«——【·前言·】——»
太阳能电池板是一项清洁能源技术,吸引了越来越多的人关注,随着对可再生能源需求的不断增长,独立光伏系统也成为一种受欢迎的解决方案。
在这样的系统中,太阳能电池板通过将太阳能转化为电能,供给小型磨粉机和其他电力设备,在设计这样的系统时,尺寸和经济性是两个需要考虑的关键因素。

通过考虑磨粉机电动机的高能耗,特别是在点火时,对能源需求进行评估。
所有系统组件的尺寸确定是为了根据每日用电需求、场地辐照度和气候条件确定最佳设计。
在这个背景下,应用Hay模型确定PV结构适用的倾斜角度,使其在一年中的时间段内接收最大辐照度。

这种方法提供的入射辐照度比单个倾斜角度的情况更大,而后者倾斜面上的辐照度通常低于水平面上的辐照度。
光伏系统的经济分析 显示出4448美元的初始成本,生命周期成本为24495美元 。

«——【·太阳能的潜力·】——»
相对于人类能源需求而言,太阳能被认为是一种无穷无尽的潜力。它的利用取决于地理位置、太阳位置、集热器的方向和倾角等因素。
在非洲,这种真正丰富的能源正被证明是,逐渐工业化和不断增长的人口需求的主要替代选择。
尽管能源获取的速度已经慢慢提高,但非洲有超过6亿人口没有电力供应,其中包括超过80%的农村居民。

2017年,喀麦隆农村地区的用电率仅为21%,难以满足家庭的电力需求。
此外,存在着诸如能源运输设备老化导致的频繁负载分配、因账单和服务质量而引起的大量投诉、缓慢的干预等问题,这些弊端成为限制该地区用电推广的主要因素。
面对许多非洲国家都面临的局面,研究人员越来越倾向于使用光伏技术,在偏远地区和农村等环境下推广分散式电气化解决方案。

实际上,Stojanovski等人通过,对非洲两个离网市场约500位太阳能家庭系统(SHS)早期采用者的调查发现,SHS的使用与煤油使用大幅减少,而小型一次性电池的使用也有一定程度的下降。
为了保障当地居民获得稳定和可靠的能源,Sakiliba等人在冈比亚推出了一种固定倾角的家用光伏系统,其每千瓦时的成本价格低于当地电费单价。
这样的发电机在一年中并不能利用最大的辐射潜能。

Kumar等人为了提高光伏系统的性能,根据一年中的季节采用可变最优倾角来最大化太阳能电池板接收到的能量。
除了可靠性之外,在偏远地区, 独立发电系统 最重要的一个方面,是在能源需求和设备安装费用之间寻求良好的折中方案,因为这些费用与当地人的经济能力相比较高。
为了促进对电力的获取,这里研究了喀麦隆西部地区Nziih-Bafou村民家,使用的最优光伏系统规模。

该站点由于当地的经济实强,是一个真正的商业中心,有许多收入创造活动。
然而,尽管该地区连接到电力网络,但人们经常面临停电现象,这导致他们的活动遭受了重大损失,水平面上的辐照度也很重要,年平均值为5.45 kWh/m2/day 。

在考虑到以下因素时设计这个家庭的光伏系统,该家庭配备了一个食品磨坊,因为农业是该地区的主要活动;主要目的是为该家庭设计一个自主、高效的光伏系统,既可以保障能源独立,又可以为收入创造做出贡献。
在此过程中,我们在设备选择、面板的斜角度以及电路拓扑的选择等方面进行了优化,以确保光伏站的正常工作并确保合理的回收期。

太阳能潜能和能源需求
图中显示了Nziih-Bafou站点(10°05'N,5°35'E和1900 m)平均太阳辐照度的月度概况,历时一年,这些值是根据2016年的光伏地理信息系统(PVGIS)推导出来的。
图中还将这些数据与在相同位置接收到的,具有与站点纬度相等的倾斜角β的平坦倾斜表面的数据进行了比较(β=5°35')。
可以观察到,单一的倾斜角并不总是合适的,因为Akana和Kum展示了一年中有时候倾斜面辐照度低于水平面。

在本研究中使用的平均家庭,是根据当地的简单随机抽样调查所描述,因此配备了通常在该地区出现的设备。
表中总结了这些设备、它们的功率以及每天的运行时间,此外家庭还有一个消耗相当多无工能量的磨坊,

图中显示水平面上的阳光照射(PVGIS,2020)和倾斜角β = 5˚35'的照射

磨坊电机特性

特别是在点火时,日常需求将被评估并在全年保持不变,磨坊电机的特性如表所示。
为了保证站点的最佳运行,设计时考虑了几个因素。
太阳能电池板相对于太阳的位置直接影响它们的能量产生,因此,适当安装电池板以最大限度利用它们的可能性非常重要。

