

功率因数是针对不同的负载说的,在之前的直流电时代,是没有功率因数这一说的,那时候功率因数都是1。后来特斯拉将我们带入了交流电时代,从此以后功率因数就常常伴随着我们的身边(一般功率因数都是小于1的)。 下面就给大家讲一讲无功补偿的原理、补偿形式,供大家学习参考。







3)集中补偿
集中补偿是所电容器组集中安装在变电所的一次或二次侧的母线上。这种补偿方式安装简单,运行可靠,但补偿效果较前两种补偿方式差,造价也相对较高。
(4)无功补偿的收益
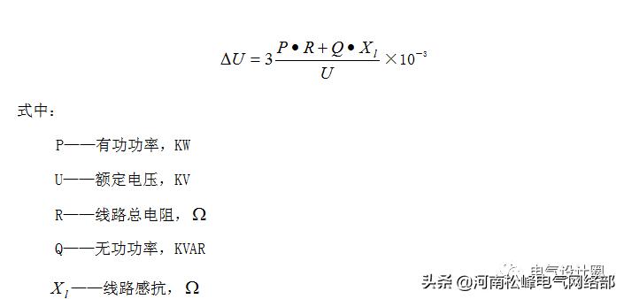
1) 补偿无功功率,提高功率因数(如下图所示)









注:动态无功功率补偿装置的有功节能只是降低了补偿点至发电机之间的供配电的损耗。所以高压网侧的无功补偿不能减少低压阀侧的损耗,亦不能使低压供电变压器的利用率提高,根据最佳补偿理论,就地动态无功功率补偿节能效果最为显著。