点上方好玩的数学可加关注
带你走进一个不一样的数学世界
圆形简单、对称、精致。但是我们到底要怎样去度量它呢?就这个问题而言,其实质是我们要怎样去度量弯曲的形状。

关于圆形,我们需要注意的第一件事情是,圆上的任意一点距离圆心的距离都相等。毕竟,只有这样它才能够成为一个圆。圆上的任意一点距离圆心的距离,我们称之为圆的半径。由于所有的圆其形状都相同,因此只有半径能够使一个圆区别于另外一个圆。圆的周长,我们称之为圆周(circumference,拉丁语“随身携带”的意思)。我想,对于圆而言,最自然的度量便是其面积和圆周。
让我们从做一些近似开始吧。如果我们在圆上放置一定数目的等距离的点,然后连接各点,由此我们就会得到一个正多边形。

这个正多边形的面积和周长的值比圆的相应值要小一些,但这两对值相当接近。如果我们放置更多的点,则可以使这两对值更加接近。假定我们所使用的点的数目很大,比方说为n。于是,我们就得到一个正 n边形,且其面积和周长与圆的真实面积和周长非常接近。关键的一点是,随着正 n边形边数的增多,正n边形也会越来越近似于圆。那么,此正多边形的面积又是多少呢?让我们将它切分成 n个相同的三角形吧。

这样,每个三角形的底边长度就等于正多边形的边长,令其为 s。而三角形的高度则是从圆心到正多边形边的距离,我们称该高度为 h。因此,每个三角形的面积为1/2hs,而正多边形的面积则为1/2hsn。注意到 sn正好是正多边形的周长,因此我们可以得出如下等式:

其中的 p为正多边形的周长。就这样,使用周长和圆心到边长的距离,我们将正多边形的面积精确地表示了出来。
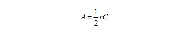
然而,随着边数 n无限地增大,情况又会怎样呢?显然,正多边形的周长 p将会和圆的周长 C越来越接近,而高度 h也将会逼近圆的半径r。这说明正多边形的面积必然会逼近1/2rC,而同时正多边形的面积也一直在逼近圆的真实面积 A。那么,唯一的结论只可能是,这两个数值必然相等,即

这表明,圆的面积刚好等于半径与圆周的乘积的一半。
一种思考该结论的好方法是,设想将圆周展开成一条直线,则该直线和圆的半径刚好形成一个直角三角形。

我们所得出的公式表明,圆形所占据的面积刚好和这个直角三角形的面积相等。
这里,有一种很重要的方法。仅仅通过做一些近似,我们就不经意地得出了圆的面积的精确表示。关键的一点是,我们并不只是做了几个精确程度很高的近似,而是做了无穷多个近似。我们构造了一个精确程度越来越高的无穷近似序列,这无穷多个近似已经足以让我们看出其中的模式并得到它们的极限。换句话说,我们可以从一个有模式的无穷近似序列中得知真理。因此,将这视为迄今为止人类所产生的最伟大的想法,是有一定道理的。
这种奇妙的方法,我们一般称之为穷竭法,它是由古希腊数学家欧多克索斯(Eudoxus,柏拉图的一位学生)于公元前 370年左右发明的。它让我们可以通过构造无穷的直线近似序列来度量弯曲的形状。运用穷竭法构造无穷近似序列的诀窍是,所构造出的无穷序列必须具有某种模式——一个无穷的随机数序列并不能告诉我们什么有价值的信息。因此,只有一个无穷的序列是不够的,我们还必须能够发现其中的模式从而理解该序列。
●●●
现在,我们已经用圆周将圆的面积表示了出来。但圆周是否也可以度量呢?对正方形而言,用相对于边长的比例来度量周长是很自然的,即四周的长度与一条边长的比值。同样,对于圆,我们也可以采用这样的方法。通过圆心的直线与圆的两个交点之间的距离,我们称之为圆的直径(显然直径正好是半径的两倍)。因此,对圆来说,类似的度量将会是圆周与直径的比值,即圆周率。由于所有的圆其形状都相同,
因此,对每一个圆来说,该比值都是相等的。通常,我们使用希腊字母 pi 或 π来表示该比值。π对于圆的意义,正与4对于正方形的意义相同。
要对π的取值做一些近似并不是很困难。例如,假定我们在圆中放入一个内接正六边形。

此正六边形的周长正好是圆的直径的三倍。由于圆周比此正六边形的周长要长一些,因此,我们得出π的取值要比 3大一些。如果使用边数更多的正多边形,那么我们将会得到精确程度更高的近似值。阿基米德(生活于公元前 250年左右)就曾使用正 96边形,得出了π≈22/7。许多人都有这样的错觉,以为这是一个严格的等式,但实际上它并不是。π的真实取值要稍微小一点,一个相对精确的近似值是π≈3.1416,一个更精确的近似值π≈355/113,这个近似值由五世纪时的中国人(祖冲之,小编注)给出。
但是, π的精确取值到底是多少呢?很遗憾,关于该取值的消息相当糟糕。由于 π是无理数(该性质由兰伯特于 1768年证明),因此,我们不可能将它表示为两个整数的比值。特别是,想要将直径和圆周都表示为同一个计量单位的整数倍,则是绝对不可能的。
实际上,我们面临的情况要比处理正方形的对角线时所遇到的情况更糟。虽然√2也是无理数,但我们至少可以这样表述它,即“其平方为2的数”。换句话说,我们可以使用整数的算术来表达√2所满足的关系式,即它是这样的一个数 x,满足 x² = 2。我们虽然也不知道√2的取值到底是多少,但我们知道它的性质。
结果表明,π有着不同的情况。它不仅不能够用分数表示,事实上,它也不能满足任何的代数关系。π有什么用呢?除了表示圆周率之外,其实它并没有什么别的作用。π就是π。像π这样的数,我们称之为超越数(transcendental,拉丁语“超出”的意思)。超越数(它们的数目有很多)根本就超出了代数所具有的表达能力。林德曼于 1882年证明了 π是一个超越数。这真的很神奇,我们居然还能够知道像超越数这样的数。
然而,另一方面,数学家们也发现了不少π的其他表示方法。比如莱布尼茨于 1674年发现了如下的公式:

这里的想法是,随着公式右边相加项数的增多,其相加之和也会越来越接近公式左边的数值。因此, π可以表示为无穷项之和。该公式至少向我们提供了 π的纯数值表示,而且在哲学上它也非常的有趣。更重要的是,这样的表示就是我们所能得出的全部。
以上就是故事的全部。圆周和直径的比值是 π。然而,对于这样的比值,我们却无能为力。我们所能做的,只能是将它加入从而扩展我们的语言。
特别地,半径为 1的圆,其直径为 2,因此其圆周为 2π。该圆的面积是半径与圆周乘积的一半,亦即正好是π。将该圆按比例 r放大,由此我们得到一个半径为 r的圆,其圆周和面积可由下列公式得出:
C=2πr
A=πr²
值得注意的是,上述第一个公式实际上并无实质内容,它只不过是π的定义的重新表述。第二个公式才真正地有深刻的内容,它和我们在前一节中所得的结果等价,即圆的面积等于其半径与圆周乘积的一半。
* 本文摘自《度量:一首献给数学的情歌》P57-63,内容有删改,标题为编者所加,经授权刊登。

关于本书的详细信息,点击阅读原文查看↓↓↓