在这种情况下,对于大多数基于地面的太阳能系统,需要了解倾斜表面受到的太阳辐射,在这里,使用Hay的各向异性模型,根据Akana和Kum所描述的方法,按月评估辐射。

其中Gb和Gd分别是水平面上的直射和散射辐射(W/m2),ρ是表面反照率,G是水平面上的总辐射(W/m2),Gβ是倾斜表面的总辐射,G0是太阳常数。

其中θz是太阳天顶角,δ是赤纬,ϕ是地点的纬度,ω是小时角,A是方位角。
光伏系统的最佳和和谐运行需要有效的尺寸和明智的选择所组成的发电机的基本元素。
光伏场的峰值功率(Pp)以瓦特峰值(Wp)表示,定义为在1000 W/m2的太阳辐照度下提供的功率。
它强烈依赖于地点的辐照度,并通过以下方程得到:

EDemand是家庭每天的能量需求(千瓦时/天),Ir是最差月份每天的平均辐射量(千瓦时/平方米/天),PR是性能比。
在安装案例中, 模块需要放在离地面较近的位置,以便充分通风 。此外充电控制器采用MPPT技术。
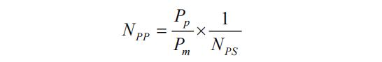
因此将使用PR = 0.75。串联光伏板的数量(NPS)由以下公式计算:

其中VG是光伏发电机的电压,VP是光伏面板的额定电压,同样地,平行支路的数量(NPP)可以通过以下公式计算:

其中Pm是光伏模块的峰值功率(Wp),要安装的光伏板的总数N由以下公式给出:

可以推导出由光伏板占据的总表面积AT。

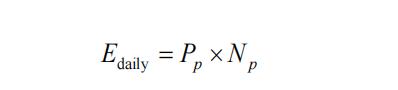
其中AP是单块光伏面板的面积,PV阵列每天产生的能量。

铅酸电池是电能存储最常用的形式,因为它有一个成熟的制造基地,因此成本相对较低且易于获取。电池组的储存容量CB(A·h)由以下公式给出:

其中,n是自治天数,DOD是最大放电深度(以%表示), ηbat、ηinv和 ηq分别是电池、逆变器和充电控制器的效率,V是电池组电压(伏特)。
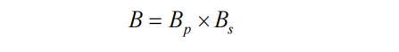
串联电池的数量由以下公式确定:

而并联情况下,有以下公式:

可以通过以下公式推导出系统所需的总电池数量:

充电控制器的标称输入电压等于光伏阵列的电压,本例中取为48伏特,输入电流(Ie)是模块在给定时刻能够提供的最大工作电流。
该电流由模块的短路电流(Icc)乘以光伏模块并联的分支数(NPP)得到,出于安全考虑,这个乘积还要乘以1.25的安全系数。

对于逆变器,必须调整其容量,以使其标称功率覆盖所有用户的总功率。图2显示了本研究考虑的独立光伏系统的配置。
«——【·经济和环境分析·】——»
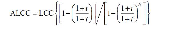
这里所应用的经济方法是生命周期成本(LCC),系统的LCC是其整个生命周期中所有采购、运营和维护费用的现值。
例如电池每五年更换一次,意味着在项目的寿命周期内将需要采购3批新电池,目前的LCC也应该考虑这些电池更换成本。

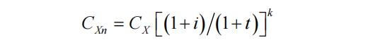
光伏系统的设计方案,该批次的设备X的顺序n的现值(CXn)是考虑通货膨胀率(i)和折旧率(t)的情况下,在k年后获得的。

其中,X代表设备,CX代表其初始购买价格。LCC由以下表达式给出:

其中,CPVG是光伏发电机及其配件的成本,而Cinv,Ccont,Cbat,Cop和Cins分别是逆变器、调节器、电池、操作和安装的成本。LCC缩减到年度规模(ALCC)由以下描述:

通过如下方式计算每千瓦时的总现值成本:

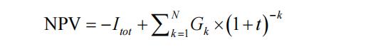
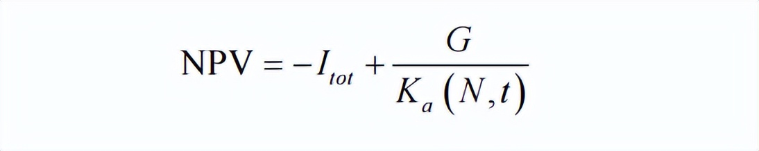
净现值(NPV)是项目的盈利能力指标,如果NPV为正,投资则是有盈利的,否则就是无盈利的。NPV由以下等式给出:

其中,Itot是初始投资,Gk是第k年的现金流,N是预计的项目寿命,t是投资折旧率。
根据Derbie Gont的说法,将此比率设为10%,假设收入和支出不变,现金流在项目持续时间内不会变化,因此有以下关系式:

