核电站的分类一般会按反应堆中慢化剂(降低中子运动速度)的种类进行,例如,轻水堆是指用轻水(H2O)作为慢化剂的反应堆,重水堆是指用重水(D2O)作为慢化剂的反应堆,而石墨堆则指用石墨作为慢化剂的反应堆通常,轻水堆按照反应堆中轻水的状态又分为沸水堆和压水堆。
图1为沸水堆和压水堆核电站的基本结构。沸水反应堆只存在一个回路,水在反应堆内受热处于沸腾状态,会直接转变成蒸汽推动涡轮机转动,进而带动发电机发电。

沸水堆里面回路设备少,几乎不会发生失水事故,但其带有放射性的水蒸气会直接进入涡轮机组,影响涡轮机组的检修和核电站的有效运行此外,沸腾以后的水的慢化作用会有所减弱。
这将导致核电站内相同功率所需的核燃料增多,且反应堆内水汽密度的变化还会引起核电站功率的不稳定使控制复杂化。
压水反应堆核电站中的水由于施加高压的缘故在高温条件下保持液态。
压水堆一般会存在两个回路,其中一回路中的水在流经反应堆时会吸收核裂变产生的热量,并通过蒸汽发生器将热量传递给二回路中的水使之变成可以推动涡轮机运转的高压蒸汽,进而带动发电机发电。在全世界范围内,压水堆约占核电站总量的68%。

锆合金概述
锆合金由于中子吸收截面小、熔点高、导热性好、力学性能优异,具有良好的可加工性以及与核燃料芯块良好的兼容性。
尤其对高温水和水蒸气也具有良好的耐蚀性和热强性,经常被用作各种核反应堆中结构材料(如孔道管、容器管、压力管、导向管、定位格架和端塞)以及包壳材料,是核工业发展过程中不可或缺的战略材料。
图4为核电站反应堆中核燃料棒组件示意图。核燃料棒组件是核电站反应堆中最重要的核心部件,而核燃料包壳是核电站反应堆中承装核燃料芯块的封闭外壳。

核燃料包壳可以有效防止反应堆中核裂变产物的外逸、防止核燃料芯块受到外部冷却剂的腐蚀以及有效导出反应堆中产生的热能。
锆合金包壳管在核电站反应堆内的运行工况极为苛刻,其内部直接与核燃料芯块接触,会受到强烈的中子辐照作用,而包壳管外部则与高温高压冷却水接触,会受到一定的腐蚀、冲刷和振动作用。

除此之外,锆合金包壳管在服役期间还承受着不断增加的应力作用,主要包括外部压力(由高温高压冷却水施加)、内部压力(变气体释放产生)、热应力 (反应堆功率改变)和机械应力(燃料芯块和壳管相互作用)等[56]锆合金包壳管在反应堆中的结构完整性,会直接影响核电站的安全稳定运行。
锆及其合金化
在自然界中,锆(Zirconium, Zr)通常会以化合物的形式存在于锆石(ZrSO4)和斜锆石(Zr)矿物中。锆的原子序数是40,外层电子排布为4d25s2,位于元素周期表的第五周期,IV B族,是一种过渡族元素。

锆具有90Zr、91Zr、92Zr、94Zr和96Zr五种定的同位素平均对原子质量为91.22密度为6.49g/cm3锆属于难熔金属,其熔点约为2125K,沸点约为4650K纯锆在固态时呈银白色,在粉末状态下呈浅灰色,拥有多种同素异构体。
锆元素的热中子吸收截面为0.185b(1b10-28 m2),仅次于和镁,散射截面为6.46 b,因此具有优异的核性能。
表6为美国国家标准与术研究院(NationalInstitute ofStandards and Technology,NIST)公布的锆及其他常见元素的中子吸收截面和散射截面值。除优异的核性能之外,锆本身还具有一定的机械加工性和优异的耐蚀性。

但在锆的熔炼和加工过程中,会不可避免的引入碳、氮、铃、铝、硅等杂质元素,这些有害元素会显著降低材料的耐蚀性,因此需要对纯锆进行合金化处理。在选择合金化元素的时候,需要充分考虑材料在反应堆内的服役环境以及合金元素的加入对反应堆运行的影响。
因此,锆中添加的合金化元素要能减轻或消除有害杂质元素对材料耐蚀性的影响,保证包壳管在堆内服役过程中满足一定的使用强度,同时还应具有较低的热中子吸收截面以及经中子辐照后不会产生强放射性核素。
新锆合金普遍在抗腐蚀性、抗蠕变性、抗辐照生长性等方面具有优异表现,且在高温水和水蒸汽环境下吸氢量较少,在一定程度上能满足高燃耗反应堆结构材料以及包壳材料的性能需求,如表7。

