一)现金流贴现模型
现金流贴现模型是把未来的现金流入,包括股息、经营现金流和自由现金流等,按照投资者所要求的收益率贴现成现值。
1.股息贴现模型
股票属于金融资产,收入的资本化定价方法也可用于股票内在价值的确定。由于股票的股息是未来时期的预期值,必须按照一定的贴现率折现成现值,才可得到股票定价的股息贴现的基本定价模型。
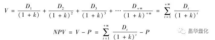
令V为股票期初的内在价值,Dt为未来时期t以现金形式表示的每股股利,k表示一定风险程度下现金流合适的贴现率(必要收益率),并假设在整个时期内贴现率固定不变,NPV为净现值,P为期初(t=0)购买成本,则现金流贴现模型的基本公式为:

如果NPV>0,意味着所有预期的现金流入的现值之和大于投资成本,即该股票的价值被低估了,因此购买这种股票是可行的。
如果NPV<0,意味着所有预期的现金流入的现值之和小于投资成本,即该股票的价值被高估了,因此不可购买这种股票。
设在此基本定价模型下的内部收益率为k*,所谓的内部收益率是指投资净现值等于零时的贴现率。即

由上述公式就可求出内部收益率k*。然后把k*与具有同等风险水平的股票的必要收益率k进行比较,如果k*>k则可考虑购买该股票;如果k*<k则不购买该股票。
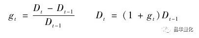
运用现金贴现模型决定股票的内在价值存在两大问题,一是如何确定未来时期支付的股息,二是如何确定必要收益率。必要收益率可以用资本资产定价模型的方法近似求得,但是股息就没那么容易确定。因为股票没有一个固定的生命周期,股息流在无穷多个时期内产生,为了便于计算内在价值,要给股息流附加一些假定。这些假定是关于股息增长率gt的。gt的计算公式是:

采用不同的假设或者说采用不同的股息增长率,就派生出不同类型的股息贴现模型。
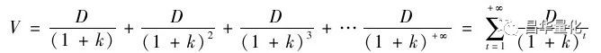
(1)零增长模型:假设gt=0
零增长模型是指每年股利增长率gt均等于0,也就是股息固定不变时股票的内在价值计算模型。计算公式如下:
=0,所以令在未来无限期每年股利都相等,均为D,那么股票内在价值:因为gt

因为k>0,由数学中的等比数列和无穷级数的知识,可得

例5-1 假定某公司在未来无限时期支付的每股股利为1元,必要收益率为10%,用零增长模型计算,该公司每股股票的价值等于1÷0.1=10元,若市场价格为20元,每股NPV等于10-20=-10元,说明该股票被高估10元,应该沽出该股票。
该模型下的内部收益率k*=D/P0,其中P0为期初购买成本价。内部收益率为k*=1÷20=5%。由于该股票的内部收益率小于其必要收益率(5%<10%),说明该公司股票价格被高估了。
零增长模型的前提假设是每期股息是固定不变的,这显然是合理的,但在特定的情况下,如在决定优先股的内在价值以及分红派息比较稳定的普通股定价分析时,股息是基本稳定的,因此这种模型依然是有用的。
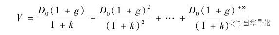
(2)不变增长模型:假设gt=g
不变增长模型是指每年股利增长率等于一个固定常数g时股票的内在价值计算模型。计算公式如下:
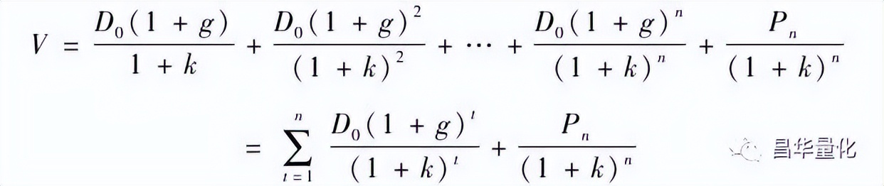
股利每期按固定的比率g增长,期初股利为D0,其余各期的股利分别为D1,D2,……,Dn,……
则有:D1=D0(1+g),D2=D1(1+g)2,……,D+∞=D0(1+g)+∞
股票的内在价值计算公式为:

假设g<k,根据等比数列和无穷级数的性质得:

一般投资者不是无限期持有该股票,则在持有期为n的情况下,不变增长模型可表示为:

其中,Pn为第n期该股票的出售价格。
例5-2 假定某公司去年每股股利为2元,预计在以后的年份该公司的股利按每年5%的速度增长,必要收益率为10%。预期下一年度股利等于2×(1+0.05)=2.1元,股票的内在价值为2.1÷(0.1-0.05)=42元。如果当今股票价格为30元,因此股票被低估了12元钱,建议投资者购买该股票。
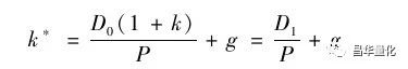
该模型下的内部收益率的计算公式为:

运用到例5-2中,该股票的内部收益率为:

