导读:是什么限制了光的速度,你思考过吗?看看大家怎么思考的
1、这个问题不够大胆,应该问,为什么光速不是无限快?
因为无论光速是30万还是35万,都还是可以继续问,为啥不是40万公里云云。此外,还有一个注意事项,公里有多长也只是一个人为规定,如果换一种规定,光速的数字可能更大也可能更小,比如在欧美国家常用的英制单位,英里。1英里=1.6公里左右,如果用英里来表示光速那就连30万都没有了,大概只有 186,282英里/秒。
所以,核心问题不是光速有多快,而是为什么它不是无限快?
在地球上,我们觉得光速近乎是无限快的,但在浩瀚的宇宙中,光速就像乌龟爬一样缓慢,就拿最近最火爆的人类首张黑洞照片来说,这张照片拍摄的是远离地球或者太阳系大约5500万光年外的一个超巨型黑洞(65亿太阳质量),它位于M87星系的中心,5500万光年是啥意思,意思是我们看到的其实是这个黑洞5500万年前的样子!

图示:严格地说我们看不到黑洞,我们看到的是聚集在这个黑洞周围旋转的气体,它们围绕黑洞快速旋转,在摩擦中产生出大量电磁波。
光速在宇宙尺度下到底有多慢呢?
有天文学家用了这样一个类比,假设把可观察宇宙(960亿光年)缩小到地球那么大,那么穿越整个银河系,也就大致相当于沿着街区走过三间房子的距离去探望你的邻居。然而,光竟然要走10万年时间才能完成这趟探望之旅!因为银河系的长度大约为10万光年,所以需要走10万年。
现在我们转向更紧迫和困难的问题:为什么光速这么慢?
答案是,我们不知道为什么它这么慢,至少到目前为止,我们不知道答案。但是,理论物理学家Gennaro Tedesco 提供了一个有趣的想法:虽然,我们生存的宇宙中,光速以现在这样的速度传播,看起来并没有任何道理或者限制着它不能更快,但目前为止它就只有这么快。
但让我们假设一下,如果光速提高1000倍会如何?
通过计算机模拟发现,这将意味着我们的电子产品的运行速度会因此更快,但同时也意味着我们的太阳将以比现在快得多的速度燃烧,快多少呢?快一百万倍,这意味着,地球会被烤焦,而太阳的寿命也将因此大幅度缩短。简单地说,目前的太阳系是非常不适合生命诞生的地方。

图示:质量,能量和光速,通过爱因斯坦著名的质能方程关联在一起,所以光速的变化会带来宇宙的动荡。
这项研究顺便回答了我上面的那个假设,如果光速无限快会怎么样?
那么整个宇宙都将因此崩溃无法成行,没有恒星没有行星,没有我们所熟悉的宇宙。
至于光速提高1000倍后,什么样的太阳系才适合诞生生命呢?
我们现在也不是非常清楚这件事,很可能将不存在能够诞生生命的太阳系。这大概就是为什么我们生存在光速为大约30万公里每秒的宇宙中的原因。聪明的您可能看出来了,我在用人择原理解释这个问题,换句话说,如果光速发生巨变,那么我所熟悉的宇宙和生命可能也就消失不见,也就不会有人来问,为啥光速是30万而不是35万这样的问题了。:)
当然,这样的回答有点像耍无赖,并且隐约指向上帝创世,因此有人提出了多重宇宙假说,在不同的宇宙中自然常数也不同,这其中自然也包括光速,可惜我们无法知道, 在一个光速巨慢或者巨快的宇宙,究竟是啥样子,毕竟我们现在的超级计算机模拟乃至我们对宇宙本身的了解还不够多不够深入彻底。

2、真空中的光速是一个常数,大约是每秒30万公里,精准值是299792458...米每秒。这个值可以从麦克斯韦方程组中直接求出来,取决于真空磁导率和真空电容率。

而追问到底,这些物理常数是如何来的,或者说为什么存在这些常数。很遗憾,这个问题无法回答,就好似你玩一场游戏,这个游戏势必需要一些前提规则,而这些规则就是人为设定的。为了便于理解,你可以把我们的宇宙也理解为一场游戏,因此它必须存在一些规则,至于这个规则为什么是这样,对于游戏中的人物来说,这是不可能知晓原因的。

而科学理论就是依据这些客观存在的事实,进行合理的逻辑思考加上严谨的数学手段得出的。说到底,物理其实不是去解释宇宙,而是描述宇宙,依据一些既定的事实,总结出规律,进而在做一些类似现象的解释或者其它预言。反倒是数学这门学问,似乎更加接近真理。
期待您的点评和关注哦!

