如今各地初中生还没有到学校上课,但是已经开始利用网络上课了,为了能够帮助正在准备今年中考的学生,和初三的学生一起交流第一轮复习的知识点。中考第一轮复习重在全面,夯实好基础。今天和同学们交流学习的是二次根式的相关知识点,概况知识点,通过注意事项帮助同学们把握要点,通过例题的形式,帮助同学们明确考法。

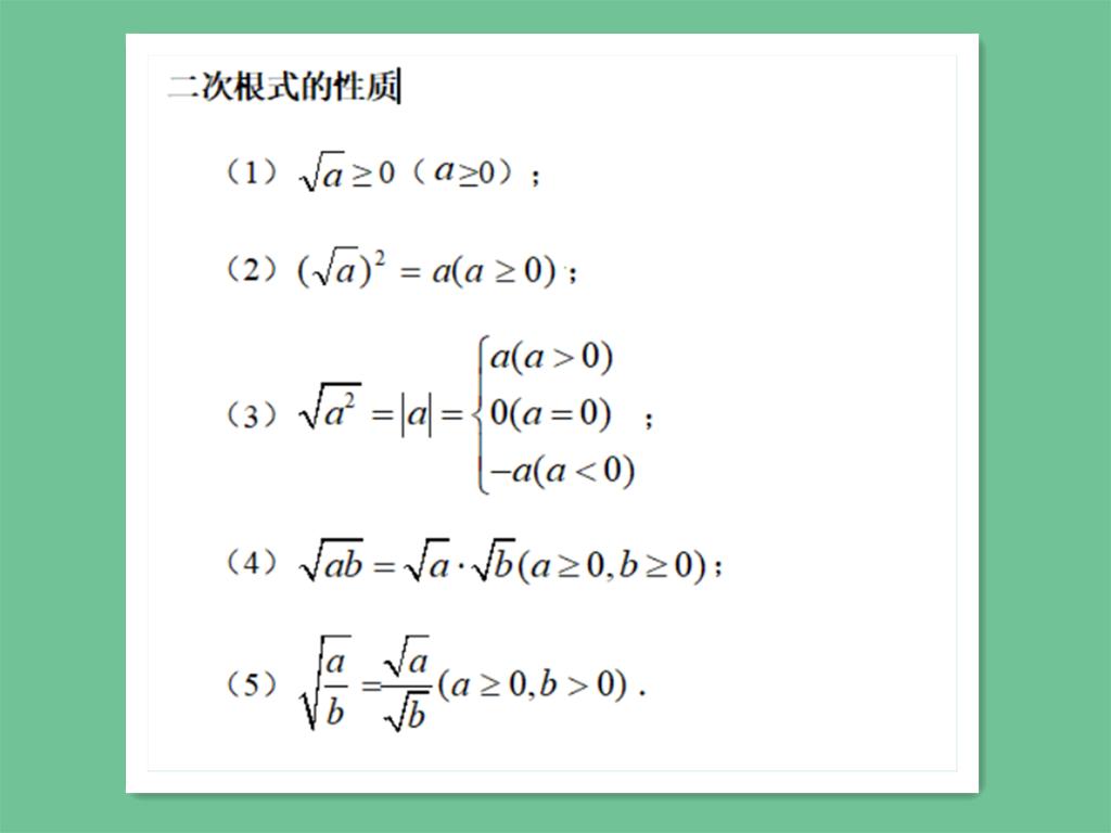
1.二次根式的有关概念。(1)二次根式的概念,注意被开方数a只能是非负数,即要使二次根式√a有意义,则a≥0。(2)最简二次根式, (3)同类二次根式: 化成最简二次根式后,被开方数相同的几个二次根式,叫做同类二次根式。2.二次根式的性质。3.二次根式的运算,(1)二次根式的加减,也就是合并同类二次根式。(2)二次根式的乘除,掌握乘法和除法法则。(3)二次根式的混合运算,二次根式的混合运算顺序与实数的运算顺序一样,先乘方,后乘除,最后加减,有括号的先算括号内的。在运算过程中,乘法公式和有理数的运算律在二次根式的运算中仍然适用。

考向一 二次根式的概念与性质

解析:这类题型需要掌握:1、二次根式的意义:首先考虑被开方数为非负数,其次还要考虑其他限制条件,这样就转化为解不等式或不等式组问题,如有分母时还要注意分式的分母不为0。2、利用二次根式性质时,如果题目中对根号内的字母给出了取值范围,那么应在这个范围内对根式进行化简,如果题目中没有给出明确的取值范围,那么应注意对题目条件的挖掘,把隐含在题目条件中所限定的取值范围显现出来,在允许的取值范围内进行化简。第一个例题考查了函数自变量取值范围的求法.要使得本题函数式子有意义,必须满足被开方数是非负数且分母不为零,故选B。第二题选择C。
考向二 二次根式的运算

解析:二次根式的运算常考的有,二次根式的运算:(1)二次根式的加减法就是把同类二次根式进行合并。(2)二次根式的乘除法要注意运算的准确性;要熟练掌握被开方数是非负数。(3)二次根式混合运算先乘方,再乘除,最后加减,有括号的先算括号里的(或先去括号)。因此本题选择A。

解析:二次根式的运算中还经常涉及比较分式与二次根式的大小:(1)分式:对于同分母分式,直接比较分子即可,异分母分式通常运用约分或通分法后作比较;(2)二次根式:可以直接比较被开方数的大小,也可以运用平方法来比较。比较二次根式的大小,可以转化为比较被开方数的大小,也可以将两个数平方,计算出结果,再比较大小。因此本题答案为>。

希望同学们在第一轮复习中,一定要做到全面,同时把基础打牢,掌握重点和考点,明确考向,加油。