考研三角函数必背公式 (考研反三角公式汇总)

cot(x)=1/tan(x)

sec(x)=1/cos(x)

csc(x)=1/sin(x)

余角关系

考研反三角函数公式表值表,考研三角函数必背公式

考研反三角函数公式表值表,考研三角函数必背公式

考研反三角函数公式表值表,考研三角函数必背公式

负数关系

考研反三角函数公式表值表,考研三角函数必背公式

考研反三角函数公式表值表,考研三角函数必背公式

考研反三角函数公式表值表,考研三角函数必背公式

考研反三角函数公式表值表,考研三角函数必背公式

考研反三角函数公式表值表,考研三角函数必背公式

考研反三角函数公式表值表,考研三角函数必背公式

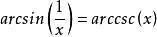
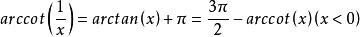
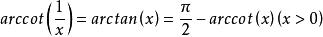
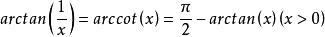
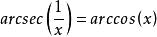
倒数关系

考研反三角函数公式表值表,考研三角函数必背公式

考研反三角函数公式表值表,考研三角函数必背公式

考研反三角函数公式表值表,考研三角函数必背公式

考研反三角函数公式表值表,考研三角函数必背公式

考研反三角函数公式表值表,考研三角函数必背公式

考研反三角函数公式表值表,考研三角函数必背公式

考研反三角函数公式表值表,考研三角函数必背公式

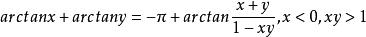
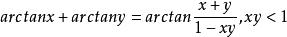
加减法公式

arctanx+arctany

考研反三角函数公式表值表,考研三角函数必背公式

考研反三角函数公式表值表,考研三角函数必背公式

考研反三角函数公式表值表,考研三角函数必背公式

arctanx-arctany

考研反三角函数公式表值表,考研三角函数必背公式

考研反三角函数公式表值表,考研三角函数必背公式

考研反三角函数公式表值表,考研三角函数必背公式

arccotx+arccoty

考研反三角函数公式表值表,考研三角函数必背公式

考研反三角函数公式表值表,考研三角函数必背公式

考研反三角函数公式表值表,考研三角函数必背公式

本文来自牛顿不会飞