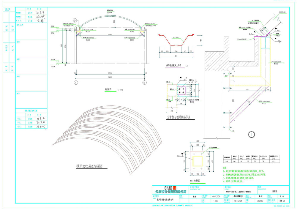
这是浙江杭州桐庐某粮食储备库的仓间罩棚图纸,本次需要的仓间罩棚跨度为14米,长度为59.4米,罩棚的结构为拱形波纹钢屋盖结构,使用的板材厚度为1.2mm厚度,本次使用的下部结构为钢结构,我们首先在墙体上用化学螺栓打上预埋铁板,然后在该预埋铁板上焊接上200×200×6的方管钢牛腿,每间隔3.1米1道,在方管的上方,我们安装sm250×175×7×11的工字型钢,在工字钢上我们焊接上钢托板,最后将我们的拱形屋顶安装在该钢托板上。
需要我们施工的拱形波纹钢屋盖的型号是914-610型,它的宽度是610mm,高度是180mm,在安装拱形屋顶的时,我们要在拱形屋顶与钢托板的下方安装一道0.5mm厚度的彩钢泛水板。



图纸拱形屋顶施材料选用及要求
1 、本工程钢结构材料应遵循下列材料规范:
《碳素结构钢》(GB/T700-2006)
《低合金高强度结构钢》(GBT1591-2018)
《碳钢焊条》(GB/T5117-95)
2、本工程所采用的钢材应满足国家材料规范要求。
3、屋面压型板
12.06m跨屋面板采用单层上海宝钢产TS280GD钢板(TS280GD彩色镀锌钢板),彩板厚度1.2mm,彩板屈服强度不小于280MPa,抗拉强度不小于360MPa .颜色中灰色,彩钢泛水板应能满足15年使用质保要求。
4、连接角钢
连接角钢采用异形角钢,并沿梁通长设置 ,连接角钢和钢梁及钢牛腿均采用Q235B级钢材,钢材应具有抗拉强度,伸长率 ,屈服强度和硫 、磷含量的合格证 ,对焊接结构尚应具有碳含量的合格保证 .
5、砼结构
梁、柱砼等级为C30,基础砼等级为C25;垫层为C15。
四、拱形波纹钢屋盖的制作与加工
1、屋面板
成型设备安装就位,将金属平板压成直梯槽板,然后再将直梯槽板压成拱型屋盖板。
五、构件的运输、检验、堆放
1、在运输和操作过程中应采取措施防止构件变形和损坏。
2、在安装前应对构件进行全面检查:如数量、长度、角度等。
3、构件堆场应事先平整夯实,并做好四周排水。
六、拱形波纹钢屋盖安装
1、连接角钢
将制作成型角钢通长焊接于钢梁上。
2、拱形波纹钢屋盖安装
在吊装时应采取有效措施确保结构稳定并防止产生过大变形。
a、在地面用封边机将成型的小单元板每三块拼接成一大块单元板;
b、吊车起吊屋顶;
c、屋盖板就位后,用不锈钢螺栓将拱脚栓接于连接角钢上;
d、将吊顶预埋件置于单元板缝中,每两块单元板用封边机咬合。
3、当雷雨天气和风力超过4级时,不得进行屋盖结构的吊装。
4、连接角钢两肢与水平面的夹角应根据结构的实际矢跨比确定,在拱脚处弧形槽板应与连接角钢自然贴合。