由于公司股票的内部收益率大于其必要收益率10%,说明该股票价值被低估了。
从上述计算公式可以看出,零增长模型实际是不变增长模型的一个特例。假定增长率g=0,这时不变增长模型就是零增长模型。
零增长模型和不变增长模型都是为了使问题简单化,而做出一些假设,在许多情况下是不现实的。为了更好地描述现实情况,人们又提出了多阶段增长模型。
2.经营现金流贴现法
现金流量是指现金及现金等价物的流入及流出,是企业现金的动态反映。经营现金流量是指反映公司经营活动(包括销售商品和提供劳务)所产生的现金流量,但不反映筹资性支出、资本性支出或净营运资本的变动额。通常是在扣除公司直接成本和费用后尚未发生资本支出之前的现金流。基本计算公式是:
经营现金流=营业收入-现金支付的营业成本费用-所得税=息税前利润+折旧-所得税
由于经营现金流可用于资本性开支,因而贴现率应使用加权平均资本成本。加权平均资本成本计算公式如下:

其中,WE——股权在总资产中所占的比重;
WD——债务在总资产中所占的比重;
k——股权的税后成本;
i——债务的税后成本。
经营现金流贴现模型可用于不同资本结构公司之间的比较。由于该模型估计的是公司价值,因而在计算股权价值时要扣除债务价值。公司总价值计算公式如下:

其中,V——公司的价值;
OCFt——第t期的经营现金流;
WACC——公司的加权平均资本成本;
n——公司存在的有限时期数。
上述公司只是一般形式。如果假设公司永远存在下去,而且经营现金流量稳定增长,其增长比率为g,则上述模型变为:

其中,OCF1——公司在第一期的经营现金流;
g——经营现金流长期不变的增长比率。
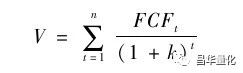
3.自由现金流贴现模型
Jensen将自由现金流量定义为企业在“满足所有以相关的资金成本折现的净现值为正的所有项目所需资金后剩余的现金流量”。自由现金流其实就是公司税后营业现金流扣除当年追加的投资金额后所剩余的资金。其计算公式是:
自由现金流=息税前利润+折旧-所得税-资本性支出-营运资本净增加额+(发行的新债-清偿的债务)=经营活动现金流量-(资本性支出+营运资本净增加额)+(发行的新债-清偿的债务)
自由现金流之所以称为“自由”是因为它是在满足所有义务和维持正常资产后剩下的现金流。该现金流可以全部向股东发放,因而贴现率使用的是股权成本。股权成本使用投资者所要求的收益率。公司价值的计算公式如下:

其中,FCFt——第t期的自由现金流;
k——股权的税后成本。
该模型也可以按照公司的自由现金流增长的速度和公司存在的期限等派生出很多模型,但基本原理与股息贴现模型相同,在此不再赘述。
(二)相对评价法
现金流贴现模型主要是靠所估计的贴现率和公司增长率来估计股票的价值。与现金贴现方法不同,相对评价法主要依靠一些与价格有关的比率进行不同公司之间的比较,进而估计股票的价格。这些比率主要有市盈率(P/E)和价格与账面价值比率(P/BV)等。
1.市盈率定价
在股票定价中,市盈率(P/E)也是一种常用的定价方法,在实际操作中作用更大。市盈率又称价格收益比,是每股价格与每股收益的比率,即每股价格除以每股收益。这样股票价格就可以有股票的市盈率和每股收益的乘积求得。这种股票定价方法就是市盈率定价法。市盈率用来衡量投资者愿意为一元的预期收益(通常以所估计的下一年收益来代替)支付多高的价格,它反映了投资者对该股票价值的主要看法。投资者往往通过与整个市场的平均市盈率、行业平均市盈率或其他类似公司的市盈率相比较,以确定该股票市盈率的高低。如果该股票市盈率较低,投资者认为该股票价值低估,可以买进获取超长收益。此定价方法在下面还要详介绍。
2.价格与账面价值比率
在分析银行业的相对价值时,价格与账面价值比率被市场中大多数投资者和证券分析师所采用。银行的账面价值是其内在价值的典型代表,因为银行*款贷**等的价值都等于其账面价值。该比率计算公式是:

其中,Pt——在第t期的股票价格;
BVt+1——在第t+1期的每股账面价值。
上述公式最大的不足之处在于BVt+1没有现成的数据代入。在使用该模型时,投资者可以使用每股账面价值的历史增长率进行估计。
(三)优先股的定价模型
优先股在发行时就事先确定了股利支付的时间和数额。优先股股东可以定期取得确定数额的现金股利。与债券相比,优先股没有明确的到期期限,因而优先股类似于永续年金。此外,优先股的股息支付要在公司支付债券利息之后,因而优先股股利没有债券利息那么稳定。所以投资者通常要求优先股具有比债券较高的收益作为补偿。
优先股可以看作是一种永续年金,其定价公式是:
其中,D——股息;

K p——投资者对优先股要求的收益率。
例5-3 假定一优先股面值为100元,每年支付8元的股利。由于通货膨胀、股利支付的不确定性等原因,投资者对该优先股可能要求有9%的收益率。那么,优先股的价值为8÷0.09=88.89元。如果优先股当前市场价格为95元,投资者不应购买;如果当前市场价格为80元,投资者可以买进。