
研究完货币时间价值,那么就要开始研究我们把货币投向哪里才能赚取更多的钱,并且在收益和风险中如何去抉择,由于需要可以数据化的指标来研究风险和收益的关系。
一、资产收益
资产的收益是指资产的价值在一定时期的增值。一般会以资产的增值额和增值率来表示。以金额来表示没法在不同投资项目进行比较,类如一个项目投入10个亿投资额,增值额是1千万,另一个企业投资5千万,增值额是500万,但从增值额比较显然不能说明问题,所以一般以相对数增值率来表示收益,称资产的收益率或报酬率,一般指资产的年收益率(报酬率)。
(一)实际收率。
实际收益率,已经实现或确定可以实现的资产收益率。(存在通货膨胀时还应当扣除其影响)。
(二)预期收益率
预期收益率(期望收益率),在不确定的条件下,预测的某种资产未来可能实现的收益率。
首先预测影响收益率的各种可能情况及某收益率发生的概率,那么预期收益率就是各种情况下收益率的加权平均。计算公式 预期收益率Ё=∑Ri×Pi
Ri表示某条件下的收益率,Pi表示该情况发生的概率。
(三)必要收益率(最低必要报酬率或最低要求的收益率),包括:无风险收益率和风险收益率
二、资产的风险及其衡量
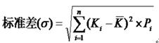
(一)风险是指收益的不确定性。风险大小的衡量用离散程度来表示。离散程度指资产收益率的各种可能与我们预期收益率的偏差。学过统计的我们都知道,有方差,标准差,标准离差率。
期望值Ё=∑Xi×Pi 反映预计收益的平均值。
方差σ2= ∑(Xi-Ё)2×Pi

方差和标准差比较的是两个项目期望值相同情况下的比较,数值越大,说明风险越大。
标准离差率V=σ/Ё,也称变异系数,它可以比较两个投资期望值不同的情况。
三、证券资产组合的风险与收益
资产组合的各种资产的预期收益率的加权平均数,其权数等于各种资产在整个组合中所占的价值比例。

两项资产组合的收益率的方差满足以下关系式:

例ρ1、2=1,完全正相关,表示两项收益率的变化方向和变化幅度完全相同,组合标准离差σP达到最大,组合不能抵消任何风险。
ρ1、2=-1,完全负相关,表示两项收益率的变化方向和变化幅度完全相反,组合标准离差σP达到最小,甚至可能是零,组合可最大程度地抵消风险。
ρ1、2=0,不相关。在实务中,两项资产的收益率完全正相关或完全负相关的情况几乎是不可能的。绝大多数资产两两之间都具有不完全的相关关系,即相关系数小于1且大于-1(多数情况下大于0)。

(一)系统风险及其衡量
系统风险又被称为市场风险或不可分散风险,是影响所有资产的、不能通过风险分散而消除的风险。由那些影响整个市场的风险因素所引起的。包括宏观经济形势的变动、国家经济政策的变化、税制改革、企业会计准则改革、世界能源状况、政治因素等等。系统性风险尽管大部分企业和资产都不可避免,但并不意味着影响相同,有些资产受影响大一些,有些资产受影响小一些。
(1)单项资产的系统风险系数β系数

其中ρi,m表示第i项资产的收益率与市场组合收益率的相关系数;σi是该项资产收益率的标准差,表示该资产的风险大小;σm是市场组合收益率的标准差,表示市场组合的风险,三项乘积即为协方差。
当β=1时,说明该资产的收益率与市场平均收益率呈同方向、同比例的变化,即如果市场平均收益率增加(或减少)1%,那么该资产的收益率也相应地增加(或减少)1%,也就是说,该资产所含的系统风险与市场组合的风险一致;市场组合的β系数为1;
当β<1时,说明该资产收益率的变动幅度小于市场组合收益率(或称市场平均收益率)的变动幅度,因此其所含的系统风险小于市场组合的风险;
当β>1时,说明该资产收益率的变动幅度大于市场组合收益率的变动幅度,因此其所含的系统风险大于市场组合的风险。
(2)证券资产组合的系统风险系数(βp)
证券资产组合的β系数是所有单项资产β系数的加权平均数,权数为各种资产在证券资产组合中所占的价值比例。计算公式为:

资产组合不能抵消系统风险,但通过替换资产注重的资产或改变不同资产在组合中的价值比例,可以改变组合的风险特性。
