大家好,这里是周老师数学课堂,欢迎来到头条号学习!

今天分享的内容——一元二次方程的知识
一.一元二次方程的概念

二.降次——解一元二次方程

直接开平方法体现了降次思想,将一元二次方程转化为两个一元一次方程来解。这里我就不举例了。

例1

解法:

配方法就是完全平方公式的逆运算。

在一元二次方程aⅹ2+bⅹ+C=0(a≠0)中,若a,c异号,则方程一定有两个不相等的实数根,判别式通常用希腊字母△表示,即△=b2-4ac。


因式分解法的理论依据是:若两个因式的乘积等于0,那么这两个因式中至少有一个等于0,即:若ab=0,则a=0或b=0。
因式分解的方法
① 提取公因式法
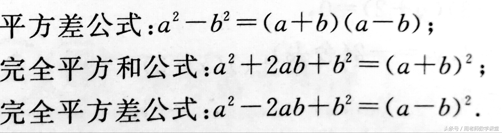
② 公式法,主要公式有:

③十字相乘法
十字相乘法简单来讲要满足三个条件:
a十字左边上下两数相乘等于二次项系数;
b十字右边上下两数相乘等于常数项;
c十字交叉相乘再相加的和等于一次项系数。
满足以上三个条件的二次三项式可通过十字相乘法因式分解。
例2
用十字相乘法解方程:2X2-5X-12=0
[解答提示]

三 一元二次方程与系数的关系

根据一元二次方程根与系数的关系(即韦达定理),我们可以求方程的根,也可以求一些对称式的值,在求值时尽量将所求的式子转化成反由x1+X2项,X1X2项和常数项组成的式子,然后田定理代入求值即可。
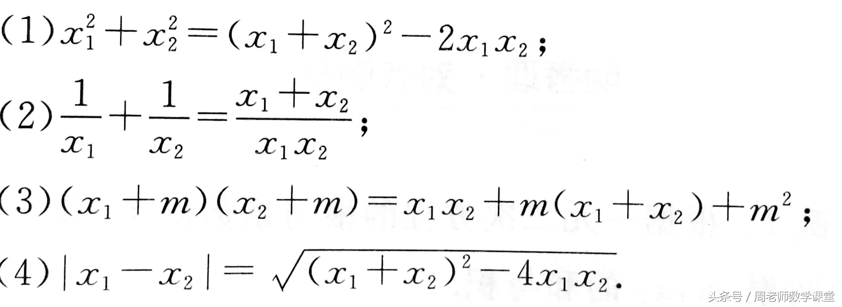
主要用的代换公式有

例3.

[解析提示]

[解题步骤]


以上是今天分享的知识,不知能否弄懂,欢迎留言,评论,关注。