随着智能音箱的进一步普及,内置电池的智能音箱是一个新的市场需求。因为内置了电池的智能音箱在使用上带来极大的灵活、方便,从客厅到厨房,到卧室,到户外,便携方便。从最近智能音箱产品差评分布的官方数据就可以看出,没有内置电池此项差评排靠前面。智能音箱内置电池要考虑到问题就很多了。DC12V供电是目前智能音箱的主要供电方式,从音效方面考虑,12V供电4欧姆喇叭才有15W的不失真功率,才能保证音质。受空间的影响,兼顾USB5V充电的方便性等因素,目前智能音箱内置电池用单节锂电3.7V最合适。3.7V供电4欧喇叭只能出来1.5W左右功率。音量跟音质可想而知跟DC12V供电相比落差多大,很多消费者难以接受。
CS8330是针对这一块市场开发出来的一款音频功放芯片,自带升压,内置电源输入路径管理。3.7V单节锂电内置升压到10.5V,输出功率15W/4欧;并支持升压旁路模式(外部PVDD模式),外接DC12V输入时,自动将升压电路关闭,12V直供音频电路,输出功率18W/4欧。并且此款功放IC功能强大,具备自适应升压功能,提高效率,延长*放播**时间;4种防破音模式可选;功率限制功能;还有CLass AB模式,最终保证电池*放播**音量音效跟外接DC12V供电效果相差不大。
深圳市永阜康科技有限公司针对这一市场趋势,现在推广一颗单节锂电3.7V内置升压15W单声道音频功放IC-CS8330、支持升压旁路模式(外部PVDD模式)外接12V适配器输入,适合应用于智能音箱、户外蓝牙音箱等产品领域。
1.产品特点
内置BOOST模块R类结构,集成AB类D类两种模式
输出功率
PO at 10% THD+N, VIN = 3.7V
RL = 4 Ω 15W(D MODE NCN OFF)
PO at 1% THD+N, VIN = 3.7V
RL = 4 Ω 12W(D MODE NCN OFF)
PO at 10% THD+N, VIN = 7.4V
RL = 4 Ω+22uH 15W(D MODE NCN OFF)
PO at 10% THD+N, VIN = 7.4V
RL = 3 Ω+22uH 18W(D MODE NCN OFF)
优异的"噼噗-咔嗒"(pop-noise)杂音抑制能力
工作电压范围:2.7V到12V
支持单节/双节锂电池和12V适配器供电的应用
自适应升压功能
内置4种防破音模式
内置POWER-LIMIT(功率限制功能)
无需滤波的Class-D结构
最高84%的效率(Vbat=8.4V)
高电源抑制比(PSRR):在217Hz下为70dB
启动时间 (200ms)
静态电流 (10mA)
低关断电流 (50µA)
过流保护,短路保护和过热保护
TSSOP20-PP
2.CS8330脚位图

3.CS8330管脚说明

4.CS8330典型应用图

5.CS8330演示版原理图

6.CS8330演示板 PCB顶层设计图

7.CS8330演示板PCB底层设计图

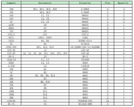
8.CS8330演示板物料清单

9.CS8330演示板实物图
