

实数可以分成有理数和无理数两大类,判断一个常数是有理数还是无理数是非常困难的。早在二百多年前,Euler 就证明了 e 是一个无理数,然而时至今日,人们仍然不知道 π +e 和 π^e 是否是无理数。自然常数 e 和圆周率 π 一样, 也是数学中一个重要的常数. 之所以被称为自然常数, 是因为 e 经常出现在自然界各种增长率和变化率的数学描述中. 它的定义有很多, 常用的有下述极限形式

以及幂级数形式

通过简单的计算可知 e = 2.71828···. 在历史上人们感兴趣的是, 自然常数 e 是一个什么样的数呢? 它是有理数还是无理数? 如果是无理数的话, 又是代数的无理数还是超越数?
1744 年, 瑞士大数学家欧拉 (Euler, 1707-1783) 首先证明了 e 是无理数. 应读者要求,这里我们给出 e 是无理数的一个证明。证明过程简单而巧妙,数学之美在这里体现的淋漓尽致。更为幸运的是,证明过程是非常初等的,以至于绝大多数人都有机会享受到数学的美妙。
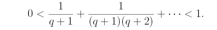
假设 e 是有理数 p/q,这里 p 和 q 是整数,则由 (1.47) 可知

显然上式左端是整数,并且等式的右端的前几项(j ≤ q 的项)也是整数,所以剩余的项

也是整数。但是,我们不难证明

矛盾!这里我们用到了无理数和超越数理论中的一个强有力的原理:非零整数的绝对值至少为 1.
关于无理数的判断问题,数学中还有几个有趣而神秘的猜想。所谓神秘是指它竟然和黎曼猜想中的 ζ 函数有关。目前,人们已经知道 ζ(3),ζ(5),ζ(7),··· 中有无穷多个无理数,而且多数数学家坚信所有的这些数都应该是无理数,然而对于某一个确定的 ζ(k),k 是奇数,人们仍然无法严格判断它是否无理。现在能够严格证明的结果是:ζ(3) 是一个无理数。
要想感受无理数的神秘, 我们还需要了解比无理数更加“无理”的超越数。1844 年,人们首次发现了超越数的存在。自然常数 e 的超越性是法国数学家厄尔米特在 1873 年首先证明的。在有关数的研究史上, 这是一项了不起的成就, 它极大的推动了超越数论的发展, 为以后 π 的超越性证明奠定了基础. 和无理数类似,超越数竟然也和 ζ 函数有着密切的关系。ζ(2),ζ(4),ζ(6),··· 都是超越数。也就是说,ζ 函数在正整数上的取值全体,竟然是无理数和比无理数更加“无理”的超越数,实在是巧妙至极,或许打开黎曼猜想大门的钥匙,就隐藏在无理数和超越数中。
超越数理论中也有很多漂亮的问题,这里仅给出一个“简单”而有趣的猜想(四指数猜想), 如果哪位同学愿意通过脑力发财致富,尝试解决这一问题不失为一个好的选择之一。如果 a1 ,a2 是两个线性无关的复数,b1 ,b2 也是两个线性无关的复数,则

中至少有一个是超越数。
For more details and discussions, W e C h a t
