如果用一个字形容2018年的医疗行业,君临思来想去,选定了“变”字。
变字后面,是意味深长的破旧立新。
过去的既得利益集团被打翻在地,新时代的游戏规则让一些人惆怅彷徨,又让另一些人欢欣鼓舞。
三医联动的医改正式进入深水区,医保局第一把带量采购的火,烧掉某些人收“智商税”的野草,用肥沃的草木灰滋润创新的花蕾,顶层“腾笼换鸟”设计意图暴露无遗。
以药物性价比评价为核心的游戏规则正在建立。

创新优先,无疑是这一轮医药改革中最亮的星辰。
为支持创新,科创板设计的5套上市标准,对于生物医药企业可谓爱之深,情之切。
标准二要求最近三年研发投入合计占总营业收入的比例不低于15%;
标准五要求医药企业需取得至少一项一类新药二期临床试验批件。
量身打造。
尊重市场、回归常识,应接不暇的好消息让君临无比坚信:
我们正在“Make Chinese Medicine Strong for the First Time”。
1
由于设立背景和时机选择的雷同,科创板从诞生之日起,就具有浓郁的纳斯达克色彩。
创立于1971年的纳斯达克,上市公司主要涵盖软件、计算机、电信、生物科技等高新技术行业。
作为世界上主要股票市场中成长速度最快的市场,号称“亿万富翁的温床”。
成长,是一场激动人心的复利游戏。
在纳斯达克,2600多家上市公司中,有1/4强是医药医疗相关公司,是一支强大无比的力量。
最有名的要数开发达芬奇手术机器人的公司——直觉外科(ISRG.O)。
那是一款精巧的微创手术辅助设备。
依靠多年积累的手术案例、陡峭学习曲线培训出来的操作医生所形成的转换壁垒。
再加上每年高额的研发投入形成的技术优势。
直觉外科建立了深厚的护城河。
躲在护城河里,直觉外科不仅高价出售设备,还高价出售易耗品机械手臂,还有昂贵的后期维护。
用这种典型的“吉列刀架刀片”销售模式,直觉外科2000年上市以来,以87倍的涨幅,让投资者坐上了高速的科技成长号财富快车。

回顾其发展史的关键时间节点,资本市场给予的财力支持极其重要。
为研发和并购都提供了充裕的*药弹**。
2003年,合并最大的竞争对手Computer motion公司,完全扫除了发展障碍;
2007年,收购结肠镜技术EndoNav公司;
2009年,收购机器人内窥镜Neo Guide公司。
还有形状感应技术公司、切割缝合公司、心脏搏动、冠状动脉和胸腔镜手术公司、胸部微创公司等等。

直觉外科并购案例汇总 | 来源:pitchbook
还有个最近的例子:
2017年被吉利德收购的Kite公司。
2012年,有位身患一种非常罕见且凶险白血病的女孩Emily,被一种叫做CAR-T的实验性免疫疗法神奇般的救活。
给药几小时内,小女孩病入膏肓的身体就迅速恢复,第二天就苏醒。
癌细胞不仅被彻底消灭,6年过去,癌症一直没复发。
Kite公司的业务,正是CAR-T细胞产品。
2017年10月,Kite公司的治疗药物Yescarta成为FDA批准第一个用于治疗非霍奇金淋巴瘤(包括弥漫性大B细胞淋巴瘤、转化型滤泡性淋巴瘤、原发纵隔B细胞淋巴瘤)的CAR-T产品。
两个月前,吉利德勒紧裤腰带,花119亿美元现金收购Kite,相当于每股180美元。
本来青黄不接的吉利德,这下一跃跻身肿瘤免疫第一梯队。
要知道,Kite2014年才上市,3年时间积累近10倍涨幅。
来感受一把他的走势:

