标题:丑陋却万能的二次方程求根公式
作者:【美】史蒂夫·斯托加茨
二次方程求根公式,可能是数学公式中最被“低估”的一个了。它可以说是数学界的罗德尼·丹泽菲尔德(美国著名的喜剧演员),虽然足够优秀,却总是得不到尊重。
显然,专业人士似乎并不是十分欣赏二次方程求根公式。曾经有过不少这一类的调查,让物理学家和数学家们列出他们所认为的史上最美或最重要的10个公式。二次方程求根公式一次也没有入围。在这类“选美”比赛中,1+1=2肯定每次都有一大群支持者;E=mc²也是名声在外,一再获选;勾股定理a²+b²=c²看上去更是一副了不起的样子。但是,二次方程求根公式永远只能扮演灰姑娘的角色。
不得不承认,二次方程求根公式看上去确实很不美观。有不少学生会把二次方程求根公式当成一条咒语机械地背下来:“x等于2a分之负b加减根号下b的平方减去4ac。”还有的学生连背也背不下来,面对着这一大堆字母、符号、数字的组合,他们面如死灰,仿佛见了鬼,只会呆若木鸡地对着这个公式。这个令人闻风丧胆的求根公式是这样的:

只有当你真正了解了这个公式是用来做什么的,你才能透过它不甚讨人喜欢的外表,看到这个公式的内在美。希望通过这一章节的阅读,你能体会到这个公式所蕴含的智慧,能够对二次求根公式的起源和意义有一个更深入的了解。
在现实世界里,很多时候我们都需要解出一个未知变量的值。比如,治疗一个甲状腺肿瘤的时候,放射治疗的放射剂量应该多大为宜?如果想用30年的时间还清一笔数额为200 000美元、年利率为5%的住房抵押*款贷**,那么每个月的还款额应该是多少?火箭的速度至少要达到多少,才可以摆脱地球引力?
随着代数的产生和发展,人类慢慢地摸索出了一些解决上述问题的方法和经验,并且逐步能够应付一些简单的求解未知变量的问题。在古埃及、古巴比伦、古希腊和古印度学者们的引导下,终于在公元800年左右,伊斯兰教国家的数学家们比较系统地拓展了这个领域。这一数学进步的原动力,是为了解决伊斯兰法律下的遗产计算问题。
假设一位寡妇去世的时候一共留下了10迪拉姆的遗产。这笔遗产由她的两个儿子和一个女儿继承。关于遗产分配,伊斯兰法律是这样规定的:两个儿子所继承的遗产份额应该相同,而每个儿子所得的遗产应该是女儿的2倍。现在的问题是:两个儿子和一个女儿分别应该继承多少遗产呢?
我们用未知变量x来代表女儿应该继承的遗产。虽然我们暂时还不知道x的值是多少,但是我们可以像处理普通数字一样处理x这一变量,对它做出各种各样的分析。既然法律规定每个儿子所得的遗产应该是女儿的2倍,那么显然每个儿子应该继承的金额为2x。这样,我们就可以知道,两个儿子和一个女儿总共继承的金额是x+2x+2x=5x,三人继承的总金额必须等于这位寡妇的遗产总额,也就是10迪拉姆。由此,我们得到5x=10迪拉姆。最后一步,我们把这个等式的两边都除以5,就可以解出x的值,即x=2迪拉姆。也就是说,女儿得到的遗产是2迪拉姆;因为每个儿子继承的遗产是女儿的2倍,因此每个儿子可以得到2x,即4迪拉姆的遗产。
注意,在上面的分析过程中,我们一共用到了两种数:一种是已知数,比如2、5、10;另一种是未知数,比如x。只要我们能够找出已知数和未知数之间的关系(这种关系通过方程式5x=10来表示),我们就可以慢慢地“变换”这个方程式,将方程式的两边同时除以5,从而解出未知数x的值。这个过程就好像雕塑家拿着手中的凿子一下一下地雕琢大理石。最终,我们“凿掉”了冗余的部分,“凿出”了我们想要的雕塑。
有时候,解方程式需要一些稍微复杂一点的方法。比如,当方程式中有未知数减去已知数的情况出现时,我们就要引入一种上面没有用到的技巧。例如,假设要解的方程式是x-2=5。为了解出x的值,我们必须想办法用手中的凿子凿掉方程式左侧的数字2。我们可以在方程式的左右两边同时加上2,这样做以后,方程式的左边只剩下一个x,所有的障碍都被清除了;而方程式的右边,则是2+5=7。于是,我们的任务完成了,显然x的值就是等于7。当然,这个例子是一个非常简单的方程式,相信大部分的读者根本不用多想,看一眼就已经知道结果了。
