竞价广告市场,不单指搜索竞价广告,例如百度、谷歌之流,也包括其他竞价类广告,例如RTB即实时竞价之类。
通常分析互联网广告,竞价类广告,都是广告流程、系统角色之类的角度进行分析。而本文则会从经济学角度去剖析竞价类互联网广告的商业机制,以及其中的竞价策略。
所谓竞价广告,都是从传统的拍卖理论发展而来的,一般情况下都有一阶或者二阶机制两种,一般情况下的RTB市场采用的是一阶机制,即流量由价高者得;而搜索推广广告则基本为二阶机制,在第二名出价的基础上增加一点点价格,例如百度搜索推广宣称是加1分钱。
无论是一阶还是二阶理论,其本质都是买卖双方讨价还价的一套机制而已。那么问题来了,为什么要讨价还价?买卖双方如何对所交易的流量进行估值?
既然是买卖,既然是一个商业行为,那么必然会涉及到市场的三要素:商品、供给和需求。
回到互联网竞价广告来看,那么商品自然就是流量,而流量的供给来自于网民的浏览行为,需求来自于广告主推广自身产品的诉求。

在竞价广告市场当中,既然流量是商品,那么流量比然会具有商品所具有的的经济学特征,在研究其经济学特征之前,我们首先要定义商品。
对于具体的不同的互联网广告形式,商品的具体定义会有不同,虽然说都是流量,但是流量的表征仍然是各不相同的。以搜索竞价类广告为例,很明显该类流量是通过关键词来进行表征的,而对于互联网视频广告而言,其表征则是该广告所依附的视频内容。而除了这些流量的首要特征之外,实际上广告主在够买流量时还会考虑到流量的其他特征,例如时段、终端、地域等。

在交易过程中,我们首先需要考虑的两个指标是供给和需求,一般意义上的商业交易中供给方会根据市场上价格变动的情况来确定开工生产的数量,也就是控制供给量,从而保证自己的利润。然而,对于互联网企业而言,在这里有一个很大的不同,就是商品的特性:
· 流量的产生量并不能够控制,每天每一时刻有多少网民访问并不是能够控制的,这取决于媒体所提供的内容的质量,而内容质量实际上又并不能够立刻反映到访问量上来。
· 由于固定成本的存在,投入与流量产出的关系并非是线性关系,通过大量的流量可以摊薄固定成本,因此对于媒体而言,尽力通过规模效应来摊薄成本几乎是唯一选择。
· 流量这种商品的保鲜期极端,当网民的一次访问产生时,需要在零点几秒之内被卖出,如果在这个时间内无法卖出,则该流量不再具有商业价值,网民就会得到一次纯净无干扰的访问体验。
因此,我们讨论媒体的供给曲线基本上无意义,我们基本可以认为这是与价格无关的一条直线。
下面,我们重点讨论流量的需求侧。
无论是一价机制还是二价机制,由于流量的保质期极短,因此都不可能采用后出价的方式,广告主必须在竞价之前便设定好自己的需求以及最高出价,如果对流量的这些需求以及出价进行统计,并和流量的供给进行比对,我们基本上可以得到这样一个供需图表:

分析流量的供给和需求曲线的关系,我们会发现说两条曲线围起来的部分便是对于该流量而言我们可以获得的最大收益。
根据供给和需求的关系,基本上这两条曲线的关系可以分为两种情况:
1. 供大于求的情况,供给曲线在需求曲线的右侧,两者无相交,广告主的所有需求均可得到满足
1. 供不应求的情况,供给曲线和需求曲线在图中相交,需求曲线中在供给曲线左侧的部分可以得到满足,而右侧的部分无法得到满足
其中对于采用二价机制的广告竞拍方式,我们还可以在上图叠加一条成交曲线:

成交曲线不可能和供给曲线相交,因为广告最终展现量不可能大于流量供给量。对于二价竞价机制而言,只有成交曲线所围起来的部分才是媒体实际所得到的收益,而需求曲线和供给曲线之间的差距则是收入的潜在提升空间。
分析完了供求情况,下面就可以分析一下产生供需差距的原因了。
不同的互联网广告模式对于收入的算法各不相同,但是具体到本命题而言,基本上所有的竞价类互联网广告都会受到如下几个指标的影响:
· PV * PVR * ASN:这是供给量,也就是供给曲线的构成
· CPM:成交价格,在竞价机制下,最终的成交价受竞争程度的影响很大。
为了要获得更大收益,一种方案是提高供给量,但是前面已经论述过,PV基本可认为不受控制,PVR也是,而随意增加广告位也即提高ASN的话是会严重影响用户体验的。
而且,成交还会受需求的影响,如果是供大于求的情况,继续提高供给量其实并没有意义。
但也不是完全没有办法,从单个商品来看总会有供不应求的和供大于求的,而如果多个商品综合起来看呢?能不能去找到一些办法平衡一下这些商品的供需矛盾呢?
我们也可以想办法刺激竞争,以提高CPM,从而获得更大的收益。
当然价格也不是随意增长的,价格曲线规律告诉我们,当价格上涨到一定程度是有可能会引起需求量的急剧下降,最终导致得不偿失的。
要回答某个流量商品究竟定到一个什么样的价格比较合适,那么就需要去研究该商品的价格弹性:

根据计算出来的需求价格弹性,我们可以将流量分为高弹和低弹两类:
· 高弹流量商品的特征是随着价格的升高需求量会大幅减少,其实是得不偿失的
· 低弹流量商品的特征是随着价格的升高需求量并不会显著减少,因此可以通过一定办法提高成交价格
无论是高弹商品还是低弹商品,理论上而言总会找到一个价格,在该价格上弹性等于1,在该价格上继续提价价格会变为高弹性,降低价格则会转变为低弹性,我们可以称其为舒适价格。在该价格上可以实现媒体利益最大化。
刚才说到刺激竞争提高CPM单价,这里又会涉及到另外一个问题,就是竞价广告市场生态的问题。
和我们现实环境下的商业生态类似,在市场竞争过程中一定会存在着自由竞争和寡头垄断的情况,在前期自由竞争阶段,生产效率高的竞争者慢慢会脱颖而出,成为这个市场中的胜利者,而当胜利者产生后它会拥有不对称的竞争优势,利用这种优势取得垄断地位后会进一步获取超额的利润,从而损害市场的整体利益。
竞价广告市场概莫能外。
作为采用竞价机制来售卖广告的媒体,无论你是采用一价机制还是二价机制,无论你是搜索广告的王者还是RTB的巨头,都有维护好这个流量市场的义务,保持这个市场中竞争的平衡。也就是反垄断。
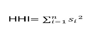
我们可以用HHI,也就是赫芬达尔赫希曼这个指数来衡量市场中的垄断状况,具体到竞价广告市场上来,HHI可以这样定义:
对于某一市场,若市场上有n个广告主获得了最终展现,
则该市场的:

其中,si为第i个广告主所获得展现在总展现中的份额
HHI在1/n ~ 1之间变动,数值越小,表明市场竞争越趋于完全
竞争;数值越大,表明市场竞争越趋于垄断。
好了,有了前面的这些指标,我们现在可以对我们的流量进行量化的分析:
首先把流量按照弹性进行分开,分为高弹性和低弹性的流量,然后再按照供大于求和供小于求进行区分,至于HHI,按照美国司法部的标准,高于0.18基本可以认为是I型垄断,暂时我们也以这个为标准吧,媒体可以根据自己的具体情况具体定义。
这样基本上就可以分为8个象限了,这是一个三维结构,为了简单起见,我把它画成两个二维结构,以低弹性的流量商品为例,它大概是这个样子:

分析完了以后,大概就知道自己媒体里面的流量在商业上都是个什么情况了,然后就可以根据不同的情况采取不同的竞价策略了。
什么?具体该采取什么样的策略?这当然就要看看自己手里面有些什么样的手段可以用了。一般而言,最好的状态就是左下角的供不应求且充分竞争的态势。其他几个象限往这个方向靠就是了。具体来说,大约可以这么干:
· 拉新:引入更多的新客户,或者没有参与竞买该流量的老客户
· 降价:降低价格促进一部分人的购买量,至于对谁降价,其实这也是需要仔细考虑一番的
· 替换:买不起Iphone可以去买小米嘛对吧,买不起价格高的流量那么能不能看看价格相对较低的流量呢?关键就是,哪些流量之间是具有可替代性的?
一个好的竞价策略不是千篇一律对所有不同特征的流量一视同仁的,也不是不管广告主特征无脑促销的,既然是价格歧视嘛,那就要歧视得有理有据有章有法。下一篇文章我们就来谈谈如何从经济学的角度分析广告主并结合流量来采取不同的竞价策略。
PS:实际上上述流量市场分析可以不仅仅适用于竞价广告,也可适用于合约式广告,但对于合约式广告而言,难点在于销售谈判所起的作用占比非常大,因此想要绘制出能够指导广告销售策略的需求曲线会非常困难。