3、感谢这位网友的提问,其实光速并不是30万公里每秒,而是299792458...m/s。为了简单表述,我们一般近似地认为光速为30万公里每秒。
我们知道真空中的光速是一个常量,可以利用麦克斯韦方程组计算出来,真空的光速由真空的介电常数可以导出。

正是由于光速的不变性,我们才可以设定了1米的概念,也就是说一米等于光在1/299792458秒所行走的路程。
人类最早得知光速是在19世纪。可是度量距离和时间的单位早已根深蒂固。

如果人类一开始就知道光速,那么可以将其设定为1m/s,而我们常用的距离单位就是现在的一米的3亿分之一了。我们可以将一米的3亿分之一设定为1ж,于是你就有会问为什么光速是3亿ж/s。
所以距离和时间是人类最早发明的度量工具,光速具体数值并没有多大意义值得讨论。
既然相对论以光速不变为公设,那为什么光在空气中,水中和玻璃中的速度会变慢?

其实光速并没有变慢,而是光遇见物质后会被其原子内的核外电子吸收,吸收光能量的电子处于激发态,又会释放了光子,于是光在被吸收再释放的过程中浪费了时间,导致光速在空气中宏观速度变慢了!
4、
光速与介电常数以及磁导率的关系
——灵遁者
介电常数和磁导率这两个词,你一定在我的科普书中见过几次了,或者你的老师也提到过。但对于这两个词,其实科普内容或者教科书中都涉及的较少。网络上关于这两个概念的介绍,也不多。但我认为这两个词的概念,很重要。尤其是对于光速而言。
我在第四十四章《爱因斯坦是如何创立狭义和广义相对论的》里有对光速进行过说明。因为光速不变原理是爱氏相对论的基础,所以不得不对这个问题进行深入探讨。而且大家也知道,光学理论的研究和发展,对于近代物理的每一次发展,都有很深的影响。所以本章可以看作是对光速的进一步解释和理解。而要解释清楚光速,光速的本质,离不开我上面提到的这两个概念。

这里还是再把四十四章的一个问题,拿出来再问一遍:你如何理解光速不变原理?
关于光速不变原理的理解。注意再看一遍:光速不变原理是指真空中的光速对任何观察者来说都是相同的。不要盯着光速值看,要看根本。
就好比我问你:现在的光速值被认定为299,792,458 米每秒。假如100年后,光速值的测量变为299792458.001米每秒,那么你会说爱氏的相对论是错误的吗?
很显然就原理所述而言,没有一点毛病,即使100年后光速测量变为299792458.001的时候,爱氏的相对论依然是正确的。因为对于任何观测者而言,光速都是这个值,光速是不变的。光速不变原理就是成立的。很多同学,一般会被光速值吸引,这是舍本逐末。

在第四十四章中,明确说过这样一句话,光速的本质:光速【真空】是一种时空束缚态,光速为定值是时空使然。也就是时空告诉物质如何运动,这种运动就包含了以多大速度运动。光是物质,自然就遵从时空规律。也就是光速的多少与时空性质有直接关系。
更具体的的来说是真空磁导率和真空介电常数,引力场共同决定了光的速度。各位这就是引出了我们要介绍的两个概念了。
先说说磁导率和真空磁导率。磁导率是表征磁介质磁性的物理量。表示在空间或在磁芯空间中的线圈流过电流后,产生磁通的阻力或是其在磁场中导通磁力线的能力。其公式μ=B/H ,其中H是磁场强度、B是磁感应强度,μ为介质的磁导率,或称绝对磁导率。通常使用的是磁介质的相对磁导率ur ,其定义为磁导率μ与真空磁导率μ0之比,即 ur=μ/μ0 。相对磁导率ur与磁化率χ的关系是:ur =1+ xm。磁导率μ,相对磁导率ur 和磁化率xm都是描述磁介质磁性的物理量。
而真空磁导率自然是限定了真空条件下的磁导率。真空磁导率是一个常数,也可以定义为一个基础的不变量,是真空中麦克斯韦方程组中出现的常数之一。在经典力学中,自由空间是电磁理论中的一个概念,对应理论上完美的真空,有时称为“自由空间真空”或“经典真空”。