其中,G是现金流的恒定价值,而 (1 + a)t−1 是未来现金流的折现值总和,a是折现率,N是项目的寿命,K为后续现金流折现的起始年份。
更新的回收期(T)确定了项目何时变得有利可图,因此,它对应于NPV为零的时刻,并由以下方程导出:

可再生能源设施的绿色性质的主要指标是避免的二氧化碳排放量,对于自给自足的光伏系统,这个量可以通过以下公式计算:

其中,Ep是每年生产的能量,N是项目寿命(20年),Q0是光伏发电机的温室气体排放因子,这个因子取决于太阳能设备制造的地点以及使用的地点。
因此,对于Cameroon的Ndziih-Bafou,Q0的值被评估为0.094 kg/kWh。
«——【·讨论·】——»
图中显示了家庭负载曲线,在上午8点到上午10点和下午1点到下午13点之间有两个1178.4 VAh的峰值,对应于磨坊的运行时间。
假设这个负载曲线在整个项目寿命期间都是恒定的。

这需要一个适当的方向,使光伏面板能够始终接收到最大辐照度,而无论一年中的某个时期阳光是否有利。
图中显示了在光伏面板倾斜角从0到90˚变化的情况下,Ndziih-Bafou每月日辐照度的平均可用性。
可以看出,每年的每个月都存在一个最佳倾斜角βopt,使得入射辐射达到峰值。

在连续五个月中,这个峰值对应于沿水平方向(βopt=0)排布板块,在这些时期光伏面板接收到的辐射比单一倾角时接收到的辐射要大。
对于其他月份,入射辐射显著增加,表中总结了每个月的最佳倾斜角和相应的辐照度。它还比较了优化后的辐照度与固定倾斜角的辐照度。

将安装在一个装有曲柄的框架上,使得可以手动实现每月的最佳倾斜角而不需要任何额外的财务影响。
这个结果与Khaled和Doraid(2012),Derbie Gont(2019)考虑全年固定倾角的结果形成了对比。
光伏发电机组的尺寸确定
从每日耗能量(8235.46 VAh)和太阳辐照度数据中,可以计算出适当运行安装所需的峰值功率Pp。

Ndziih-Bafou每月日辐照度的平均可用性
每月最佳倾斜角和辐照度的数值。

所使用的电池类型为GEL(150 Ah,12 V),其效率为85%,放电深度为80%。鉴于该地区的阳光情况以及图5中的数据,选择一天的自主权。

根据方程,电池串联的数量BS为4 BS = 正好为48/12 = 4,在并联方面,我们有
2 Bp = 274/150 ≈ 1.83,即Bp ≈ 2。
因此,该电站总共有8块电池。
能够承受光伏发电机短路电流并保持直流母线电压的充电调节器为MPPT类型。

比较Ndziih-Bafou的能量需求、能量产生和辐照度。
«——【·结论·】——»
本研究涉及最佳尺寸问题,描述了在Ndziih-Bafou的家庭可以装备独立光伏电站以解决能源稳定性问题。经济研究确定了实施该项目的成本,为4448美元,更新后的成本为每千瓦时0.44美元,回收期在第3年和第4年之间。
虽然比国家电力公司提供的每月消费量小于或等于价格为0.125美元/千瓦时的价格更贵,但比起长期购买发电机还是更优惠的。
初始投资的估计成本。


图中显示光伏系统的NPV。
该太阳能发电机比每月消费量小于或等于110 kWh的国家电力公司费用更低,并具有许多优点,如稳定和永久的能源保证,以及为一个更清洁的世界做出贡献。
从环境的角度来看,这种自主的光伏系统将在20年内防止5652 kg的二氧化碳排放。
在设计小型磨粉机独立光伏系统时,需要考虑许多因素。必须确定所需的功率、选择合适的太阳能电池板和电池、进行经济性分析等。
了解这些关键因素,可以确保我们设计出经济实惠、可靠且高效的独立光伏系统。
参考文献:
[1] Kruger, W. and Eberhard, A. (2018) Renewable Energy Auctions in Sub-Saharan
Africa: Comparing the South African, Ugandan, and Zambian Programs. WIREs
Energy and Environment , 7 , e295. https://doi.org/10.1002/wene.295
[2] Blimpo, M.P. and Cosgrove-Davie, M. (2019) Electricity Access in Saharan Africa: Up
take, Reliability, and Complementary Factors for Economic Impact. A Copublication
of the Agence Française de Développement and the World Bank.
https://doi.org/10.1596/978-1-4648-1361-0
[3] Infrastructure Consortium for Africa Regional Power Status in African Power
Pools, ICA, 120 p. http://www.icafrica.org/