实数大小的比较——精心整理(原理、规律方法总结),适合初二及以上学生学习。
一、实数的大小比较的原理
1) 正负数: 正数>0>负数,正数大于一切负数;
2) 数轴: 数轴上的两个点所表示的数,右边的总比左边的大;
3) 绝对值: 两个正数,绝对值大的就大;两个负数,绝对值大的反而小。
二、 实数大小比较常见方法
实数大小比较常见方法有:数轴法、倒数法、作差法、作商法、放缩法、平方法、估算法、分母有理化等.
三、实数大小的比较常见方法举例及其规律方法
1、数轴法
例1、a , b , c 三个数在数轴上对应的点如图所示,且| a |=| b |.
(1)比较 a ,- a ,- c 的大小;
(2)化简:| a + b |+| a - b |+| a + c |+| b - c |.

打开百度APP看高清图片
数轴
解:(1)可以依次标出 a ,- a ,- c在数轴上的位置
易得- a < a <- c ;
(2)原式=0+2 a +[-( a + c )]+( b - c )
=2 a - a - c + b - c
=2 a - a - a - c - c
=-2 c .
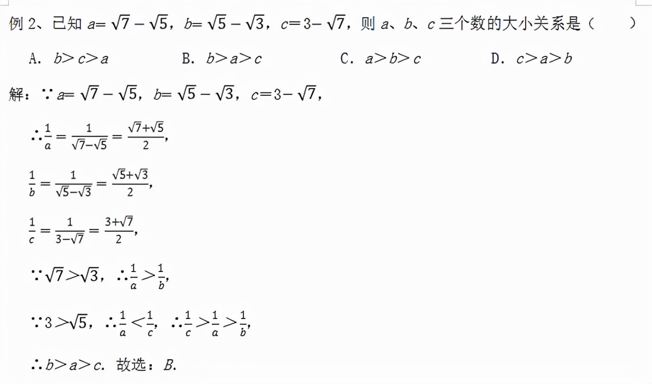
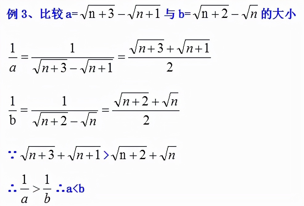
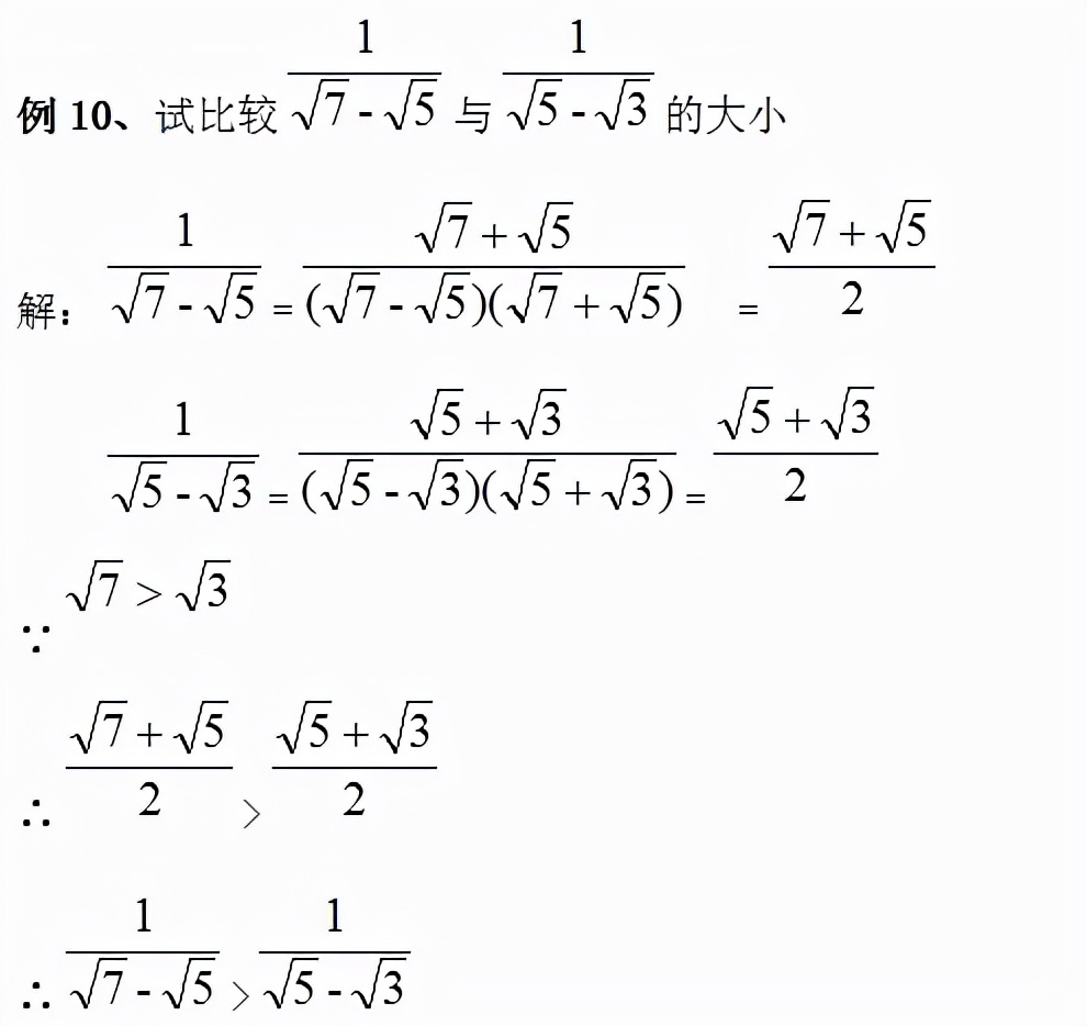
2、倒数法
规律方法:两个无理数的差,被开方数的差相同,因此可取这两个数的倒数,再进行分母有理化,先比较它们倒数的大小,然后再比较它们本身的大小。


