一年一度的高考成绩出来了,部分考生分数很高,比如650分以上,985大学肯定在望,家庭肯定是喜气洋洋。大家觉得这些学子肯定是未来的人生赢家。
另一方面,我们又听到很多本科生找不到工作,即使找到了,也就七八千的工资,而很多研究生在送外卖,一般的研究生毕业,工资也就1万5左右。博士生毕业一年也就30多万的工资,低得可怜。以至于很多人编了顺口溜,本科贱如狗,硕士满街走,博士不挣钱,教授爱喝酒。
真实的情况究竟如何呢?有网友曾经问铁匠,说铁匠手里有完整的人口普查数据,能不能够出一期关于我国真实的不同学历的人数占比情况分析文章。
铁匠查阅了手中的第七次人口普查数据库,确实有截止2020年度的我国各省的人口学历情况人数。铁匠决定发布一期关于我国人口学历层次结构的专题文章。本期我们先来看看博士学历人数占比情况

学历金字塔尖的博士研究生
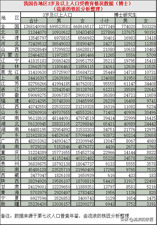
先来看看我国各省常住人口中最高学历层次-博士生人数的占比情况及总人数情况:

各省的博士研究生占比情况
在占比上,我国目前博士生数量占总人口的比例为0.0934%,差不多千分之一的样子,还是属于凤毛麟角。占比最高的是北京市,达到总人口的1.0676%。是全国平均水平的11倍!其次是上海,比例为0.5492%,只有北京的一半。所以在高层次人才中,北京还是远远强于上海的。
全国超过平均水平的省市为北京、上海、天津、陕西、湖北、江苏、吉林和浙江。没有想到陕西这么强!值得点赞!
拥有一线双雄广州与深圳的广东省,拥有的博士比例居然低于全国平均水平。甚至低于东北三省,让人大跌眼镜。
在铁匠的印象中,深圳和广州,尤其是深圳,不是建立了大量的研究中心,吸引了非常多的博士吗?不知道是什么原因,知道的朋友可以发表一下自己的看法。
而排名靠后为*藏西**、贵州和广西。在我印象中,广西的情况应该不差呀,居然排名这么靠后。
然后我们再来看看,男性博士人员和女性博士人员的占比情况。

各省男性人口博士研究生占比情况
男性占比前三位的没有变化,仍旧是北京、上海和天津。后三位为*藏西**、*疆新**和贵州。

各省女性博士研究生占比情况
女性博士人数占比方面,前三位仍旧是三大直辖市,领先优势实在是太多了。
后三位则为*藏西**、贵州和广西。
除了占比以外,我们再来看看绝对数量情况:

各省博士研究生学历人数统计
以上数据为第七次人口普查年鉴数据,截止日期为2020年10月31日。
各省人数在。北京市拥有227866名博士研究生,傲视全国。上海则有134088名,北京的一半多一点。江苏拥有95555名博士,超过了广东的93872人。
绝对数量方面,截止2020年10月31日,我国常住人口中获得博士数量的人数为127万人,相当于14亿人口,这个数量确实还是非常稀少的。随着我国博士招生数量的扩大,铁匠相信到下一次人口普查的时候,这个比例会大幅度上升。
作为父母,铁匠希望每一个孩子都能够读到博士,我相信这也是每一个父母的心愿。但是,现在博士仅仅占人群总数的千分之一的时候,竞争就已经非常厉害了,如果真的每个孩子都能够读到博士,真的是一件好事吗?铁匠自己也没有把握!
好了,今天我们先分析博士研究生占比数量,后续再分析硕士、本科和大专等不同学历层次的占比情况,有兴趣的朋友可以关注铁匠,了解更多关于中国人口信息的文章。