麦克斯韦是19世纪英国伟大的科学家和数学家,以他的名字命名的麦克斯韦方程组被称为人类最美数学公式。凭此公式麦克斯韦开启了人类的电气时代,他更是成了可以比肩牛顿和爱因斯坦的科学家。
赵堡太极拳,发源于武当山张三丰祖师,传承至今已经400多年历史了,被广大太极拳爱好者称为绿色无污染、纯天然、原汁原味的太极拳,学习过赵堡太极拳的都知道赵堡太极拳的好,在此不在累述。
在我看来赵堡太极拳和麦克斯韦方程组,有极大的联系。练习赵堡太极拳是能够感觉到开合及阴阳的转换,这种对立和统一关系从麦克斯韦方程组的数学公式中也能够体现出来。
下面具体来讲一下麦克斯韦方程组,从物理概念的角度看一下它们之间的联系。

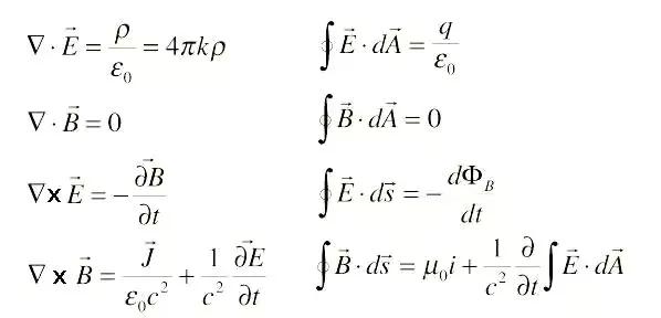
上式中左边为微分形式,右边为积分形式。
现分别说明每个式子的大概物理意义,如果读者对详细的数学和物理意义感兴趣可以联系我,详细讨论。
第一式:高斯定理,物理意义是空间某一点和某一个区域电荷量的多少,可以通过电场线的微分和积分来计算。
第二式:磁场无散原理,大白话就是目前为止还没有找到磁单级子,如果谁能在实验中找到,绝对能获得诺贝尔物理学奖,希望学习赵堡太极拳的正在读书的学子们能够发现,诺贝尔奖和赵堡太极拳结合,自然科学和中国优秀传统文化赵堡太极拳相结合,那将是科学和文化的一次完美融合。
第三式:法拉第电磁感应定律,它的物理意义是,磁通量的变化将使磁场能够产生电场,且电场是有旋的,等号右边的负号是楞次定律(楞次俄罗斯海军上将兼物理学家)。这里电和磁的相互转化和太极拳阴阳转换、开合转换有异曲同工之妙。
第四式:全电流安培-麦克斯韦环路定律,它的物理意义是,产生磁场的原因除了,传导电流之外,还有位移电流,位移电流是麦克斯韦完全使用数学方法,紧紧依靠纸和笔推算出来的,所以说,麦克斯韦不仅是大科学家而且在当时也是一等一的数学家。
麦克斯韦方程组被称为最美数学公式,在于它哲学上的对立和统一,以及矛盾的转化和对称性,这点和赵堡太极拳是一样的,赵堡太极拳能够开启人的智慧,我当时在学习的时候百思不得其解,然而我在耍赵堡太极拳的时候感受到开合转化的时候,就理解了麦克斯韦方程组,当时不知不觉地就豁然开朗了,我立刻找到纸笔,手工推导波动方程,此时我终于明白了当年麦克斯韦是如何推导波动方程从而预言电磁波的存在的,那种感觉太美了,是自然科学之美,是赵堡太极拳自然之美。
我觉得我能略微明白这个方程组,完全是赵堡太极拳的功劳,她能够开启人的智慧,能够让人有一颗安静得心,由静才能生慧,才能静下心来做事,心静了不管做什么都能做好。所以我建议搞电子、通信、射频、微波的工程师,以及在校的相关方向的本科生、硕士、博士都能学习赵堡太极拳她能为你带来智慧,有助于你的工作和学习。当然中小学学生,如果想成为科学家、工程师、数学家的也建议学习赵堡太极拳,学了对学习是有一定帮助的。
最后希望赵堡太极拳传人在读书的都能够好好学习能够发现磁单级子,这样就可以给瑞典诺贝尔奖委员会讲一下赵堡太极拳和麦克斯韦方程组的关系,也是一件很有趣的事。