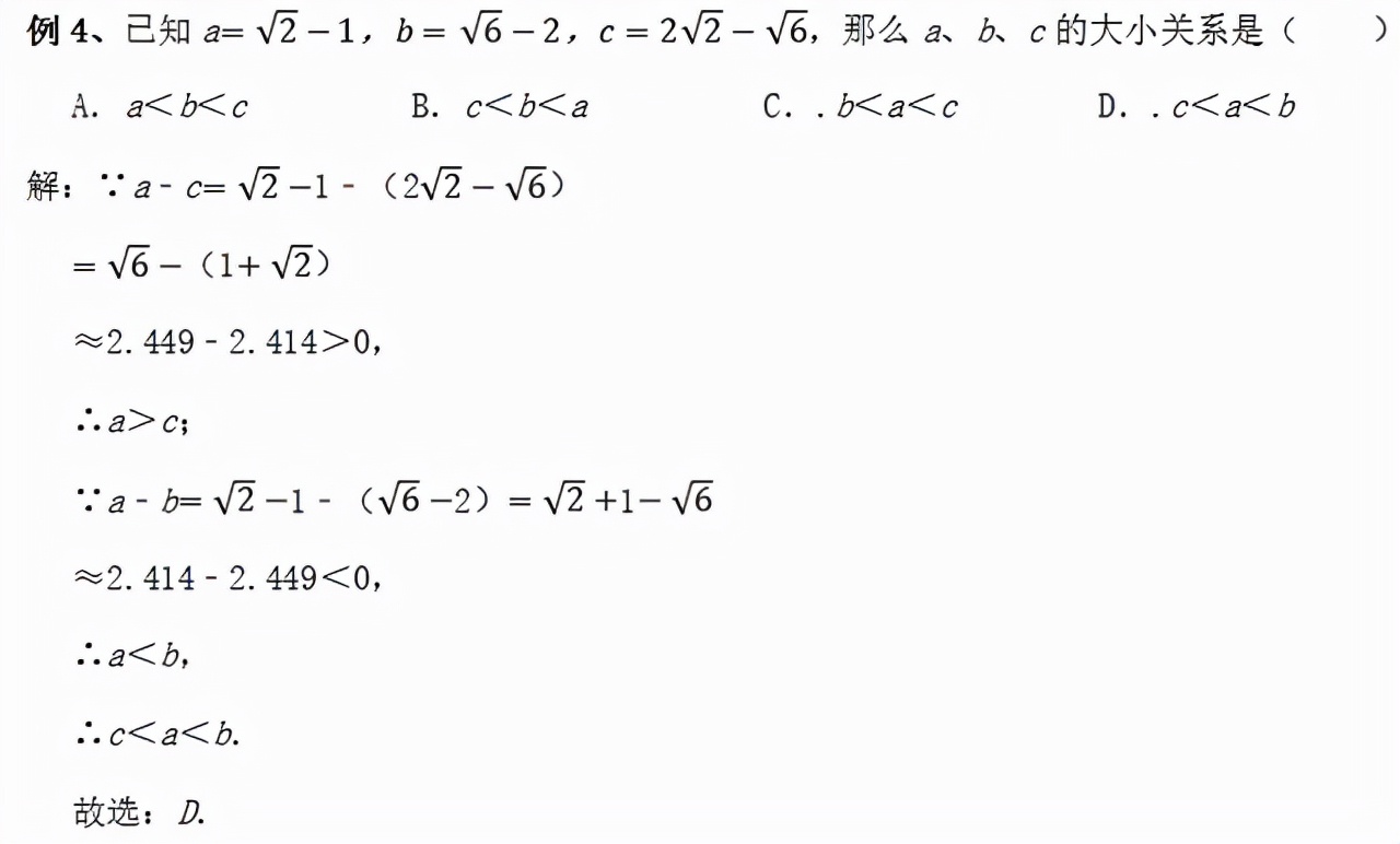
3、做差法
规律方法: 把两数的差与“0”做比较即可,做差法是最常用的比较方法。