常用符号μ0表示,由公式F=μ0I2h/2πa定义,此式是真空中两根通过电流相等的无限长平行细导线之间相互作用力的公式,式中I是导线中的电流强度,a是平行导线的间距,F是长度为h的导线所受到的力,而称μ0为真空磁导率,其值为μ0=4π×10-7牛顿/安培2,或者μ0=4π×10-7特斯拉·米/安培,或者μ0 = 4π×10-7 亨利/米。在高斯单位制(CGS)中,真空磁导率为无量纲的数,其值为1。
真空磁导率μ0和真空电容率

以及光速 c的关系为:

无限长载流直导线外距离导线r处:

。
其中,

为真空磁导率。r为该点到直导线距离。
我们先不分析,先接续介绍关于真空介电常数的概念。介质在外加电场时会产生感应电荷而削弱电场,介质中的电场减小与原外加电场(真空中)的比值即为相对介电常数(relative permittivity或dielectric constant),又称诱电率,与频率相关。如果有高介电常数的材料放在电场中,电场的强度会在电介质内有可观的下降。理想导体的相对介电常数为无穷大。根据物质的介电常数可以判别高分子材料的极性大小。通常,相对介电常数大于3.6的物质为极性物质;相对介电常数在2.8~3.6范围内的物质为弱极性物质;相对介电常数小于2.8为非极性物质。
而这里所说的极性,是与电荷分布有关的。在化学中,极性指一根共价键或一个共价分子中电荷分布的不均匀性。如果电荷分布得不均匀,则称该键或分子为极性;如果均匀,则称为非极性。物理上通常认为极性是物体在相反部位或方向表现出相反的固有性质或力量。物质的一些物理性质(如溶解性、熔沸点等)与分子的极性相关。

介电常数又称电容率或相对电容率,表征电介质或绝缘材料电性能的一个重要数据,常用ε表示。它是指在同一电容器中用同一物质为电介质和真空时的电容的比值,表示电介质在电场中贮存静电能的相对能力。空气和CS2的ε值分别为1.0006和2.6左右,而水的ε值较大,10℃时为 83.83。
所以介电常数是物质相对于真空来说增加电容器电容能力的度量。介电常数随分子偶极矩和可极化性的增大而增大。在化学中,介电常数是溶剂的一个重要性质,它表征溶剂对溶质分子溶剂化以及隔开离子的能力。介电常数大的溶剂,有较大隔开离子的能力,同时也具有较强的溶剂化能力。
介电常数是指物质保持电荷的能力,损耗因数是指由于物质的分散程度使能量损失的大小。理想的物质的两项参数值较小。而真空介电常数又称为真空电容率,或称电常数,是一个常见的电磁学物理常数,符号为ε0。这个已经在上面提到了。在国际单位制里,真空介电常量的数值为:ε0=8. 854187817×10F/ m(近似值)。
真空介电常量是物理量在度量时引进的常数( 主要是库仑定律中对电荷量的度量) ,根据麦克斯韦方程组,可推知真空介电常数与其它物理常数的关系:

。其中,c是光波传播于真空的光速,u0是真空磁导率。上式可作为真空介电常数的定义式。
说到这里,我给大家说一点,你不要看到上面好多公式,就头疼了,其实对于科普来说,我们要找的是概念之间的关系。但作为研究而言,就要推导和谨慎。我说过我也不是专业科班出身的,所以我尽量按我的理解,通俗的给大家讲。文章中出现的公式,也不是我自己推导,是在百度或者其他资料上找来的,为的是让大家理解这些关系式中的概念是有联系的。
我先通俗来讲讲我的思路,为什么光速和真空磁导率和真空介电常数有关。光是电磁波,这是大家公认的。而真空磁导率和介电常数又与电磁性质以及电荷有关,那么怎么能和光速没有关系呢。
我们现在所定义的光速测量值是在真空条件下得到的,所以磁导率和介电常数也必须具有真空条件,才有一致性和可讨论性。
最初提到光是电磁波的人是麦克斯韦。他在总结从库伦定律到安培、高斯、法拉第等人有关电磁学说的全部成就,在此基础上加以了推广和发展,得出了以自己名字命名的方程组,即麦克斯韦方程组,其主要包括四个方程式,然后再补充三个描述介质的方程式,总共7个方程式。通过解这个方程组的特定解,可以得出电磁波在某种介质下的传播速度。人们发现电磁波在真空的传播速度恰好和真空的光速吻合,后来才确定光就是电磁波。

