
1. 前言
出行前对行驶路线进行规划,衡量车辆剩余电量能否满足出行要求是驾驶员上车后的首要工作,如何计算汽车能量消耗以及汽车的续驶里程是本文将要论述的内容。

纯电汽车的续驶里程分为两类:标定续驶里程以及实际续驶里程。标定续驶里程是以指定循环工况在规定工况下所能行驶的最长距离。实际续驶里程是指实原运行过程,车辆在电池满电状态运行至电池截止电压过程中,车辆接连行驶的最大距离。由于车辆运行过程中,车辆动力电池并不一定处于充满状态,将车辆在当前电量下(SOC不足100%时)所能行驶的里程称为剩余续驶里计算。
在运行过程中影响车辆续驶里程的因素多种多样,大体上可归纳为3类:
1.驾驶员操纵特性,不同的驾驶员操纵会使车辆呈现不同的行驶状态,受驾驶员自身性格、驾驶经验的影响不同驾驶风格驾驶员的操纵特性会使车辆续驶里程相差较大。
2.车辆自身参数,如车辆自身结构(本身重量、额外载重、迎风面积、空阻系数等)、零部件性能参数(电池容量、内阻、充放电倍率等、轮胎、传动系统等)都会影响车辆的续驶里程。
3.道路环境,道路条件、交通状况影响着车辆的行驶速度、车辆需求扭矩,车辆速度、扭矩不同,车辆受到行驶阻力不同,天气、湿度影响着车轮摩擦系数,温度影响着电池极性材料的活性、纯电动车辆润滑油粘度,空调等附件的输出功率。
2. 剩余放电能量、续驶里程
对于整车来说,人们往往关注的是续驶里程,续驶里程与剩余放电能量息息相关。关注剩余放电能量往往离不开两个两个电池状态信息,分别为电池的功率能力和剩余放电能量。电池功率能力对应车辆的加速爬坡能力和制动能量回收能力,而剩余放电能量是对应车辆的续驶里程。
电池的剩余放电能量对应从当前时刻开始直至电池电量耗尽的过程中,电池累计能提供的能量。与其他电池状态估计问题相比,剩余放电能量问题对应的时间范围和电池SOC运行范围很宽,影响因素较多,需要进行综合考虑。
电池的剩余放电能量受到未来放电过程的电压变化和剩余放电容量的影响,需要一个准确的电池模型进行电池电压和SOC估计。由于电池剩余能量对应整个放电过程,因此对应的电池模型需要在全SOC范围内保持电压估计精度。
作为电化学元件,电池的使用性能受环境温度的影响很大。电池在不同温度下的内阻参数和可用容量相差较大,影响放电效率和剩余能量剩余放电能量。在电池充放电过程中,电池温度会随自身产热而变化,导致电池参数和放电性能的变化。因此在实车运行过程中,有必要对电池的产热进行分析,预测未来过程的温度变化,才能保证剩余放电能量的估计精度。
以基于电压、SOC和温度等电池状态估计结果,可以对电池剩余放电能量进行预测,其中常用的方法是将剩余放电能量直接与SOC对应。然而电池剩余放电能量受很多因素的影响,而实车使用中运行条件变化较多,使得基于SOC的方法很难保证剩余放电能量的计算精度。为了提高电池能量预测精度,需要对电池未来的放电过程进行更细致的预测,考虑放电过程中的电池状态和参数的变化过程,得到精确的剩余放电能量结果。
3. 续驶里程计算方法
第二小节目的为说明剩余放电能量与汽车续使历程之间必要的联系,虽然它们经常混为一谈,但他们实际并不代表一个意思,由于本文重点旨在如何计算汽车能量消耗以及汽车的续驶里程,因此假定得到的电池SOC值为准确的值。
传统汽车根据油箱内剩余的汽油数量和当前油耗计算出剩余汽油还能行驶多少公里,根据此原理,计算纯电动汽车剩余续驶里程。
1.首先根据平均功耗法计算平均能耗,方法可分为按照时间累积和按照里程累积。选取按照一定的行驶里程累积为例来计算剩余续驶里程。首先获取一定行驶里程ΔS(km)内车辆所消耗的能量ΔE(kWh);再计算出此时车辆的平均能耗 AvePC((kWh)/km);最后用剩余能量以及平均能耗计算出剩余续驶里程。其具体表达式如下:

式中,Etotal为车辆上电时的总能量(kWh)。
若车辆完成下电流程后存在充电,则车辆再次上高压时的剩余续驶里程由当前BMS估算的SOC来计算,其具体表达式如下:

式中,SOC为电池荷电状态;SOH为电池健康状态;C为电池的额定电量(kWh);U为电池电压(V);AvePC_Init为初始时车辆的平均能耗((kWh)/km),即根据车辆在指定行驶工况下的平均行驶里程得出的平均能耗。
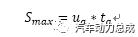
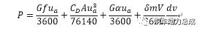
若以匀速工况的平均能耗,计算电动汽车的平均能耗首先要计算运动过程中所需求的功率,设定汽车以匀速ua行驶在平坦的道路上所需功率为:

设定车辆平均能耗不变,因车速恒定,从而得出该车辆按照车速为ua行驶的总时间为:

因此,在匀速行驶下的总里程为:

AvePC_Init平均能耗为,

若以循环工况的平均能耗计算,则在进行循环工况测试时,需要按照指定的行驶工况一直循环行驶,直到动力电池放电电量达到截止值为止。设定所选取的循环工况总行驶时间为t0,任意时刻的车速为u(t),根据以下公式得出电池组功率的变化,

即在一个完整循环工况下所消耗的能量为。

在该工况下所能行驶的工况个数n为,

单个循环工况下汽车行驶的里程S1为

因此可计算该循环工况下的续驶里程和平均能耗分别为:

2.若以循环迭代计算剩余续驶里程,按照每行驶1km仪表更新一次剩余续驶里程,其平均能耗按照每循环迭代10km计算一次。每行驶1km更新一次剩余续驶里程是为了提高显示剩余续驶里程的精度;一般一个标准循环工况的里程为10km左右,因此,采用10km能更准确的得到真实平均能耗。在循环迭代过程中,根据已经行驶的里程未满10km和已经超过10km采用不同的计算方法,其具体方法如下,
若行驶里程未满10km,当车辆的实际行驶里程低于10 km时需要人为累加至10 km来计算平均能耗。设定当前已经行驶的里程数为Sa,已经消耗的能耗为Ecost_all,式中,U、I分别为电池包电压和电流。

还需要弥补的公里数为(10—Sa)km。此时10km的总能耗如式所示,

因此,该时刻的平均能耗和剩余续驶里程分别为:

若行驶里程超过10km,当实际行驶里程超过10km时,每行驶1km获取最近一个片段10km的数据,即采用循环迭代的方法,每行驶1km就舍弃最后1km数据,新增最近一次1km数据,始终保持一个最新的10km片段数据。设定当前一个10km片段数据的起始时间分别为:t1、tn,则已经消耗的总能耗和该片段消耗的能耗分别为:

因此,该时刻的平均能耗和剩余续驶里程分别为:

4. 一种基于工况识别的剩余续使历程估计
由于不同的工况类型影响汽车剩余续驶里程估计,在此介绍一种基于工况识别的剩余续驶里程估计方法,具体的估计算法图如图所示。

图中的黄框部分为离线部分,主要是计算各类典型工况的单位里程电耗(kW.h),白框部分为在线部分,主要包括工况识别和基于工况识别结果实时计算剩余续驶里程。算法中最关键的就是单位里程电耗的计算,为了更好地反映车辆行驶电耗的最新变化,采用调整当前行驶工况的单位里程电耗与历史单位里程电耗的权值的方法,即当前时刻路段工况类型平均电耗采用较大的权重,而历史单位里程电耗采用较小的权重,计算公式如下:

其中,av代表单位里程电耗,ℎ代表历史单位里程电耗,代表当前工况单位里程电耗,ℎ代表历史单位里程电耗的权重,代表当前工况单位里程电耗的权重,再参考一些文献后发现,大体上取值在[0.5,0.6]之间,ℎ代表取值在[0.38,0.45]之间。
首先将标准工况数据通过系统聚类算法聚成3类(由于汽车行驶工况数据特征,选用基于层次的分裂聚类算法),再将国内外常用的28种标准工况(可以使用MATLAB工具箱ADVISOR导出)作为原始分析数据,以平均速度、最大速度、0-30km/h车速占比、30-70km/h车速占比、平均加减速度、最大加减速度、停车总次数、行驶距离等明显参数特征作为描述工况信息。
聚类结果如下图,其中纵向为28种工况类别,水平为工况差异性大小。

根据交通状况及汽车行驶区域不同的特点可知标准循环工况类型无外乎以下三类,市区拥堵工况类型,城市城郊工况类型以及高速工况类型,每种工况的特点如下。
1.市区拥堵工况:这种工况主要由城市车辆在上下班高峰期行驶数据组成,由于城市中红绿灯以及车辆拥堵的缘故,汽车呈现走走停停、速度很小、加速度减速度较小的特点。
2.城市城郊工况:这种工况主要由汽车在城镇城郊或者市区内车辆很少的时候的行驶数据组成,此时红绿灯和汽车数量较少,车间距较大,汽车停车次数较少,速度、加速度等对比市区拥堵工况都有较大提升。
3.高速公路工况:这种工况主要是由汽车在高速公路上的行驶数据组成,汽车在高速公路上行驶时,速度基本会超过 100km/h,速度较高,加减速频率较低,几乎不会停车。
3类典型工况输入到整车模型中计算每类工况的单位里程平均电耗,kWh,
具体结果见表。

然后获取汽车行驶中最近的120s片段对其进行工况识别确定其工况类型,计算行驶过程中所消耗的总电耗,再通过速度积分求出汽车已经行驶的路程,进而通过相除求出历史单位里程电耗,并结合当前工况单位里程电耗和相应的权重求出能动态反映工况变化单位里程电耗,最后通过动力电池剩余能量和单位里程电耗相除得到剩余续驶里程。
注: 文章中引用数据和图片来源网络
您的点赞留言,是我们的最大动力!
赞助广告:
