2019年中考化学专题汇总
专题5.2 化学方程式的书写、计算
一、选择题
1.【2018年甘肃省平凉市】下列化学方程式书写正确的是
A.2H2+O2=2H2O B.2NaOH+H2SO4=Na2 SO4+H2O
C.2Fe+6HCl=2FeCl3 +3H2 ↑ D.2KMnO4

K2MnO4 +MnO2+O2↑
2.【2018年四川省乐山市】硅材料是太阳能电池及电脑芯片不可缺少的材料,随着一批多晶硅生产企业在乐山建成投产,乐山将成为我国重要的硅材料产业基地。下面是多晶硅生产过程中的一个重要反应:SiO2+2CSi+2CO↑,该反应的基本类型是( )
A.化合反应 B.分解反应 C.置换反应 D.复分解反应
3.【2018年四川省巴中市】下列化学方程式书写正确的是( )
A.C+2Cu0==2Cu+CO2↑ B.2Fe+3H2SO4==Fe2(S04)3+3H2↑
C.NaOH+HCl==NaCl+H2O D.Ca(OH)2+Na2CO3==CaCO3+2NaOH
4.【2018年山东省*安泰**市】硅是信息技术的关键材料。从石英砂制取芯片的重要反应是SiO2+2CSi +2CO↑,该反应属于
A.化合反应 B.分解反应 C.置换反应 D.复分解反应
5.【2018年山东省临沂市】下列化学反应中,属于复分解反应的是
A.4Al+3O2 = 2Al2O3 B.Ca(OH)2+Na2CO3 = CaCO3↓+2NaOH
C.H2CO3 =H2O+CO2↑ D.H2+CuOCu + H20
6.【2018年四川省德阳市】向一定质量的CaCl2和HCl的混合溶液中逐滴加入溶质质量分数为10.6%的Na2CO3溶液,实验过程中加入Na2CO3溶液的质量与产生沉淀或气体的质量关系如图所示。下列说法错误的是( )

A.P点时的溶液只含一种溶质 B.R点对应横坐标的数值为180
C.0至P过程中溶液的pH变大 D.Q至R段表示生成沉淀的过程
7.【2018年山东省临沂市】下列化学方程式书写正确,且反应前后有元素化合价升高和降低的是
A.C2H5OH+2O22CO2+3H2O B.C+2CuO2Cu+ CO2↑
C.2KMnO4K2MnO4+Mn2O+O2↑ D.SO2+2NaOH=Na2SO4+H2O
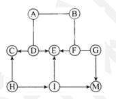
8.【2018年四川省德阳市】向一定量的硝酸铜、硝酸银的混合溶液中加入5.6 g铁粉,充分反应后过滤、洗涤、干燥,称得固体14 g。向固体中加入稀盐酸,无气泡产生,则下列分析正确的是( )
A.滤液中一定不含有硝酸银 B.滤液中一定含有硝酸铜
C.滤出的固体中含有银7.6g D.滤出的固体中含有铜6.4g
9.【2018年山东省济宁市】下列化学方程式书写和对反应类型的判断,都正确的是( )
A.4Fe+3O22Fe2O3 化合反应
B.Cu+2AgCl==2Ag+CuCl2 置换反应
C.SiO2+3CSiC+2CO↑ 置换反应
D.BaCO3+2HCl==BaCl2+H2O+CO2↑ 复分解反应
10.【2018年山东省德州市】下列化学方程式书写正确的是( )
A.3Fe+2O2=Fe3O4 B.Cu+2AgNO3=2Ag+Cu(NO3)2
C.2Fe+6HCl=2FeCl3+3H2↑ D.KCl+NaNO3=KNO3+NaCl
11.【2018年江苏省扬州市】下列反应中属于复分解反应的是
A.2Mg+ O22MgO B.Cu+2AgNO3=Cu(NO3)2+2Ag
C.CuCl2Cu+Cl2↑ D.2NaOH+H2SO4=Na2SO4+2H2O
12.【2018年山东省青岛市】一包不纯的氯化钾粉末,所含杂质可能是氯化钠、硝酸钾、硝酸钙、氯化铜、碳酸钠中的一种或几种。为确定其成分,某兴趣小组的同学们进行如下实验:
取少量该粉末于烧杯中,加蒸馏水,充分搅拌,得无色澄清溶液。(2)取上述无色 溶液少许于试管中,滴加氯化钡溶液有白色沉淀生成。(3)另称取 14.9 g 该粉末于烧杯中,加 入蒸馏水溶解,再加入足量的硝酸银溶液和稀硝酸,充分反应后生成 28.7 g 白色沉淀。根据上述实验判断,下列说法正确的是
A.杂质中可能含有硝酸钾、氯化钠
B.杂质中肯定不含硝酸钙、氯化铜、碳酸钠
C.杂质中肯定含有碳酸钠,可能含有氯化钠
D.杂质中肯定含有氯化钠、碳酸钠,可能含有硝酸钾
13.【2018年湖南省长沙市】根据化学方程式不能获得该反应的信息是:( )
A.化学反应的快慢 B.生成物 C.反应条件 D.反应物
14.【2018年湖北省咸宁市】下列化学方程式书写正确的是
A.2 Fe+6HCl==2FeCl3+3H2 B.Cu+FeSO4 == CuSO4+Fe
C.2Mg+O2 2 MgO D.Fe2O3+CO Fe+CO2
15.【2018年广东省】下列属于分解反应的是
A.2H2O2H2↑+O2↑ B.CO2+2NaOH=Na2CO3+H2O
C.C+H2OCO+H2 D.NH3+CO2+H2O=NH4HCO3
16.【2018年江苏省盐城市】有一包金属粉末,可能由Mg、Zn、Fe、Al、Ag等金属中的一种或几种组成,取该样品2.4g,加入100g稀硫酸恰好完全反应,得0.2gH2和无色溶液。下列说法正确的是
A.样品中定只含有Mg B.样品中一定不含有Ag,可能含有Fe
C.无色溶液中溶质总质量量为12g D.稀硫酸的溶质质量分数为19.6%
17.【2018年江苏省盐城市】一定质量的甲烷在不充足的氧气中燃烧,甲烷完全反应,生成物只有CO、CO2和H2O,且总质量为20.8g,其中H2O的质量为10.8g,则CO2的质量为
A.5.6g B.8.8g C.4.4g D.4.8g
非选择题
18.【2018年四川省德阳市】A~F是初中化学的常见物质,A与B的组成元素相同,D、E在通常状况下是气体,F是大理石的主要成分。其转化关系如下图所示,部分反应物、生成物和反应条件未标出。