对于任何一个学过代数的学生来说,上面的移项技巧可能是理所当然、简单明了的。但是大部分人都不知道,这种看似不起眼的技巧正是“代数”这个名词的起源。9世纪初期,巴格达的一位名叫穆罕默德·伊本·穆萨·花剌子模的数学家在一本讲义里首次阐述了移项技巧:当方程式一侧的未知数被减去一个已知数(比如上例中的2)时,可以通过在方程式两侧同时加上这个已知数,来“重组”方程式,帮助找到方程式的解。花剌子模把这种技巧命名为al-jabr,也就是阿拉伯语“重组”的意思。如今我们熟知的“代数”一词(英文为algebra),正是由al-jabr变形而来。在花剌子模死后很久,他的名字又一次被写进了数学史:人们发明了我们今天常用的“算法”一词,这个词(英文为algorithm)的词源正是这位数学家那略显古怪的名字:花剌子模(al-Khwarizmi)。
花剌子模这本讲义的后半部分都在讨论求解方程式的实际应用:如何处理复杂的遗产计算问题。而在这本讲义的前半部分,花剌子模详细地阐述了方程式中包括3种不同种类的数字的情况。在我们前面举的例子中,方程式里只有两种数字:已知数和未知数。而花剌子模研究的这类方程式中有3种数字:已知数、未知数(x)和未知数的平方数(x2)。现在,这种方程式已经有了自己的名字:二次方程式。在这里,我又要说一下词源学,二次方程(英文quadratic equations)的词根为拉丁语quadratus,意为“平方”。这类方程式常常会出现在建筑学、几何学的实际应用问题中,计算地块的面积或是比例关系时都需要求解二次方程式,所以,古巴比伦、古埃及、古希腊、古中国和古印度的数学家们都不约而同地研究过二次方程式的求解方法,并且获得了一定的成功。
在花剌子模的讲义中,他讨论了这样一个二次方程式:
x²+10x=39
当然,花剌子模并不是这样表述二次方程式的,他使用的是文字而非符号的表述方法。花剌子模的书里是这样写的:什么数的平方加上这个数的10倍等于39?把这个问题“翻译”为今天通行的数学语言,就是我们上面写出的这个二次方程式。
与我们上面举出的两个一次方程式相比,求解这个方程式显然要棘手得多。我们怎么才能把这个方程中的x孤立出来,从而求得它的值呢?上面使用的移项技巧以及方程式两边同时乘以(或除以)一个常数的方法在这里显然不够用,因为顾得了x就顾不了x²,即使你把这两者之中的x孤立出来,另一个必然还会在那里碍手碍脚。比如,我们可以把方程式的两边同时除以10,这样10x就被简化成了x,但是,我们也会随之得到一个非常讨厌的x²/10,方程式还是没有解出来。总的来说,这个问题的难点是,我们需要同时做两件事情,而这两件事情看起来又似乎互不相容。
那么,花剌子模是怎么解决这类问题的呢?他的解法值得我们好好分析一下:一是因为他给出的解法非常简洁明了,二是因为他的解法极为强大——这种解法可以一步到位,解出任何二次方程式的根。也就是说,你可以把上述方程式中的10和39换成其他任何数字,这个方法仍然有效!
这个方法就是:用几何意义来诠释二次方程式中的每一项。首先考虑x²的值,它的几何意义是一个x乘以x的正方形的面积,如下图所示:

类似的,第二项10x的几何意义是一个10乘以x的长方形的面积。花剌子模进一步巧妙地把这个10乘以x的长方形一分为二,表示为两个5乘以x的长方形(这一步的妙处我们在下面自然会看到,这是“配方法”的基础)。

下面,我们把两个长方形和先前的正方形拼到一起,形成一个有缺口的形状,这个图形的面积就是x2+10x。

现在,花剌子模把求解方程式的问题几何化了,问题就变成:如果上述形状的面积为39个单位,那么x应该是多少呢?