根据公式:

所得出的光速值为2.9979×108 m*s,和光速的实测值非常接近,在1983年国际计量大会决定采用的真空中光速值为2.99792458×10^8 m*s。c为光速;为真空的介电常数=8.85418782×10^(-10) F/m;u0为真空的磁导率=4π×10^(-7) N/A^2。所以,这种数学表示方式是根据麦克斯韦电磁方程组推导出来的。
而光速在真空中是一个定值,真空磁导率和真空介电常数也是定值。它们都具有一定的“恒定性”,这是光速不变原理的一个原因。而真空磁导率和真空介电常数是与时空背景有关的,所以综合去考量,可以大胆得出光速为什么是光速,光速为什么不能超越。
原因就是光速是时空使然,光速恒定有时空背景限制。而光速不能超越,可以认为光速是一种时空束缚态。物体的能量不可能撼动整个时空,所以物体的速度就不能超越光速。
所以我在第四十四章中关于光的本质的时候写道:光速【真空】是一种时空束缚态,光速为定值是时空使然。也就是时空告诉物质如何运动,这种运动就包含了以多大速度运动。光是物质,自然就遵从时空规律。
这句话是这样理解的,不知道你在看前面第四十四章的时候,是如何理解的。因此你就可以大胆得出结论,如果宇宙性质和环境发生变化,那么光速值自然会波动。所以光速值增加或者减少,不能证明爱因斯坦光速不变理论是错误的。

我在那一章里给了一个理解的案例。大家再看看吧。我们知道河槽宽的地方,河流流速缓慢;而河槽窄的地方,河流流速较快。等量的河水,我让河槽窄的地方,比原来窄上100万亿分之1米,那么窄的地方河流的流速有变化吗?理论上有变化,可是实际呢?实际是没有变化的,因为这样微小的变化,至少人类是无法测量出来的。
而光速有测量值,也有定义值。但我们都知道,它不是绝对定值,小数点后面有多少数字我们不清楚。这是可以解释为宇宙背景的“弹性”。你会发现很有物理常数,都不是绝对定值,那这就不是偶然。我有一章内容,专门列出了很多个常数,相信大家看到了,很多人可能会认为我是为了凑字数,而增加的这一章。其实还不是,对于这一章,我思虑了很久。我把这些数字都列了一个表了,试着找关系,看看能否找到一些共性,结果没有找到。当然我的算法就很简单,这是能力的限制。如果你看到了,你有新的方法,或许可以算出宇宙这种“弹性系数。”
还有一个思维,我给大家点一下。因为在我们否定了以太之后,就没有人在思考光或者引力传播需不需要介质的问题。各位,应该这样思考。否定以太没有问题,是人类的进步,也有实验支撑。
光波也不能理解为声波。声波是振动的空气引起的,而光波不是。光波,电磁波是由磁场激发的。我们现在所说的,光不需要任何介质可以传播,这句话其实是不可想象的。

我写这本书,就是为了告诉大家。我们创立一个理论的时候,先去想这个理论,这句话能不能想象是很重要的。光不需要任何介质可以传播。事实上是你不能想象世界上,没有任何介质。世界上什么都没有这个状态,你其实是想象不出来的。世界上什么都没有的话,也就是没有世界。这个逻辑没有错吧。
就好像我这样说,没有玻璃的话,光不可能在玻璃中传播。更何况没有绝对的真空。所以光一定在介质中传播的,在不同的介质中传播速度不同。在真空中恒定。在介质中传播和需要借助介质传播是两个概念,继续往下看。
宇宙中充斥着各种场,所以可以认为光传播的介质是“场”。同样引力的传播不需要介质,但引力必须穿透这些宇宙的“场”来把一个个带有质量的物体连接起来。这样去想,可以想象,也丝毫不破坏现在理论的框架。只是在表述上,需要修改。
按照我们现在的教课书,甚至可以这样理解。电磁波是电磁场的激发。它的磁力线延伸在理论上是无穷远的。这是我们学过的,也就是可以从某种程度上说,场的延伸也是无穷远的。所以电磁波以各种电磁场为介质进行传播。大家可以看看现在教科书中关于电磁波的定义,就好理解了。电磁波是由同相且互相垂直的电场与磁场在空间中衍生发射的震荡粒子波,是以波动的形式传播的电磁场,具有波粒二象性。所以可以说电磁波以自身为介质在进行传播。引力,引力波同样也是,可以通过引力场传播。因为没有任何物质的传播是不可想象的。这和世界存在的方式是矛盾是两个概念。任何物质都没有,是世界不存在。世界存在的方式是矛盾的,是说我们关于世界的解释,一定有不能自洽的地方。就像哥德尔不完备定理所揭示的那样。
以自身为介质进行传播,顶多是有矛盾的一面。但是是可以想象的,也有理论基础。现代物理学是以西方人的思维进行建立的,他们这种“排除法”的思维是很好的,但不是任何时候都是很好的。