展望未来,即将陆续登陆科创板的中国医药公司,必然会复制这样的传奇。
该如何把握呢?
不妨让君临授你一把屠龙刀——创新药的估值术。

2
君临在前期推送关于CRO行业的研究中,深入探讨过新药研发的特点。
从研发到上市,创新药会有8-10年、耗资巨大的持续研究投入。
在这一阶段,是没有现金流的。
而一旦被批准上市,会快速放量,业绩和利润将大幅爆发。
我们玩了几十年的A股,从上市标准到交易行为,历来歧视亏损,制度设计有明显的短视倾向。
有什么样的市场,就有什么样的投资者。
过去,我们习惯了用PE、PEG等静态估值工具去给较为成熟、有持续现金流入的公司估值。
一种典型的线性估值思维,根深蒂固。
但如果用线性收益的估值思维,去给非线性收益的创新公司估值,是牛头对马嘴。
芒格说:“介绍新经验倒不是很难,难的是清除那些旧观念”。
过去互联网公司集体崛起的时候,绝大多数投资者看不懂互联网的生意模式。
那时的人们是怎么也不会想到,就网上聊个天、购个物,能整出万亿市值,更别谈如何去估值。
就连马化腾,当年也没拿得住Facebook。
后来,市场才开始用诸如用户增长、活跃度、时长、生命周期、PV、转化率、ARPU值来估值,开始逐渐理解互联网的“需求—产品—用户—盈利”的价值链条。
而创新药公司的估值,又是另一套特殊方法。
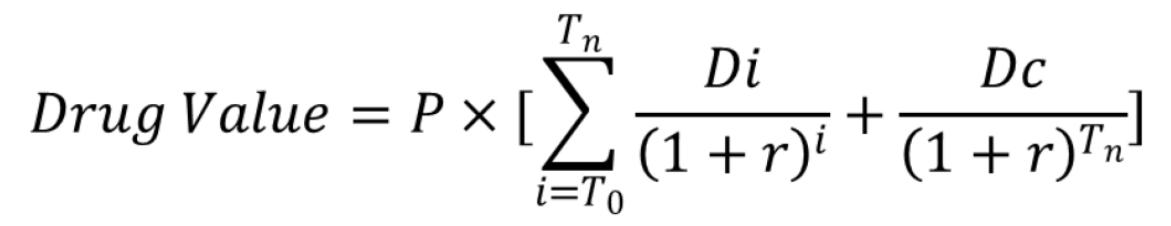
目前,创新药较为通行的估值方式是rNPV,即基于风险调整(risk-adjusted)的现金流折现估值法。
公式如下:

看看就好,不必深究。
我们不是来研究高数的,理解公式背后的思维方式才是重点。
rNPV本质上和正常的现金流折现的方法是一样的,只不过由于创新药存在临床试验失败的风险,所以需要加上一个成功概率的变量,用P来表示。
此外,创新药作为一种商品,还有两个核心变量:销售曲线和生命周期。
分别用S和T来表示。
那么这个公式就简化为:Value=P×S×T
三个变量,挨个说:
- 销售曲线——S
既然是销售,那必然要看供需。
很显然,流行病学(发病人数)决定了药物的销售上限,这是硬杠杠。
而医保覆盖率和病人支付能力,又决定了药品的渗透率。
另外,治愈药不如慢性病药商业价值高。
这是宏观上的观察角度。
微观上,影响销售最重要的是竞争格局。
君临在前期推送关于神奇抗癌药PD-1的文章,描述的PD-1国内四巨头(恒瑞、百济、信达、君实)的竞争最为典型。
加上洋鬼子的“OK药”,今年铁定上演PD-1“大逃杀”,杀的头破血流。
在美国,创新药企股价“跷跷板效应”非常明显。
即AB两企业针对同靶点同适应症展开研发竞争,A企一旦宣布临床失败、股价立即扑街,而B企业股价反而会上涨。
这是因为成熟市场,是赢家通吃的市场,后来者几乎没逆袭机会。
国内还可以搞点勾兑。
不过,我们也即将成为赢家通吃的市场。
在市场化的改革大幕下,药物审批大幅提速,这意味着,不管是进口药,还是国内大量的me too,上市速度都大大的加快了。
有效供给增加,热门品种的市场竞争会大超市场预期。
在这种格局下,创新药的准入谈判,进入谈判目录前所未有的重要,可谓一谈定江山。
试想,靶点类似,临床效果相近的品种,第一家谈完价格后,后面的同志还咋谈。
价格高,你凭啥?
价格低,营销资源乏力...工作不好做。
再说了,第一家还有时间窗口去开发布会,搞学术推广,同志们,这可不是踩踏友商卖货的手机发布会。
- 生命周期——T
新药的专利期满,仿制药就会批量上市,以低价抢市场,随后,新药进入衰退。
那么新药的生命周期主要指上市到专利过期,扣除临床研究的时间,大约10年+。
2015年以来,CFDA审评提速,意味着国内市场新药生命周期延长,从IND到获批上市的周期有望缩短到5-7年,相当于延长3-5年时间。
另外,中国制造历来靠价格打天下,国产新药自然也会不例外,受仿药冲击小,专利悬崖更平缓。
还有适应症扩大带来的多病种覆盖。
三项综合考虑,会提高估值水平。
- 临床概率——P
压轴出场的,一般都是最关键的。
由于创新药的行情,本质上由估值驱动,估值驱动就是市场情绪,暴涨暴跌。
临床上的成功与失败,自然是决定创新药估值高低的核心变量。
理论上,P值是一个薛定谔状态,不是成功就是失败,即0和1,没有第三种可能。
但在实践中,我们有统计概率这个*器武**,可以根据临床阶段的概率值来计算*率赔**。
下面是君临整理的各疾病群药物研发成功率:

观察上表,数据规律显示临床II期的成功率最低。
因为在Ⅱ期临床中,需要验证药品的有效性和安全性,这是创新药疗效验证环节,最为关键,所以失败风险极大,业界戏称“死亡临床”。
君临建议普通投资者在投资创新药时,最好选择已通过Ⅱ期临床的品种。
比如说人类正处在攻克癌症的关键时刻,肿瘤药是研发热点,较高的Ⅲ期成功率会化解很大的不确定性。
不过目前国内创新药还大量集中在me too领域,Ⅱ期风险不高,关注大规模验证疗效的Ⅲ期意义更大。
OK,理论知识已掌握,举个例来算算。
但Value=P×S×T这个公式,还很难进行具体计算,还要让他变得更易量化一些。
大家知道,在成熟的欧美市场,销售曲线S和生命周期T,相对容易确定,主要因为两点:
1、疗效为王,Best in class占据市场的主要份额;
2、疗效接近时,先发优势就是最大的优势,First in class占去六成以上市场。
国内目前尚在改革进程,市场终局暂且未定,影响S和T的因素还有销售能力、医保覆盖,以及各种中国特色的关系玄学。
国内产品更需要自下而上结合公司基本面来估值。
海通证券提出一种计算法,君临认为比较贴近实际,具体如下:
假如创新药未来市场竞争格局良好(独家药),可以考虑给30PE估值,同时,新药为主的贝达药业、我武生物和专科药的信立泰,净利率基本处于35%左右的区间内。
而市销率等于PE和平均净利润率的乘积。
那么10倍左右市销率,就比较适合国内市场的估值水平。
公式变换为:Value=P×10×Speak。
注意,S变成Speak,即销售峰值(Peak Sale),流行病学决定的天花板,就是所谓的最大渗透率。
拿恒瑞的吡咯替尼来说,由于没有竞品,全球市场有可能成为best in class品种,大概率将成为20亿品种。
那么1×10×20=200,大约就是200亿估值。
当然,这个10倍市销率,适用于未来竞争格局好的品种,在计算其他品种时,最好根据竞争情况动态调整。
下面进入实操时间。
3
去年6月,长生疫苗案前一个月,君临发布了一篇关于沃森生物的研究报告。

那是一家惹事不断的飙车公司。
什么高管集体减持、差点被ST、子公司卷入山东毒疫苗案等等。
让我欢喜让我忧。
也就是这家飙车公司,研发投入多年占营收40%以上,长期排在A股所有公司前列,光凭这一点,就让人不容小觑。
正是由于研发的大量投入,重磅品种还未能上市,沃森业绩非常不理想,动不动就亏给你看。
这与美股大量处于研发期的生物医药公司类似。
但事情正在起变化。
在沃森的研发管线里,几乎全是大爆款。

