我前面曾写过一篇文章——数学我们需要“先想后算”来讲数学计算的重要,今天再谈谈数学计算。
因为看到很多学生在计算上的弊病,所以下面的内容也可以算是 计算避坑指南 ,当然不会涉及所有的计算,主要是基础的和特别值得提升的运算思维(然而就是这些基础思维很多学生却忽视)。
很多学生认为计算就是加减乘除,解方程,解不等式,但是运算也包括整理,合并,通分、约分、拆分等,归结起来可以总称为“ 代数变形能力 ”,下面会举自己学生计算的实例,说一些计算的避坑。
好的数学计算重点就是要在思维上下功夫,选择优秀的计算路径,不是只要计算结果正确就行(切忌死记硬背计算技巧,如果不明白原理,再好的技巧也不能灵活运用)。
合理地拆分,约分是非常重要的运算思维 。由于我们总是对小数字更敏感,对大数字迟钝,这是我们每个人的认知规律。所以在计算过程中应尽量避免大数字直接出现, 在计算的中间过程中记录计算结果,不一定非要将数写成具体数字 。
比如:计算 ,学生一般提笔就开始笔算32×32,不关注拆分和约分,实际上像下面一样计算就非常方便:
这其实是计算 的最大值的计算过程。
当然由于小学初中很多时候以运算为一大培养目标,关注运算的操作过程,比较忽视运算思维及合理选择运算方法, 高级的运算阶段则是要尽量避免盲目计算 ,不会无脑的从左往右依次计算。
如计算 不应写成 而应该直接分子分母平方:
再比如,计算 ,老师一般就一眼看出答案是 (直接约分),但却经常有学生要经过分母有理化再给出答案,两种计算方法在思维上的差异是非常明显的:
分母有理化:
直接约分:
这其实是计算 的计算过程,学生一般都是直接分母实数化,分子分母同时乘以 算得不亦乐乎,其实直接用分子的模除以分母的模就是答案:
在独立性检验计算K²的过程中更是需要合理约分和拆分,比如下面这个K²的计算: ,不约分计算那将是一场灾难,当然约分也不是乘出来再约,而是应该这样:

注意其中的160×24,96×20,12²,16²等都没有算成具体数字,而是等待约分。当大数据出现在计算过程中,我们一般不能敏捷的进行约分,这也是很多学生经常计算马虎,算错的一个原因。所以保留数字的运算形态,将数字化小,这是非常有意义的。
再比如:计算 ,我看到有学生把根号里面算出来3750,然后短除法分解3750质因数,其实运算过程根本不应出现3750:
这个不少学生也能看出来,但总是会遇到一些学生做计算就是从左往右依次计算,保留着最原始的计算形态,甚至35除以500,要列竖式笔算,遇到分母一样的两个分数相除,非要写成乘以除数的倒数再算出来,遇到 这种,要写成 再约分。 这样的计算只是停留在会算上,没有一丝“进化”的痕迹,没有运算策略上的优化 。即便是纯粹的加减乘除,在计算过程中也需要结合数字特点适时优化计算路径。看到这些我当然会忍不住要说,一些学生会说,反正我的结果是对的。但要知道数学是逻辑科目,需要在计算中注意思考培养逻辑,况且是这样很浅的逻辑,如果对这些都没有足够的认识,怎么面对更复杂的解题分析和找数量关系等强逻辑的情景。
对这种解方程: ,有学生不知道两边分母是可以约分的,约简再算会更简单:

又如计算 很多学生就是直接21×21,28×28先算一通,可能还会抱怨数字为什么这么大,可要知道竖式笔算有谁不会,出题人难道就只是为了纯考你笔算?
这个题应该如下计算:
同样计算过程中也保留了数字的运算形态,等待提公因式和约分,计算过程中都是简洁的小数字,运算过程是很畅快的,相反一来就直接每一个数字都算出具体结果,这样就会陷入繁琐的计算中,也会让自己逐渐烦闷,即便做对了,心中也是不爽,难以愉快的坚持后续运算,在这样的情况下我们会总是看到数学繁琐复杂的一面而不能发现数学的乐趣,那我们恐怕是不会爱上数学的,要知道 我们不仅要做对题,还要对得舒服 。
合理的拆分、约分是建立在一定的数感上的。 做计算时我们要有一定的数感 ,这种数感是通过做了一定数量的题后慢慢积累起来的,不是要去刻意背。就像一个人你和他见了十来次了,每次别人都自我介绍,到最后你还记不住别人名字,这也说不通啊。这种在长期计算中培养数感应该在小学和初中阶段形成,若在高中还没形成,那在高中做题就会迟钝。在高中很多学生对三角函数特殊值没有建立足够的数感,做三角函数题时就会迟钝,其实不用刻意去记,每次遇到就翻笔记,翻了十多次还记不住那就是没用心了,不用心记住了也会忘(我也建议画直角三角形自己推导出来),这个三角函数特殊值就像三角函数的乘法口诀表。设想你从来没记过乘法口诀表,那你的乘法会退化到什么水平?
和正余弦有关的计算最好心中熟悉下面这个(长期接触自然就记住了):

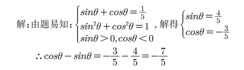
比如: 且 则
如果熟悉上面正余弦的第一个数对,结合所给象限,很容易解出正弦和余弦,这样就很简单了:

直接两边平方计算,也是可以的,但是却不够灵活。
良好的数*运学**算还应具备敏锐的思维迁移能力,这里举一例:很多学生很快就能解出方程 的两根(十字相乘法因式分解),然而下面这个方程很多学生都会卡住: ,但是它们的解法确是完全一样的:

当然我也接受纯数字计算用计算器代替的观点(部分地区考试可以带计算器),将思维集中到题目分析和组织解题逻辑上,但是除了大数字计算外,一般是没必要用计算器的,另外即便考试能带计算器,平时也要训练自己的运算能力,不能养成依赖计算器的习惯。
数*运学**算需要先熟悉通性通法,因为通性通法具有无与伦比的普适性(如加减乘除的通性通法就是竖式笔算),而在具体运算过程中要注意合理的化简,掌握基本的代数变形能力,在大量的运算的持续过程中增强基本的数感(比如2的一次方到10次方的值,三角函数特殊值,1-20的每个数的平方等)。当然比这更重要的是理解并记住各种数学公式,不然做很多题目都会寸步难行。
今天就先说到这里,以上提到的都是一些很基础的运算注意事项,老师和一些思维好的学生一般都能自动地遵守,但是我遇到很多学生在这些方面都值得提升,毕竟每一届学生里都会遇到一些犯下面这种错:

写这篇文章并不是嘲讽运算差的学生,提出这些具体事例是希望读到这篇文章的学生能认识到运算尤其是灵活运算的重要性。