这是我要给大家点出来的一个点。你在科研的时候,你怎么想真的很重要的。尤其是当一个理论和实验,你进行了很长时间了,就要想一下,我是不是该换一个路走走,看看能不能走的通。
关于这一章其实写到这里就结束了。但我在百科上,看到一个真空介电常数与真空背景周期的关系的推理。我个人浏览了一遍,觉得不错。这也是大家理解真空介电常数与真空背景有关的佐证。数学能力强的,可以看看下文。
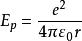
百科摘录:值得一提的是,t =8.81 ×10秒在数值上刚好近似等于真空介电常数ε0,这两个量之间有什么关系呢? 为了说明这个问题,这里假定真空中有二个带有相同电量( 电量为e) 的点电荷相互作用,相互作用势能为:

。如果单个电荷以周期 t 做圆周运动,则电流强度为 I = e/t. 根据实验结果,电阻的表达式可写为:

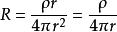
。其中 ρ 为电阻率,l 为介质的长度,s 为介质的横截面积,电流的方向垂直于横截面。对两个点电荷来说,虽然它们“静止”,但它们受“真空背景温度”的影响,也在做轻微的热运动,这个运动可看成是简谐运动,运动方向在两个点电荷之间,周期为( 即前面的所说的“真空背景周期”)。运动电荷对应的电流可认为就是位移电流,这种运动使两个电荷间的电场也发生了周期性的变化,变化的周期也为t。由于位移电流的本质就是变化的电场,则 e/t 在数值上可表示电流的空间分布,电流方向垂直于以 r 为半径的球面,式中的横截面积为s =4πr2。
由于系统处在真空之中,电阻率很大(相对于导体来说) ,但电子的运动是自由的,两个点电荷间的电阻为

。
一个电荷相对一另一个电荷的电势

,相对应的电势能为

。比较势能表达式可知 ε0= t / p,表明真空介电常数ε0与真空背景周期成正比。如果假定电阻率 ρ =1,真空背景周期与真空介电常数在数值上完全相等。可得:

。
上式说明真空背景温度与真空介电常数成反比,这个结果也显示现实真空环境与宇宙背景有直接关系。虽然用 e/t 来表示位移电流的空间分布并不严格,但是足以说明真空介电常数的测量值与宇宙背景温度有很大程度的关联。

通过上面这个推理,大家可以看出,如果这个推理靠谱,因为作者也说了用 e/t 来表示位移电流的空间分布并不严格。如果靠谱的话,那么根据现在的天文理论宇宙大爆炸之后,宇宙空间背景温度一定是在下降的,那么真空介电常数成反比,就是上升的。有一点也很巧,不知道大家注意到没有。光是电磁波,电磁波是同相且互相垂直的电场与磁场在空间中衍生发射的震荡粒子波,是以波动的形式传播的电磁场。而介电常数和磁导率分别对征着电场和磁场。所以又一点也不巧。
各位,好好思考一下。再给大家留一个问题。因为涉及到频率,和周期,只是没有点出来,那么就会涉及到时间和同时性概念。而这两个概念,在物理中是至关重要的,却又没有弄清楚。大家认为怎么样,其实这两个问题,我也思考了很多,在第四十四章上,就有描述和解释了。大家应该注意到了。
今天的分享内容,就到这里。有时候读这些东西,可能对你生活没有任何改变。但人活着,就是为了知道和体验更多。走的更远,才能看的更远。有些无用的东西,不是无用的,只是我们没有用它。祝你学习愉快,生活愉快。
此章节为最新补增收录。

摘自独立学者,科普作家灵遁者物理书籍《变化》