这张2017年全球畅销药物排行榜里,被圈出的品种,都是沃森的硬菜。
英夫利昔单抗、曲妥珠单抗、贝伐珠单抗,沃森的类似产品都已经处于3期临床。
尤其值得重视的,是“疫苗之王”——13价肺炎结合疫苗以及“疫苗之后”——HPV疫苗。
后者处于Ⅲ期临床收集分析临床结果判定终点病例样本的最后阶段。
前者,已完成技术审评,目前进入发补阶段。
意味着即将上市,P值无限趋近于1。
下面我们就13价肺炎疫苗,用Value=P×10×Speak这个公式算一算。
第一步,估计销售峰值。
首先,13价疫苗可预防13种致病病菌,涵盖了引起婴幼儿肺炎的高危血清型的88%。
可以给孩子更全面的保护,所以目前7价疫苗已基本被13价疫苗替代。
目前唯一在售的辉瑞13价肺炎疫苗,供给严重不足,经常处于断货状态,带宝宝去香港接种的父母相当多。
其次,竞争格局上看,沃森的13价肺炎疫苗,是全球第二家上市的13价疫苗。
其次是康泰生物,最快2020年才能报产,智飞的15价肺炎疫苗,才刚开始临床,上市就更没影了。
最后,从接种范围来看,辉瑞可为6周龄至15月龄婴幼儿预防,而沃森的产品则可为适用于6周龄至5岁儿童提供保护,适用人群大得多的多。
形势对沃森非常有利。
掌握了以上信息,我们进一步分析:
2018年,我国新生儿1523万,预期中的生育潮并未出现,我们不妨悲观些,按照未来每年新生儿1400万计算。
按照疫苗接种方式,13价疫苗新生儿接种四针,辉瑞每针约800元,4针3200元。
我们做两个假设:
假设一:初期13价疫苗的渗透率为10%,辉瑞沃森平分市场,每家5%。
假设二:沃森定价为辉瑞的一半,400元。
那么沃森每年有70万新生儿增量市场,贡献收入约11.2亿。
存量市场上,2岁半-5周岁儿童约4000万,还是假设5%的渗透率200万计算,则每年销售额约32亿。
实际上,这个渗透率非常保守,随着人们对该产品重要性逐渐认识,乐观的话渗透率会更高。
另外,老年人属肺炎的高危人群,也是目标客户,保守起见,我们进行忽略。
那么Speak=43.2亿。
第二步:估计临床概率。
由于已处于临门一脚,P无限趋近于1,保守起见,按照0.95计算。
第三步:估计市销率。
上文提到的海通简化模式,是按照30PE和35%净利率进行的估算。
在此处,我们参考A股其他疫苗公司40PE以上估值,以及30%左右的净利率计算为12。
保守起见,沃森还是按照10来计算。
把数据代入公式:
0.95×10×43.2=410.4亿。
目前沃森的市值,也就320亿左右。
在非常保守的口径下,光是一款产品的估值,就超过目前市值,可以清楚的得出结论:
市场严重低估了沃森的价值。
造成其低估的原因有很多,比如疫苗案、公司黑历史等等。
但最关键的,是A股有定价权的投资者们不熟悉如何通过研发管线进行估值,更未用仓位真切的去感受什么叫:
“创新药赚估值的钱。”
别以为投资者需要被教育是一句空话,随着科创板上马,股票供给侧改革,形成市场共识是迟早的事。
这一天的到来,是一种历史的必然,掌握了屠龙术的你,大概率会站在正确的一边。
读到这里,也许你会想,“这家公司我能投吗”?
这不是一个拍拍脑袋就能轻易做出的决定,因为除了基本面的机会分析,还需要对财务风险、业绩确定性、业务竞争格局等进行更深入的考察。
更多信息可关注“君临”获取。
作者:君临团队.
更多成长股分析、行业解读尽在“中国新一代投资研究服务机构”——君临