要缸径还是要冲程,that's a question!
前两天写文质疑了某乎上“斯巴鲁中国”关于“长冲程——长力臂——大扭矩”的说法(发动机长冲程——长力臂,所以大扭矩? ),没想到这篇专业性较强的内容,还引来了不少车友们的围观和讨论。
坦白讲,大多数车友的留言都是比较靠谱的,看来并不是懂车的人少,只是懂车的人平时没怎么说话而已啊,哈哈。
趁着这个热度,赶紧将正菜端出来:缸径和冲程,到底是如何影响发动机性能的呢?
行文前,为了了解一些细节,网上搜了下资料,中文环境内的相关内容真是不行,最“靠谱”的内容就是前面本人质疑的那篇“斯巴鲁文”,其它相关的内容,就更不用说了。
换英语搜,油管上倒是有一个叫“Jason Fenske”的up主,出了一段15分钟的视频(Bore vs Stroke - What Makes More Power?),从几张零碎张截图就能看出这个up主是真大神,能将这个问题研究得很通透。

外网对于缸径和冲程的讲解
为什么说是零碎的几张图呢,因为本人并没有翻墙工具,没有机会看到该视频,只是在网上看到了几张截图……有条件的朋友,不妨去观看一下,当然如果能将该视频传到内网的话,那更是极好的。[耶][耶][耶]
所以两相对比,geeker哥觉得肩上的担子更重了——国内的汽车理论知识科普实在是任重而道远啊,同时也呼吁一下,各车厂的发动机大神们,你们是不是可以抽点时间,出一些有质量的知识讲解啊。[小鼓掌][小鼓掌][小鼓掌]
看到汽车圈各种低劣的“歪理邪说”,眼瞅着又一些少不更事的年轻人被“荼毒”,你们的良心不会感到一丝不安吗?不该考虑为圈内风气的肃清,做出点贡献吗?[捂脸][捂脸][捂脸]
一番慷慨激昂之后,让我们回到主题,缸径和冲程,发动机设计时到底该如何选择呢?
——————————正文分割线——————————
前面那篇文章的最后,机壳哥已经给出了结论:
短缸发动机高转速——高功率;
长缸发动机燃烧好——高热效率(附带大扭矩)。
至于这个结论是如何来的,就要聊到发动机最核心的技术问题,进排气和燃烧了,当然还有功率、做功等基础知识。
一、缸径和冲程及径程比
考虑有车友没看前一篇的铺垫,我们调出两张图将缸径和冲程的概念再强化一下:

发动机的径程比
上图就是发动机缸径D和冲程s,及缸径冲程比(简称径程比)。

不同径程比气缸的运行动图
上面的动图中,中间的缸体排量部分纵切面为正方形,所以中间的气缸可称为方缸,左边径程比<1的称为短缸,右边径程比>1的称为长缸。
二、短缸机如何实现高功率的动力取向
按前面的结论,短缸的性能取向是高功率,那么这个高功率是如何实现的呢?
先引入一个发动机强度指标,活塞的平均运动速度vm,当曲轴转速为n时,则:
vm=s*n/30/1000;
由于受限于材料的磨损、热负荷、惯性质量、机械效率等因素,即便长缸、短缸发动机的转速n差别极大,但vm的相差并不大,都会处于同一水平,通常vm的上限会取25m/s。
为了对不同缸体发动机的转速有一个更直观的了解,我们以86方缸为基准,再引入短缸和长缸各一款,其径程比分别为2和0.5,而这三支单缸的排量都约为0.5L(有兴趣的朋友可以验算下):

同为0.5L缸体的不同径程比气缸
以活塞平均速度上限25m/s为基准,我们看这三支缸对应的发动机理论转速上限分别是多少:
方缸:n =30*1000vm/ s=30*1000*25/86=8721rpm
短缸:n =30*1000vm/ s=30*1000*25/54.2=13838rpm
长缸:n =30*1000vm/ s=30*1000*25/136.5=5495rpm
由上面的计算可知,排量相同的前提下,短缸机的最高转速可比方缸提升58.7%。
再根据功率公式:

发动机功率计算公式
发动机的最高功率,正比于转速和扭矩,又因为排量不变,可认为扭矩Ttq或者平均有效压力pme的变化不大(后面会探讨),那么理论上径程比为2的短缸发动机的最高功率可比方缸高出50%多。
相应的,径程比为0.5的长缸发动机的最高功率,理论上只有方缸机的63折,当然因为长缸的燃烧效率提升,会弥补一部分因转速损失的功率。
所以,同为自吸发动机,升功率也会因缸体结构的差异而产生很大的变化,一般民用汽车NA机升功率也就70~80马力左右,变态一点如本田的红头机K20A,升功率也“才”110马力。
但像追求性能的摩托车,因为转速可上到10000,甚至更高,所以升功率轻松突破100,比如铃木隼,排量1397cc,功率197马力,升功率高达140马力,更不要说转速更高的F1赛车了。
而它们的升功率提升,主要都是建立在提高径程比的基础之上,提高发动机转速取得的。
要补充一点的是,前面计算出86方缸发动机的转速极限是8700rmp,但实际生产的发动机的转速并不会这么高,除了活塞的速度之外,也还有其它方面的限制,这也是我们常见的发动机断油转速6~7的原因了。
短缸机,除了高转能提升功率,就完了吗?
并没有,短缸机除了冲程短,还有缸径大的,缸径大有什么优势呢?
缸径大,意味着可以安装更大的进气门,那么也就可以有更多的进气量和更小的气阻,这也有助于提升发动机的功率。
所以短缸发动机因其更高的转速,以及更好的进气,那么其性能取向是更高的功率。
除了动力更高的动力之外,短缸机还有一个优势是更矮的缸体及更短的连杆,从而降低发动机的高度,方便与整车的安装匹配。
但是,发动机的设计就像是跷跷板,你要了这头,另一头就顾不上了,另一头就是发动机的效率,短缸机获得高功率的代价,就是效率较低。
三、相反地,高效率就是长缸发动机的优势了
长冲程,是如何提高发动机的热效率的呢,至少有三个方面:
1.长缸机有更小的面容比,也就是说同等排量下,其燃烧室的的表面积更小,散热更少,则更多的热量可用于做功。
要计算三支缸的散热面积,我们先定一个压缩比,假设三支缸的压缩比都是11,如下图:

发动机压缩比示意图
那么,三支缸的对应的散热面积示意图及计算值,分别为:

三种缸体对应的燃烧室表面积
短缸、方缸、长缸,其燃烧室的表面积分别为218.52cc,139.34cc,102.73cc。
虽然长缸机的缸体最长,但其燃烧室却最接近方形,因此长缸机的燃烧室热量损失最小,可用于做功的热量最多,有利于效率的提升。
2.长缸机燃烧室更紧凑,火焰传播到混合气末端的的距离最短,燃烧持续时间短,等容度高,意味着效率更高,同时也不易发生爆燃。
这一点,大家结合上面三支缸的燃烧室图,应该也比较好理解。

发动机的燃烧过程
至于等容度是如何提升发动机热效率的,涉及的内容有点多,以后再跟大家分享,目前只要记住结论:等容度、压缩比、绝热指数(等熵指数)的提升可以提高热效率。
3.相同的转速下,长缸机的活塞移动速度更快,混合气体的湍流度更高,燃烧速度更快,同样也是提升了等容度,有利于提升热效率。
这个涉及到混合气燃烧中的层流火焰和湍流火焰,大家也同样记住结论,湍流速度快于层流,湍流度越高 ,燃烧越快。
至少有以上这三项燃油经济性的优势,所以长缸机的的热效率会高于方缸,而短缸机因为走的是反方向,在方缸机的基础上,热效率就会降低,跟长缸机比,热效率就更低了。
讲到这,长缸机偏热效率的特性就很清楚了,但相信大家还有一个疑问,你之前不是说长缸机还附带大扭矩嘛,这个还没讲呢!
四、长缸机怎么能附带实现了大扭矩
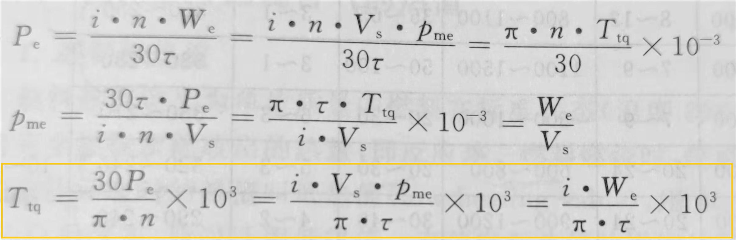
不要急,其实这个也很简单,我们调出上一篇的扭矩计算公式:

