锐角1度到89度每一个整数度的三角函数值
读书的时候,以为30度,45度,60度是特殊的,后来知道了15读是特殊的,再后来又问:1度是特殊的吗?只要1度是特殊的,那么我们就可以根据两角和与差的三角函数公式得到其他整数度的三角函数值.所以,1度的三角函数值怎么求呢?






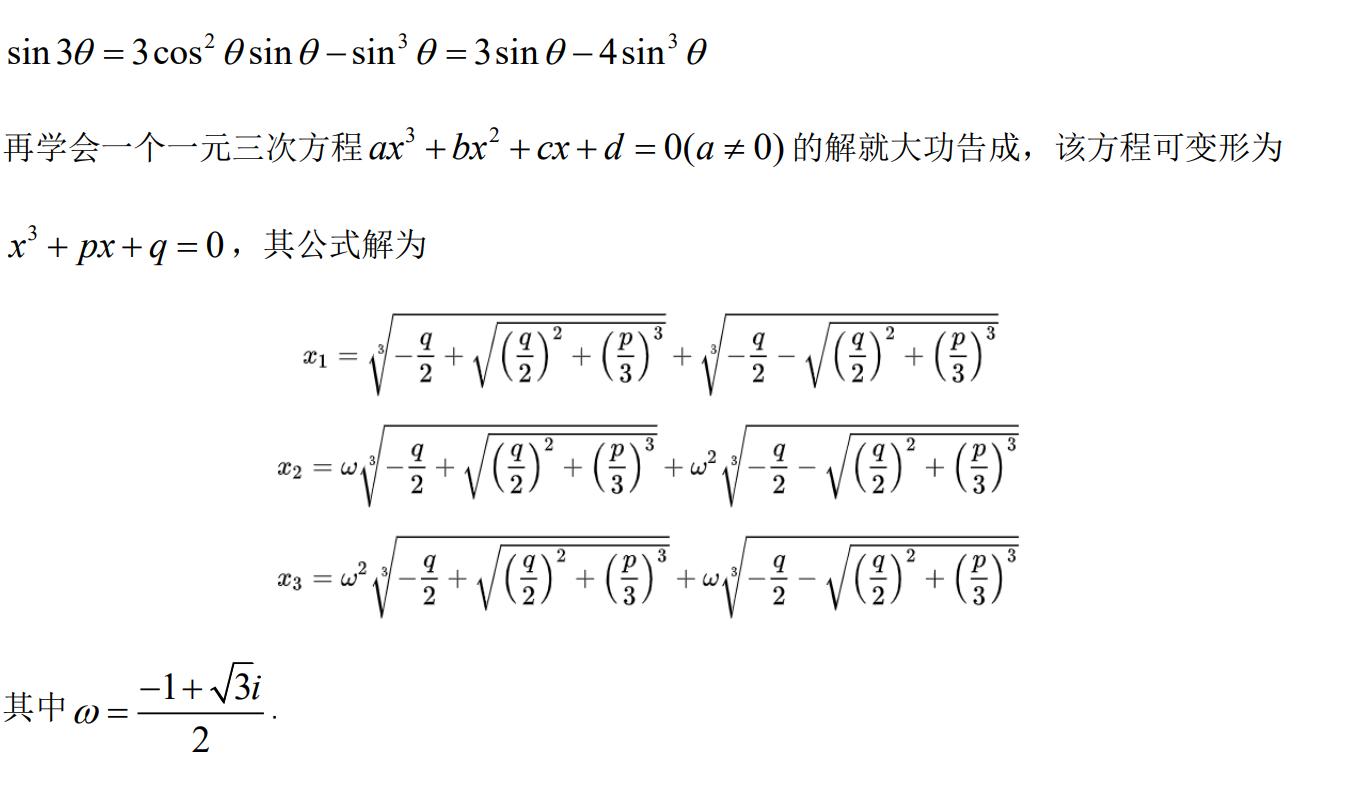
要用到三次方程的解

其实,学习就是有了一个问题,想办法去解决它,如果不能解决,那就看看新的知识能不能解决,还不行,就只能是自己去发现新知识去发明新方法。要喜欢数学,就从提出问题开始,从解题中结交好朋友!
锐角1度到89度每一个整数度的三角函数值
读书的时候,以为30度,45度,60度是特殊的,后来知道了15读是特殊的,再后来又问:1度是特殊的吗?只要1度是特殊的,那么我们就可以根据两角和与差的三角函数公式得到其他整数度的三角函数值.所以,1度的三角函数值怎么求呢?






要用到三次方程的解

其实,学习就是有了一个问题,想办法去解决它,如果不能解决,那就看看新的知识能不能解决,还不行,就只能是自己去发现新知识去发明新方法。要喜欢数学,就从提出问题开始,从解题中结交好朋友!