在作文中,往往用真情实感所表达出来的内容更加让人为之动容,只要在用词,语句上没有太大的错误,通常都会获得高分。
一篇好的作文离不开学生日常生中关于 好词好句的积累 , 更离不开日常生活中的所见所闻,以及对事情所包含的自己的看法。

小学生的作文通常都是以记叙一件事情为主 ,然后需要表达出自己对这件事情的看法。小学生心思单纯 ,往往看到什么就写什么,通常作文内容都相对真实。
老师们在批阅学生的作文时,常常会因为学生 超越年龄的文采 而为之鼓掌;也会因为作文中 稀奇古怪的观点 而笑得前仰后合;当然也会因为学生对 故事的情感表达而感动落泪 。

小学生获奖作文《过期的牛奶》,结局反转太突然,老师也为之落泪
小学生在写作文的时候, 通常会以主观的视角直叙事情的起因、经过、结果 ,这名小学生通过不经意间喝到了“过期的牛奶”讲述了一个他和奶奶之间的故事。奶奶干活的时候,别人给了她一罐牛奶,但是却一直没喝。

这一天小孙子来看望奶奶,随手就把桌子上的牛奶喝了,但是味道却不对。他跑去问奶奶,奶奶却说,本来想留给你的,没想到你这么久都没来。这名小学生的作文中, 一个“爱”字都没有提到,却把奶奶对孙子的爱通过文字展现得淋漓尽致。如此突然的反转,就连老师看完也不禁为这份为默默的爱而感动,难怪作文会获奖。

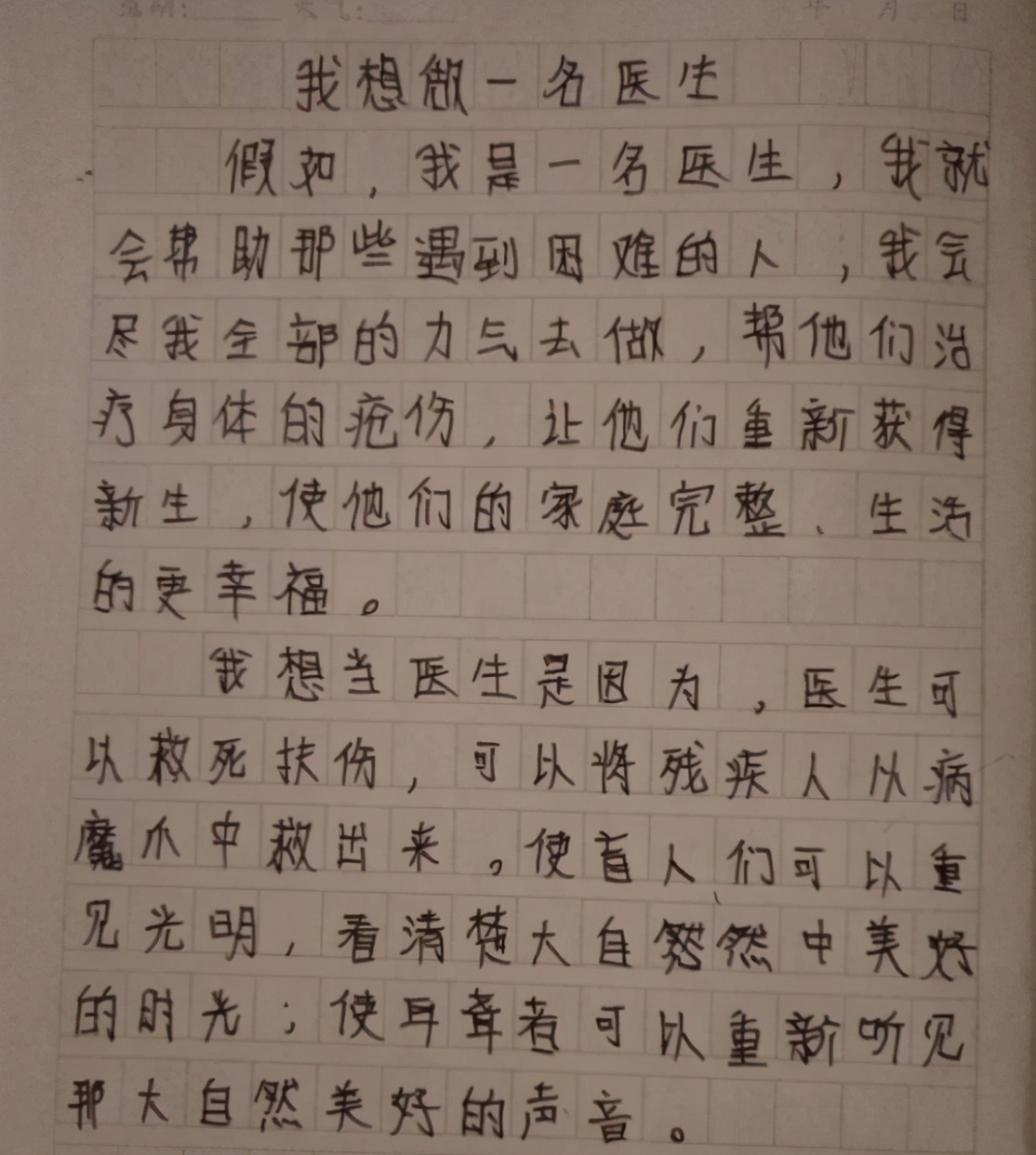
作文并不仅仅可以用来表达情感,也可以用来说明一些道理 。这名小学生的满分作文《热死了》,通过对科学和神话故事的反应, 说明了科技进步为人们所带来的方便 ,用词用语表达大胆,连老师都为之鼓掌,丰富的知识积累更是让老师夸赞。

