今天我们来看一个神奇的极限:
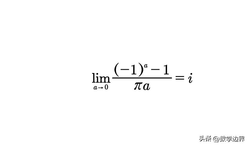
求极限:a→0
lim[(-1)^a-1]/πa=?

很显然,左边所求极限的函数是一个实数函数,但是你能想象,这个实数函数的极限值居然等于虚数单位i吗?
我们先来分析一下这个实数函数:
f(a)=[(-1)^a-1]/πa
这是一个分数函数,当a→0时:
分子:(-1)^a-1→(-1)^0-1=1-1=0
分母:πa→π×0=0
分子分母都趋近于0,这是一个"0/0型"的未定式极限。

要求这个极限,关键是处理函数中的(-1)^a。
根据欧拉公式:
e^(ix)=cos(x)+isin(x)
-1=-1+0=-1+i×0
=cos(π)+isin(π)=e^(iπ)
-1=e^(iπ)

也可以直接利用欧拉恒等式:
e^(iπ)+1=0
-1=e^(iπ)

-1=e^(iπ)
(-1)^a=[e^(iπ)]^a=e^(iπa)
(-1)^a=e^(iπa)
所求极限函数:
[(-1)^a-1]/πa
=[e^(iπa)-1]/πa
=i[e^(iπa)-1]/iπa
[(-1)^a-1]/πa=i[e^(iπa)-1]/iπa
根据重要极限(等价无穷小):
lim[(e^x-1)/x]=1,x→0
很显然,当a→0时,iπa→0。
所以有:
lim[e^(iπa)-1]/iπa=1,a→0

求极限:a→0
lim[(-1)^a-1]/πa
=lim[e^(iπa)-1]/πa
=lim{i[e^(iπa)-1]/iπa}
=i×lim[e^(iπa)-1]/iπa
=i×1=i
lim[(-1)^a-1]/πa=i,a→0

最终我们求出了这个实数函数的极限值,结果居然是虚数单位i。
这看上去确实有些令人难以接受,但仔细分析这一切却又非常自然。
因为在实数范围内,我们根本无法定义负底数的指数幂。
我们定义指数函数:y=a^x
特别强调:a>0且a≠1

如果底数a是负数,例如a=-1,那么情况就会变得很复杂了。
首先,如果指数x是无理数,我们是无法理解(-1)^x代表什么的。
如果x是有理数,假设x化成最简整分数m/n。
此时需要讨论m和n的奇偶性。
例如:
(-1)^(1/3)=(3)√(-1)=-1
(-1)^(1/2)=√(-1)=i
注意:(-1)^(1/2)就等于i。
所以,我们不能用实数范围的思想去理解(-1)^a,a→0。我们必须要延拓到复数范围内去思考这个问题。所以,这个问题的极限值等于i也就很自然了。
lim[(-1)^a-1]/πa=i,a→0