发动机扭矩计算公式
我们先看扭矩Ttq三个等式的最后一项,扭矩正比于单一循环的有效功We,同时其它几项都是常数,所以有效功越多,则扭矩越大。
将前面的结论带过来,长缸机的热效率更高,也就是说相同燃料产生的热量Q,长缸机能转化出的有效功越多,即We更高,所以扭矩也会相应地更大。
这是从宏观的角度理解,同时也可以从微观的角度来看,比如我们看上图中扭矩公式的中间选项,即扭矩正比于排量Vs*平均压力pme,现在排量是一样的,那么扭矩直接正比于平均有效压力pme。

平均指示压力
长缸机的燃烧更快,放热更剧烈,那么相应的,气缸内的压力上升也越快,压力也就更高,pme更高,所以发动机有就更有力,扭矩更高(相同转速)。
这两个公式都能解释为什么长缸机的效率更高的同时,也附带提升了发动机的扭矩。
至于长缸机效率和扭矩的提升的比例,因为目前没未查到相关的数据,所以无法给出一个确实的数据,不过可以相信的是,其提升的比例,不会很高,更不可能像短缸机一样,能有50%多的提升空间。
否则,如果扭矩的提升幅度能打平转速的提升幅度,那短缸机的升功率就不可能有那么大的提升幅度了,而是只和方缸机差不多了。
总的来看,长缸机选择了效率特性,对应的缺点是其最高转速和功率都有所限制,升功率也相对更低不少。
五、径程比影响的小结
Ok,最后,我们总结一下,缸径和冲程是如何决定发动机的性能的呢?
短缸机,径程比>1,动力取向:
因冲程短,在活塞最高速度的限制下,可以有更高的转速,即有更高的输出功率,再加之更大的进气孔(气门)允许更好的进气,也会用于发动机的功率输出。
还有优点,一是发动机转速爬升比较快,二是降低发动机高度,从而匹配某些整车的安装要求。
缺点是燃烧不好,热效率偏低。
长缸机,径程比<1,效率取向:
因燃烧室表面积小散热少;燃烧室更紧凑,火焰持续时间短;相同的转速下,活塞运动更快,更加促进燃烧速度,所以热效率高。
缺点是转速不高,升功率偏低。
正是因为不同的径程比,会影响发动机的性能,所以短缸机和长缸机也应用到了不同的场合,一般来讲,只有赛车、摩托车和部分性能车会采用短缸机。
在民用轿车领域,为了更好的燃油经济性,绝大多数汽车的发动机都是长缸机或方缸机,尤其是最近几年更为严苛的燃油法规,以及消费者对于低油耗车辆的偏爱,目前新出的民用汽油轿车,已经很难看到短缸机了。
还是一点,在民用汽车领域,即便有三种不同类型的缸体,因其径程比的范围波动并不会像本文前面举例中从0.5~2这么大的跨度,大概也就在0.8~1.1的小范围调整。
再加之有其它各种发动机技术的加持和影响,发动机最终所体现出来的性能差异可能并不一定与本文这种理论分析的结论成正比。
最后,声明下,本文关于缸径和冲程对于发动机性能的影响,都是基于同等排量之下,所以讨论长冲程的好处之时,请务必搞清楚缸径也相应的减少了。