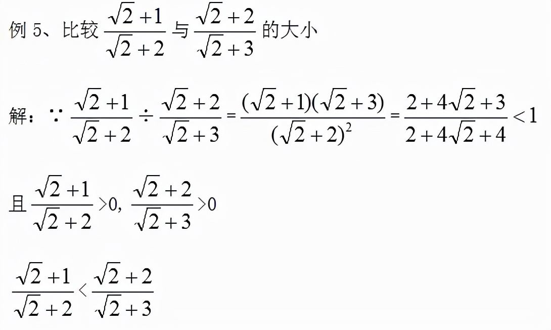
4、作商法
规律方法: 当两个含二次根式的数或式(均为正数)都是分式形式时,常用作商比较它们的大小,将它们的商与1做比较

5、放缩法
原理:不等式的传递性。
规律方法: 即把要比较的两个数适当的放大或缩小,使复杂的问题简单化,进而达到比较两个实数的大小的目的。

6、平方法
原理: 当a>0,b>0时,若a>b,则a>b;若a=b,则a=b;若a<b,则a<b
规律方法: 此种方法一般适用于四个无理数两两之和(或差)之间比较大小,且其中两个被开方数的和等于另两个被开方数的和.

7、估算法
规律方法:当要比较的实数含有平方根容易算出时,可考虑使用估算法,使用这种方法需

8、根号内比较法
规律方法: 对于一些简单的含根号的数字,有时可以直接把数化入到根号里面,然后比较根号内数字的大小即可。

9、分母有理化
规律方法: 分母有理化可以看做是倒数法的逆过程。分母被开方数的差相同,利用平方差公式后,所得新的分式分母相同,比较分子大小即可。
