
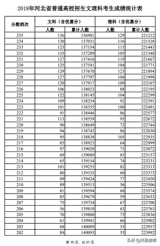
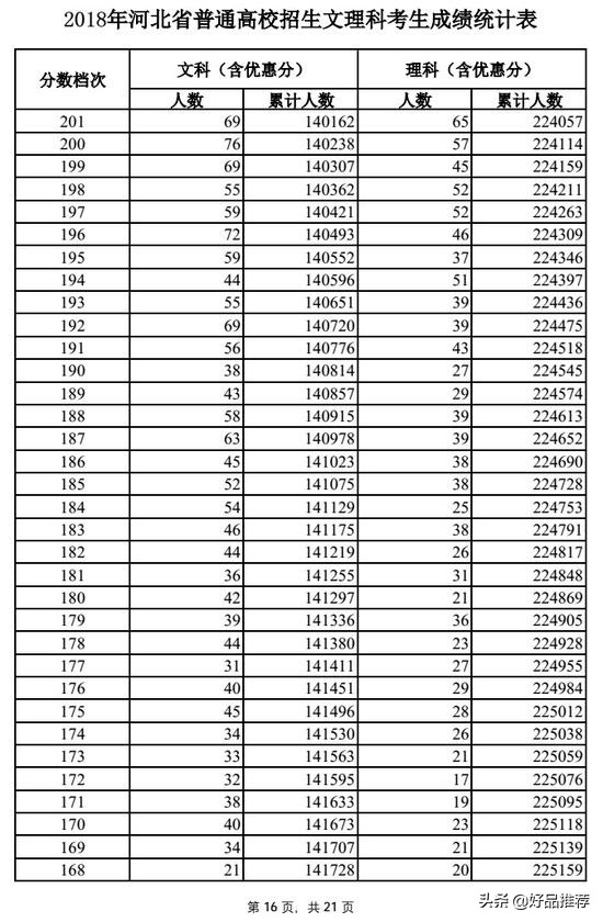
2018河北高考一分一段表【文科】
高考填报志愿时,如何预估自己心仪大学2018年河北文科录取分数线是广大考生和家长朋友们十分关心的问题。
河北高考文科一分一段表:简而言之,就是全省文科考生分数排名表,我们可以看到自己分数在全省文科排名,这里的分数包括了一些照顾加分项。
1、一分一段表的价值
虽然每一年河北文科一批、二批分数线都有很大变化,但是每一年全国各高校在河北招生人数变化不大,因而某个大学文科录取最低分对应的录取位次和录取线差(超过批次线多少分)变化不是那么大,这是填报志愿中2个最具参考价值的数据,而两者中最低分录取位次的变化比录取线差变化还小,而如何确定最低分录取位次,这里河北高考一分一段表的价值就体现出来了。
2、如何利用一分一段表估分数?
这里我们以河北医科大学为例,预估2018河北医科大学在河北文科最低录取分数线,本省大学在河北招生人数很多,分数波动小,更准确,外省学校在河北招生人数少,分数波动大,要谨慎。

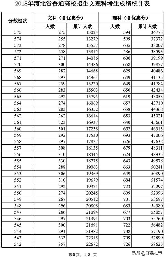
我们可以看到,河北医科大学近3年在河北文科最低分还是有较大变化的,但是最低分对应位次变化不大,基本在14000名左右,接下来我们查看下面2018年河北高考文科一分一段表,可知14000名大概对应的分数是572分。
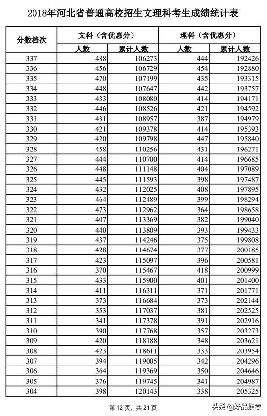
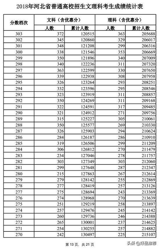
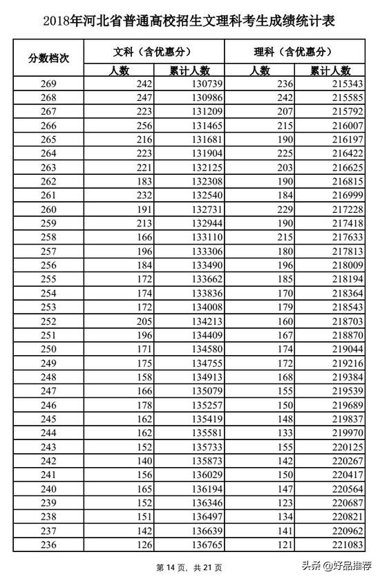
3、2018河北高考一分一段表【文科】















