

文|九鹏举
编辑|九鹏举
随着社会经济发展,用电量越来越大,变电站配电网等发展越来越迅速,对电网设备局部放电异常情况检测的要求越来越高,传统的人工巡检和有线通信的方式已经难以满足。
国务院在“中国制造2025”,强调了“突破新型传感器、智能测量仪表等智能核心装置”;在“新一代人工智能发展规划”,提出重点发展智能制造业。
因此,建立基于物联网的变电设备智能局放传感系统具有必要性,目前,对于电网设备局部放电检测已有相关研究。

这里我们设计了基于物联网的电网设备智能局放传感系统,构建了系统的总体构架,给出了系统的软硬件配置需求。
并且设计了局部放电检测流程,并分析了检测局部放电的不同原理,提出了基于共振稀疏分解的放电信号分析,降低局部放电信号的噪音。
建立了物联网局部放电在线监测网络模型,包括传感器节点、汇聚节点和接入节点,并对每类节点进行了设计,最后,给出了传感器节点的安装和物联网局部放电在线监测系统可视化应用。

物联网局部放电在线监测系统总体框架
这里我们构建了物联网局部放电在线监测系统总体框架,如下图所示。设备智能传感器是感知层的核心技术,是人工智能的核心基础技术之一。
电力设备局部放电信息的采集依靠智能传感器,是调度保护、安全运维、在线监测的基础组成单元,被视为“电力三次设备”,是电网信息物联融合的基础。

物联网将智能传感器对能源及电力系统的全面感知上传至监控主站,把电网打造成源网荷全程在线、设备和装置全程在线的平等互联平台。
各种局部放电检测原理的智能传感器安装在变压器、电缆和开关柜等设备上,感知局部放电信息,将感知的信息处理后通过无线通讯传输至主站系统,便于工作人员的监视。

软硬件配置
物联网局部放电在线监测系统实现对变电站内电气设备的局部放电检测数据进行采集和分析,并将分析的结果进行可视化显示。主站系统软硬件配置如表1所示。

设备智能传感器作为局部放电的感知元件,物联网局部放电在线监测系统能否正确及时的感知到绝缘问题的基础。
目前常用的局部放电原理有脉冲电流法、特高频法(UHF)、暂态地电压法(TEV)、超声波法(AE)、高频电流法(HFCT)、振荡波法等。
为了保证监测的可靠性,这里设计采用多种原理的局部放电传感器,以提高可靠性,包括智能三合一传感器、高频电流传感器和特高频传感器,其中智能三合一传感器采用的局放原理为暂态地电压法、超声波法。各类型传感器参数如表2所示。


物联网在线监测集中器,是物联网感知层通信的中继设备,具备自组网和传感器终端接入的功能,实现智能传感器数据的接收透传、指令转发,同时具备边缘侧计算、分析的功能。
通常集中器安装在智能传感器周围,比如变电站内靠近窗户通讯信号较好的墙壁上等。若在室外安装,通常以壁挂或者平置于柜内,集中器的参数如表3所示。

局部放电技术
为了保证电气设备的局部放电能准确可靠地检测,采用多种不同原理的局部放电传感器,不同原理的传感器逻辑输出做或的关系。
判断出局部放电信号后,再对比典型缺陷图库中的数据确定缺陷类型,最后通过可视化展示,方便监视人员对现场电气设备的局部放电监测,检测流程如下图所示。

文中传感器采用的局放原理为特高频法(UHF)、暂态地电压法(TEV)、超声波法(AE)。各种局部放电原理已相对成熟,对不同局部放电检测方法之间的比较如表4所示:


基于共振稀疏分解的放电信号分析
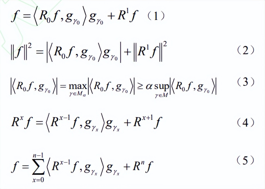
稀疏分解算法假设空间内有一个长度和维度都是N的信号,此信号称为Hilbert空间。
将空间内的信号分解到一组完备的正交基上,并进行稀释分解,但需要保持信号的原有特征信息。进行了一系列处理后的基和原基有很大差异,这些原子则构成了过完备原子库。
设定一个过备原子库MZg,其中g代表的意义是受影响的原子,M是参数的合集。对其中的所有信号都做归一化处理,即所有原子的模为1。取Hilbert空间内一长度为N的信号f,则有:





式中0g表示最佳匹配原子, 表示信号f在最佳匹配原子0g上的投影。
Rf1表示第一次得到的残差信号,表示和g0的内积,表示优化因子,取值范围为0~1。
x表示分解次数;表示残差的能量。

基于共振稀疏分解的放电信号分析共振稀疏算法将传感器采集到的局放信号进行处理,把局放信号分解成高共振分量信号、低共振分量信号和残余分量信号。
其中高频振荡信号主要包括振荡信号和周期信号,低频共振信号主要包括冲击信号分量,噪音信号则主要集中在残余分量信号中。分解过程如下图所示:

传感器节点
传感器节点由通信模组、主处理器、传感器这三大块组成。其中微处理器模块和通讯模块是十分重要的两个部分。传感器节点网络模型如下图所示。

对于传感器节点中的处理器要求体积小,能耗低,处理速度快,目前,MSP430X系列单片机和STM32L0系列单片机是应用比较广且比较成熟的微处理器。
MSP430X系列单片机有很高的的AD性能和精度,编程语言主要是C语言。STM32L0系列单片机支持低功耗外设,在停止和低耗能的模式下也能保存数据。
这里所需微处理器两种型号都可满足,因此主要从经济性的角度考虑,选用STM32L0系列单片机,其中部分数据如表5所示。

对于通信模块,我们选择SX1276作为局部放电传感器的的LoRa通讯模块。
命令数据的传输使用串口或USB,并且具有信号传输距离长,抗干扰能力强和耗能低等优点,对于不同的扩频因子,通道还可以多次使用,对变电站中需要安装数量极多的传感器十分有益。技术指标如表6所示。

汇聚节点
汇聚节点可以对指令进行接收并转发,具有自组网和连接传感器节点的功能。汇聚节点主要模块为STM32F103ZET6微控制器模块、LoRa通讯模块。
汇聚节点能够接受来自传感器节点感知到的局部放电的信息进行汇集处理并传送至接入节点。汇聚节点网络模型如下图所示。

在汇聚节点和传感器节点网络连接的设计中,选择星型组网,即多个传感器节点与一个汇聚节点相连接。
通讯方式主要有轮询上报和主动上报两种。轮询上报是汇聚节点按照一定的次序对传感器节点唤醒询问是否有需要上传的额数据,主动上传则是各个传感器节点按照一定的顺序自主的向汇聚节点传输数据。
前者主要存在通道资源浪费的问题,后者主要存在时间同步的问题,因此,文中采用时分复用解决信号之间的冲突问题。

接入节点
接入节点在输变电设备物联网的感知层中的通信主设备,接收来自汇聚节点的局部放电的信息,主要负责边缘侧计算分析、简单数据展示、发送数据至后台可视化展示。
接入节点网络模型如下图所示,其中处理器选择三星的S3C2440A处理器,可以提供丰富的接口,满足数据计算。接入节点还包括信息控制模块和节点控制模块。
对于信息控制模块通过连接前后的服务网关,一方面可以根据后台的请求获取传感器节点的相关信息,传至后台进行相关计算,另一方面,接收来自汇聚节点主动传递的信息。
对于节点控制模块,管理并执行各种控制和用户命令,发送至传感器节点,并能够收集各传感器节点和汇聚节点的运行状态等。

对于高压开关柜,传感器通常安装在开关柜表面缝隙处,固定方式为磁吸式,直接吸住固定。智能高频电流传感器通常安装于变压器接地线、电缆屏蔽接地处或电缆本体。
物联网在线监测集中器,是物联网感知层通信的中继设备,具备自组网和传感器终端接入的功能,实现智能传感器数据的接收透传、指令转发,同时具备边缘侧计算、分析的功能。
通常集中器安装在智能传感器周围,比如变电站内靠近窗户通讯信号较好的墙壁上等。若在室外安装,通常以壁挂或者平置于柜内。

智能高频电流传感器现场安装和集中器安装如下图所示。110kV东区变共有3个间隔的110kV单芯电力电缆。
电缆局部放电智能监测系统布设的方案为在3个间隔9个接头处分别设置一台采集单元(局放内包含LORA无线装置),采集单元采用无源供电系统,通过连接在采集单元上的智能高频电流传感器进行数据采集,并将所有采集单元使用LORA无线模块传输至物联网集中器。
物联网集中器通过有线或无线的方式将数据发送至局放智能诊断后台系统。

110kV东区变共有3主变,在每台主变铁芯和夹件处安装高频电流传感器。传感器采集到的局放信息,通过无线模块传输给物联网集中器,物联网集中器通过有线或无线的方式将数据发送至局放智能诊断后台系统。
110kV东区变共有53个开关柜间隔,原则上每个开关柜上安装一个三合一传感器。传感器采集到的局放信息,通过无线模块传输给物联网集中器,物联网集中器通过有线或无线的方式将数据发送至局放智能诊断后台系统。
对于目前试安装应用的局部放电在线监测设备,对实际应用检出率进行了半年的统计,相较于去年同时期未安装局部放电在线监测设备时测出局部放电缺陷统计如表7所示,由表可知,系统的应用有助于提高局部放电的检出效率。

为解决传统局部放电检测方法效率不高、实时性不强的问题,文中设计了基于物联网的电网设备智能局放传感系统。
提出了系统的总体框架,并给出了系统所需的软硬件配置和局部放电检测传感器的型号,设计了局部放电检测的流程,分析了不同局部放电检测原理,利用共振稀疏分解的放电信号分析法降低局部放电的噪音。
将系统网络模型分为传感器节点、汇聚节点和接入节点。对设计系统进行了实际应用,实践应用证明,设计系统有助于电力设备局部放电检测的效率和实时性,保证了电力设备安全。