在作文中也会经常用到一些表现手法, 如比喻、拟人、排比等都是既好用又有很好的表达效果的方式 ,这名同学在《夏天来了》这篇作文中, 写到“荷花探出头来”就用了拟人的手法, 增强了作文表达的生动性,成了作文的点睛之笔, 让人感觉眼前一亮 ,给人以身临其境的感受。
学生们之所以能写出这样精彩绝伦的作文, 离不开老师的悉心教导,家长的用心培养,和自身的努力练习, 那么要写好一篇作文,究竟要做到哪几方面呢?

如果想要作文变得精彩吸引人,学生在学习的时候需要注意什么?
要培养好阅读理解能力。 学生要想写好作文,首先要明白作文的立意想要表达什么样的思想和内容,这就需要学生们能够读懂题意,理解好材料, 分析出作文题目想让学生写出什么样的内容 。才能将作文表达的内容紧扣题目,不偏题,不跑题。

日常学习和生活中,学生要注意观察能力的训练。 在作文中进行细节描写,可以为作文增加质感,让作文内容更加充实,丰满。学生如果想让作文更加引人入胜, 将事件或事物描写得细致入微,就要注意对事情或者物品做到细致的观察。

对于低年级的学生,作文题目中经常会有看图作文。 这就需要学生们掌握“从上到下,从左到右”的图片观察法 ,不漏掉图中的任何细节,然后尽可能完整的将图片中的内容用话语进行表达。
高年级的学生,就要在平时的生活活动中, 对事情的进展或是事物、人物的样子多进行观察,思考并表达。 观察能力的训练需要长时间的积累,学生一定要坚持才行。

进行大量的阅读,提升文学素养。 俗话说:天下文章一大抄。学生要想写出精彩的作文,就要多看书,多阅读。在阅读的过程中, 模仿他人的写作手法,方式,用词用句和文章的结构, 但值得注意的是,学生们不能够生搬硬抄,要加入自己的想法。

注重日常的积累,包括名人名言和经典的人物素材。 通常学生在写作文的时候引用太多的名人名言会有堆砌辞藻的嫌疑,这时就要 与人物的故事相结合,会显得作文更加有深度 ;同时在作文中表述名人的素材, 可以作为支撑作文中心思想的论据,可以使作文更加具有说服力。

学生的成长和进步离不开老师和父母的指导,当学生在提出问题的时候, 家长和老师要认真并且耐心地回答,如果不会就和学生一起查找并解答, 学习的过程就是积累的过程,只有不懈的努力和坚持才能在未来取得好成绩。
今日话题:你还有哪些学习写作的好方法,快来评论区分享吧。
文中图片均来源于网络,如有侵权请联系删除。