上面这幅图已经给出了十分清楚的提示,既然这个形状缺了一角,为什么我们不把它补全呢?补出这个小正方形之后,我们就得到了一个完美的大正方形。这说明什么呢?仔细看看下图。

补足的这个小正方形的面积是5×5=25,也就是说,左图大正方形的面积是x2+10x+25,因为这个图形现在是边长为(x+5)的一个正方形。
通过这几步简单的处理,原来互相冲突的x2和10x,如今却携起了手,变成了一个简洁且容易处理的(x+5)²。这种“配方法”使得求根问题变得十分简单。
别忘了,在刚才的处理过程中,我们在方程式x2+10x=39的左边加上了25(即补足的小正方形的面积),为了让方程式仍然成立,显然在方程式的右边也应该加上25。因为39+25=64,处理过后的方程式就变成:
(x+5)²=64
这真是太简单了,只要方程式两边同时开平方,我们就得到了x+5=8,随后可以轻松地解出x=3。很显然,x=3正是方程x2+10x=39的解。3的平方是9,10×3=30,9+30正好等于39。
简单的代入验算明确无误地告诉我们,我们的解是完全正确的。
x=3是花剌子模给出的这个方程式的解。细心的读者可能已经发现,如果花剌子模参加现代的代数考试,那么这道题他只能得到一半的分数。花剌子模漏掉了方程的另一个解,也就是x=–13。我们可以把x=–13代入上述方程式,–13的平方数为169,–13的10倍为–130,169加上–130正好是39,显然–13也是这个方程式的解。在花剌子模的算法里,这个负数解被忽略了,从几何意义上来说,边长为–13的正方形并不存在,这可以说是古代代数的局限性。如今,代数已经不再那么依赖于几何,所以二次方程式的正数解和负数解都得到了认可。
在花剌子模之后的几个世纪中,数学家们逐渐认识到,只要接受负数解和负数的平方根(这个概念之前的章节中已有讨论),任何二次方程式都可以用上述的“配方法”求解。
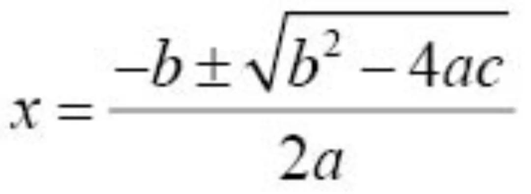
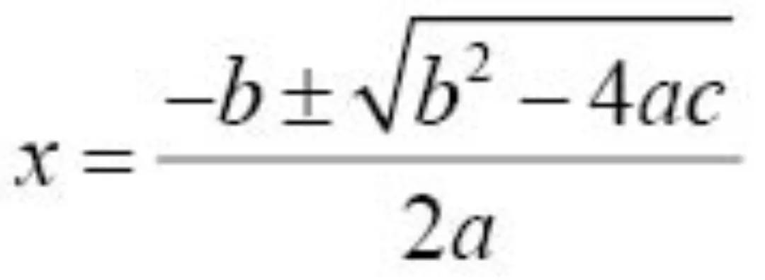
对任意一个二次方程式ax²+bx+c=0(其中a、b、c为任意已知数,x为未知数)来说,求根公式可以表示为:

经过本章的旅程,你是否对这个看似不太美观的公式有所改观了呢?它是多么直接和全面!不管方程式中的a、b、c是一些什么数字,方程式的解都可以用这个公式表示,一步到位,一目了然!a、b、c这3个数字是千变万化的,然而竟然有一个这样完美的公式,能够以不变应万变,举重若轻地把二次方程式的求根问题彻底解决。
如今,二次方程式仍是解决各类实际问题的不可或缺的工具。通过这个工具,科学家和工程师们能够分析无线电的收发、桥梁和摩天大楼的震动、篮球和炮弹的运动轨迹、动物种群数量的波动等。如果没有二次方程式,很多现实世界里的问题将会让我们一筹莫展。
从这个角度来看,二次求根公式虽然其貌不扬,却实在是一笔伟大的数学遗产和一个辉煌的数学传奇。
书摘信息:
书名:x的奇幻之旅
作者:【美】史蒂夫·斯托加茨
排版:沈消
译者:鲁冬旭
美编:琨琨
ISBN:9787508635163

备注:
阿尔·花拉子密( 英语:Al - Khwarizmi,约780~约850),全名穆罕默德·本·穆萨·阿尔·花剌子模(Abu Abdulloh Muhammad ibn Muso al-Xorazmiy),拉丁名阿尔戈利兹姆(Algorismus)。出生于波斯帝国大呼罗珊地区的花剌子模。著名波斯-塔吉克数学家、天文学家、地理学家。代数与算术的整理者,被誉为“代数之父”。

12世纪他把印度数字翻译成拉丁文,这给当时的西方国家带来了10位数字的初步知识,1973年世界天文联合会以阿尔·花拉子米的名字命名了月球上的一处环形山。
——摘自头条百科
相关链接:【精选优美名题,彻底讲透一元一次方程及解法与原理 - *今条头日**】https://m.toutiao.com/is/J3D4S66/
科学尚未普及,媒体还需努力。感谢阅读,再见。