
是丑还是美?
Q:

数学上有哪些丑陋的公式?
关于丑没有严格的界定。
A:
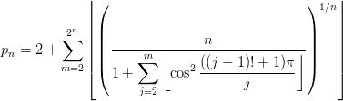
@Yu Deng:
以

表示第n个素数。则

然而并没有什么卵用

@子元:
不是很懂你们物理

@张艺瀚提醒有扩写版


@HopLee:
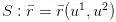
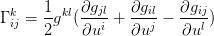
是时候来个微分几何里的公式了!!!
设曲面

是

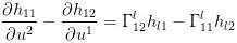
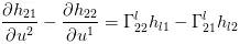
中的光滑曲面(符号上面不方便写箭头,我用横杠表示向量了),则有曲面在自然标架下的运功方程:



其中

为法向量

,

、分别为曲面第一、第二基本形式系数矩阵,


是第二类Christoffel符号。
引入黎曼曲率张量

(Gauss方程)


(Codazzi方程)
觉得这几个公式很奇怪并且不长不恶心是吧,我是不会告诉你它里面用了爱因斯坦求和约定(两个相同指标就表示求和),有兴趣可以吧每个式子展开写一写(手动微笑)!
初学者一枚,搞微分几何的勿喷

@bigeast:
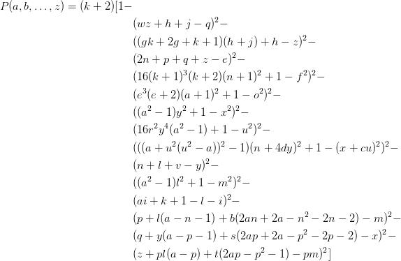
Jones, Sato, Wada,Wiens 在1976年提出了一个包含26个变量的多项式 ,它的所有正整数值构成了所有的素数,也即

。

重新输入了公式,然后注意到中括号里面是1减去14个完全平方项,也就是当14个完全平方项都为零的时候,多项式的值才会大于零,从而为素数。
根据维基百科,这个公式其实可以看作是用14个丢番图方程来限制变量k,方程组的解使得k+2为素数。
尝试写个程序验证一下这个公式
https://gist.github.com/bigeast/cc89c8efd9b791440f9d,结果发现几乎所有的值都是负数。因此通过它来寻找或者验证素数都是不实际的。
普通人认为的丑,应该是不需要数学的专业知识也能很快理解公式中的符号,只是不能快速从中找出规律然后记住。如果包含了太多的专业符号,甚至连“丑”也无从谈起了。
Srinivasa Ramanujan(拉马努金) 发现的许多公式就基本上只包含整数之间的初等运算,但又让人很难快速记住,例如:

这种包含着“随机”数字的公式在我看来一点也不妙,但从这些数字竟然能得到。
简直让人想不到!
Ramanujan还有好多类似的包含“随机数字”的与无穷级数、连分数有关的公式,有兴趣不妨去开开眼界。
但哈代发现了这些看似丑陋的公式背后隐藏的数学真理,为这些公式寻找别的数学家能够看得懂的证明(所以天知道Ramanujan是怎么想出这些公式的),于是造就了数学史上的一段佳话。

所以普通人认为“丑”的公式,在数学家看来却别有一番风情呢。
“超级数学建模”(微信号supermodeling),每天学一点小知识,轻松了解各种思维,做个好玩的理性派。60万数学精英都在关注!