锆合金中的氢及氧化物
在核电站反应堆中长时间服役的锆合金结构材料和包壳材料,会与堆内高温高压的冷却水发生反应,而反应过程中生成的部分氢原子会穿过氧化膜扩散到整个包壳管中,不可避免地造成材料的堆内腐蚀吸氢。
而氢在锆合金中的固溶度有限,一旦其含量超过极限固溶度时,超出的氢便会以氢化物的形式析出。
锆氢化物属于脆性相,会在一定程度上影响材料的力学性能。尤其是应力再取向后径向氢化物的析出,会严重影响包壳管的结构完整性,增加材料氢脆风险。
氢致延迟开裂(DHC)现象也与材料裂纹尖端氢原子扩散和脆性氢化物的析出有关,是造成锆合金包壳管堆内失效的主要原因,且发生时无明显预兆,危害性极大。

因此系统了解锆合金的吸氢行为、氢在锆合金中的固溶度以及氢化物析出及其影响因素,会对后续深入研究包壳管中氢化物应力再取向及疲劳析出奠定基础。
水冷反应堆中的氢有诸多来源,主要包括:腐蚀氢,即锆合金包壳管与外部高温高压冷却水发生腐蚀反应生成的氢;
溶解氢,即溶解在水或者水蒸汽中的氢;射解氢,即在反应堆中子辐照作用下,一回路中的水辐射分解产生的氢;
加入氢,即为促进一回路中水离解产生的氧和氢结合成水,在压水堆高温高压冷却水*特中**意加入的氢。
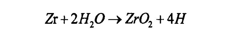
在上述水冷反应堆氢源中,腐蚀氢是锆合金包壳管在服役过程中吸氢的主要来源。因此,反应堆中锆合金包壳管的吸氢现象和腐蚀现象密切相关]锆合金包壳管与外部高温高压冷却水发生的腐蚀发应为(图9):

该腐蚀反应发生后,会在材料表面形成一层以单斜ZrO2为主的氧化膜该层均匀致密的氧化膜可以将锆合金包壳管和外部高温高压冷却水隔开,进而能够延缓包壳管氧化以及阻止包壳管的直接吸氢。
然而,尽管有ZrO2氧化膜的保护,锆合金包壳管在堆内服役过程中仍然存在吸氢脆化甚至开裂的问题。
针对此现象,诸多的锆合金吸氢机理被提出,其中应用最为广泛的为Hillner提出的离子反应-离子扩散机制,该机制认为合金在高温水和水蒸汽中的腐蚀和吸氢行为是通过阴离子空位在材料表面ZrO2氧化中的扩散过程完成的,其机理如图10所示。

该机理认为锆合金腐蚀及吸氢过程具体可划分为以下几个步骤:
(1)水分子与阴离子空位反应
首先,ZrO2氧化膜中的氧溶解到基体锆金属中后,会在氧化膜内形成一定数量的阴离子空位和自由电子。
ZrO2/H2O界面处阴离子空位的正电性会使具有一定偶极性的水分子的氧端朝着 ZrO2氧化膜一侧定向排列。这样的水分子与ZrO2氧化膜表面的阴离子空位发生反应,结果使得水分子发生离解,而阴离子空位则被湮灭,形成正常ZrO2点阵中的氧离子。
该反应可以不断作用,一直进行到ZrO2/Zr界面处,最终导致氧化膜在ZrO2/Zr的界面处连续生长,进而造成锆合金包壳管的持续腐蚀。
(2)氢离子与自由电子反应
如上所述在ZrO2/Zr界面处生成并扩散到ZrO2/H2O界面处的自由电子会被水离解反应中生成的氢离子获取,而使氢离子变为氢原子。
(3)氢原子与氢原子或阴离子空位反应
氢原子生成以后,大部分会两两结合生成氢气,离开ZrO2/H2O界面,扩散到高温高压的冷却水中。

少部分氢原子则会以非化合态的形式进入ZrO2氧化膜中,占据阴离子空位,并向ZrO2/Zr界面处扩散,直至进入 Zr 金属中。
Smith在分析了氧离子在水侧ZrO2氧化膜表面的各种可能的排布方式后,指出ZrO2氧化膜表面氧离子之间的平均间隙约为0.5A~09A。而氢原子的直径约为1.06A,因此氢原子很难通过表面间隙进入ZrO2氧化膜内。
单斜结构的ZrO2的氧离子和锆离子的平均间隙约为015A,Zr氧化膜内的氢原子理论上也不可能从此间隙通过。
但ZrO2氧化膜中离子的直径约2.64A,氧化膜中阴离子空位的存在可以为氢原子进入ZrO2氧化膜并在氧化膜中的持续扩散提供了极为便利的先天条件。
在ZrO2氧化膜中,氢原子可以借助阴离子空位,并逐步扩散到ZrO2/Zr界面处,最终进入到Zr金属中。

参考文献:
- 《渗氢工艺对锆合金吸氢量的影响》
- 《锆合金电解渗氢工 艺及组织演变研究》
- 《锆合金吸氢/氖开裂行为及机制研究》