不管是一级造价工程师考试还是二级造价工程师考试都会考到预备费及建设期*款贷**利息的计算,小编整理了相关的内容,快一起来学习吧。

预备费及建设期*款贷**利息计算

预备费包括基本预备费和价差预备费
1.基本预备费
项目实施过程中可能发生难以预料的支出,需要预先预留的费用,主要指设计变更及施工过程中可能增加工程量的费用。
基本预备费一般由以下四部分构成:
(1)工程变更及洽商。在批准的初步设计范围内,技术设计、施工图设计及施工过程中所增加的工程费用;设计变更、工程变更、材料代用、局部地基处理等增加的费用。
(2)一般自然灾害处理。一般自然灾害造成的损失和预防自然灾害所采取的措施费用。实行工程保险的工程项目,该费用应适当降低。
(3)不可预见的地下障碍物处理的费用。
(4)超规超限设备运输增加的费用。
基本预备费=(工程费用+工程建设其他费)×基本预备费率
2.价差预备费
(1)价差预备费的内容
价差预备费是指为在建设期内利率、汇率或价格等因素的变化而预留的可能增加的费用,亦称为价格变动不可预见费。
价差预备费的内容包括:人工、设备、材料、施工机械的价差费,建筑安装工程费及工程建设其他费用调整,利率、汇率调整等增加的费用。
(2)价差预备费的测算方法
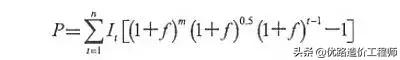
价差预备费一般根据国家规定的投资综合价格指数,按估算年份价格水平的投资额为基数,采用复利方法计算。计算公式:

式中:
P---价差预备费;
n---建设期年份数;
It---建设期第t年的投资计划额,包括工程费用、工程建设其他费用及基本预备费,即第t年的静态投资计划额;
F---投资价格指数;
t---建设期第t年;
m---建设前期年限(从编制概算到开工建设年数)
【小练习】1.在我国建设项目投资构成中,超规超限设备运输增加的费用属于( )。
A.设备及工器具购置费
B.基本预备费
C.工程建设其他费
D.建筑安装工程费
参考答案:B
【小练习】2.某建设项目建筑安装工程费为6000万元,设备购置费为1000万元,工程建设其他费用为2000万元,建设期利息为500万元。若基本预备费费率为5%,则该建设项目的基本预备费为( )万元。
A.350
B.400
C.450
D.475
参考答案:C
答案解析:
基本预备费=(6000+1000+2000)×5%=450万元
【小练习】3.在建设工程项目总投资组成中的基本预备费主要是为( )而预留的。
A.建设期内材料价格上涨增加的费用
B.因施工质量不合格返工增加的费用
C.设计变更增加工程量的费用
D.因业主方拖欠工程款增加的承包商*款贷**利息
参考答案:C
【小练习】4.某建设工程项目建设安装工程费为2000万元,设备及工器具购置费为800万元,工程建设其他费用为300万元,基本预备费率为8%,该项目的基本预备费为( )万元。
A.160
B.184
C.248
D.224
参考答案:C
【小练习】5.预备费包括基本预备费和价差预备费,其中价差预备费的计算应是( )。
A.以编制年费的静态投资额为基数,采用单利方法
B.以编制年费的静态投资额为基数,采用复利方法
C.以估算年份价格水平的投资额为基数,采用单利方法
D.以估算年份价格水平的投资额为基数,采用复利方法
参考答案:D
【小练习】6.某建设项目建安工程费1500万元,设备购置费400万元,工程建设其他费用300万元。已知基本预备费率5%,项目建设前期年限是0.5年。建设期为2年,每年完成投资的50%,年均投资价格上涨率为7%,则该项目的预备费为( )万元。
A.273.11
B.336.23
C.346.39
D.358.21
参考答案:D
答案解析:
基本预备费=(1500+400+300)×0.05=110万元
静态投资=1500+400+300+110=2310万元
2310×0.5×[(1+7%)0.5×(1+7%)0.5-1]=80.85万元
2310×0.5×[(1+7%)1.5×(1+7%)0.5-1]=167.36万元
价差预备费=80.85+167.36=248.21万元
预备费=110+248.21=385.21万元
02
建设期*款贷**利息
指项目借款在建设期内发生并计入固定资产的利息。为了简化计算,在编制投资估算时通常假定借款均在每年的年中支出,借款第一年按半年计息,其余各年份按全年计息。
各年应计利息=(年初借款本息累计+本年借款额/2)×年利率
【小练习】1.某新建项目,建设期为3年,共向银行*款贷**1300万元,*款贷**时间为:第1年300万元,第2年600万元,第3年400万元,年利率为6%,计算建设期利息。
参考答案:
在建设期,各年利息计算如下:
第1年应计利息=1/2×300×6%=9万元
第2年应计利息=(300+9+1/2×600)×6%=36.54万元
第3年应计利息=(300+9+600+36.54+1/2×400)×6%=68.73万元
建设期利息总和为114.27万元。
【小练习】2.某项目建设期为2年,第一年*款贷**4000万元,第二年*款贷**2000万元,*款贷**年利率10%,*款贷**在年内均衡发放,建设期内只计息不付息。该项目第二年的建设期利息为()万元。
A.200
B.500
C.520
D.720
参考答案:C
答案解析:
q1=(4000/2)×10%=200万元
q2=(4000+200+2000/2)×10%=520万元
今天的内容就分享到这里,剩下的知识点小编会尽快整理,每天都能进步一点点,加油!
福利来了
造价备考已经开始了
是不是正在为案例题头疼?
不用担心,
小编送大家一波福利

由优路教研团队精心研析
《第一大题详解视频课》
直接可以“秒杀拿走”
让案例不再“难过”!
案例第一大题详解视频课

原价299元,现在免费赠送!
优路实力教研精心讲解案例高清网课,随时随地都能学,以习题的形式,让你快速掌握案例考点,第一章节所以题型都囊括其中,知识点不盲从,教你轻松学案例。