电动力学:麦克斯韦方程组(01)

点击 蓝字 关注 笨笨物理小世界
上一周因为先是电脑屏幕坏了,修完之后又是马上要计算机等级考试,所以一周没有更新,这周应该会有两到三篇的更新哒!
电磁感应定律
在奥斯特发现了电流的磁效应之后,有许多人便产生了这样的一个想法——既然电流能产生磁场,那么反过来,磁场能不能产生电流呢?
1831年,法拉第在实验中发现了当磁场发生变化时,闭合线圈中有电流通过。之后法拉第通过了大量的实验总结出了电磁感应定律,他的实验表明:仅当通过这个线圈的磁通量产生变化时,线圈之中才会产生感应电流; 电流的大小与线圈材料的电导成正比。
其中,后面一点说明了电动势是电磁感应中更基本的物理量,同时法拉第也给出了感应电动势的表达式:


而楞次则是给出了感生电动势(电流)的方向,简单来说就是:感生电动势的产生是为了抵消磁通量的改变。
线圈上产生电流,说明了电荷在进行定向移动,即电荷受到了电场作用发生了运动。所以我们可以知道线圈上有感应电流说明了空间中存在着电场。电磁感应现象的实质是变化的磁场在其周围的空间中激发了电池。
接下来我们从电磁感应中更为基本的物理量——感应电动势入手,更进一步地来剖析这一现象。
电动势的定义为外力将单位电量的电荷在环路上驱动一周所提供的能量,所以我们可以将电动势表述为:

由此我们就能得到:

利用斯托克斯公式我们就能得到微分形式:

从中,我们可以看出感应电场与静电场不同,感应电场是一个有旋场。
位移电流
在之前我们已经讨论过变化的磁场激发电场以及恒定电流会产生静电场,那么我们会很自然地去思考,变化的电场是否能激发磁场?
在之前对于恒定电流的讨论中,我们得到过一个恒定磁场的基本微分方程:

现在我们对这个基本微分方程做一些小变化,我们有:

我们知道,矢量场旋度的散度必为零,所以等式左边为零;然而,对于等式右边,之前就已经说过,只有在恒定电流的条件下,电荷密度不随时间的改变而改变时,才为零。当电场是变化的时候,这个式子就不成立了,因为根据之前讲到的电荷守恒定律的微分形式来看:

很显然,二者产生了冲突。而对于变化的电场而言,我们只能抛弃从恒定电流中得到的结果,选择普适的电荷守恒定律。
而同样,如果我们想用恒定电场的基本微分方程来描述所有的情况,那么我们也应当进行一定的修正,或者说推广。
既然电荷守恒定律给出的微分形式满足为零的条件,我们可以用它来进行替换,我们就能得到:

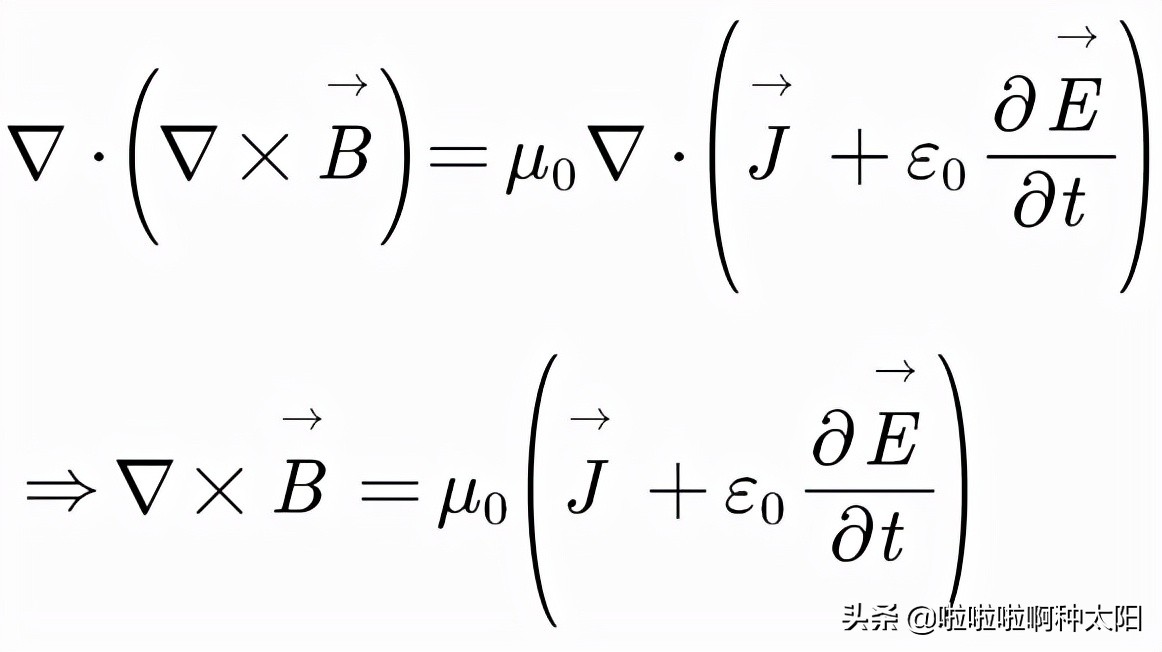
观察这一等式,由于我们想要得到磁场的旋度来作为电磁场的基本方程之一,因此我们需要在等式的右边提取出nabla算符,考虑到电荷和电场的关系,我们就能得到:

麦克斯韦在这里引入了一个新的量:

这被称为位移电流。位移电流假设的正确性由以后关于电磁波的广泛实践所证明。对于位移电流,我们也可以理解为平行电容板两极电荷的增减产生了位移电流。
真空中的麦克斯韦方程组
现在我们已经将静电场和静磁场推广到变化的情况,我们也得到了两个新的方程,我们将电磁场分别用电场和磁场的散度与旋度来描述就能得到:

这就是真空中的麦克斯韦方程组。
麦克斯韦方程组可用于静电场和静磁场,也可以用于随时间变化的电场和磁场;变化的电场、磁场可以交替激发,形成电磁波,这是麦克斯韦方程组最重要的理论预言;变化的磁场激发的电场与静电场不同,电场线是闭合的,即电场线即可不闭合,也可闭合;磁感线总是闭合的。
麦克斯韦方程组的意义:麦克斯韦方程组在电磁学与经典电动力学中的地位,如同牛顿运动定律在牛顿力学中的地位一样。以麦克斯韦方程组为核心的电磁理论,是经典物理学最引以自豪的成就之一。它所揭示出的电磁相互作用的完美统一,为物理学家树立了这样一种信念:物质的各种相互作用在更高层次上应该是统一的。这个理论被广泛地应用到技术领域。
下期预告
在我们得到真空中的麦克斯韦方程组之后,我们又不免地想要知道假如不是真空,那么情况是否会有所变化呢?
在下一期的电动力学专题中,我们将看到在介质中的麦克斯韦方程所展现出来的不同。各位对电磁世界好奇的小伙伴,我们下期专题见啦,喜欢的话记得点一下关注哦!
编 辑|笨笨
校 对|笨笨
审 核|笨笨