(1)A的化学式是__________。
(2)若B+E+F→C,则C是___________(填名称或化学式)。
(3)反应④的化学方程式是_______________________________。
(4)反应⑤的化学方程式是______________________________。
19.【2018年山东省临沂市】某工厂附近海水中含有较多Na2CO3等物质。该工厂采用海水脱硫技术吸收燃煤烟气中的SO2,其主要设备及流程如下:

(1)海水脱硫设备中,排出的海水呈碱性的是______(填字母序号)。
A.海水泵 B.吸收塔 C.曝气池① D.曝气池②
(2)向曝气池①内通入空气后,主要有两个化合反应发生,写出其中一个反应的化学方程式____________。
(3)曝气池②排放的海水中不含H2SO4的原因是__________ (用化学方程式表示)。
20.【2018年山东省临沂市】请你仔细分析下图所示的实验过程和提供的数据,并进行计算。

(1)生成氢气_______g。
(2)反应后所得溶液中溶质的质量分数是__________? (写出计算过程,精确到0.1%)。
21.【2018年山东省德州市】推理是学习化学的一种重要方法,但不合理的推理会得出错误的结论。请对下列错误观点举出相应的否定例证(填化学式或化学方程式)。

22.【2018年江苏省宿迁市】某硫酸厂欲测定排放的废水中硫酸的质量分数(假设废水中只含硫酸一一种溶质),取废水样品200g,逐滴加入溶质质量分数为5%的氢氧化钠溶液,废水中硫酸的质量随加入氢氧化钠溶液质量变化如下图所示,

(1)要配制100g 5%的氢氧化钠溶液,需氢氧化钠固体质量为___________g;
(2)计算该废水中硫酸的质量分数为_____________(写出计算过程)。
23.【2018年江苏省南京市】图中A~M是初中化学常见的物质,且分别由H、C、O、Na、S、Cl、K、Fe中一种或几种元素组成。B、C、E、F、M均由两种元素组成,B中两种元素质量之化为7:3.固态E叫做"干冰";A、D、H均由三种元素组成,H在实验室可用于制取氧气;G是焙制糕点所用的发酵粉的主要成分之一。图中"—"表示两端的物质间能发生化学反应;"→"表示物质间存在转化关系;部分反应物、生成物或反应条件已略去。

(1)写出化学式:G________,B________。
(2)写出H→I反应的化学方程式___________。
(3)写出A与D反应的化学方程式__________。
24.【2018年湖南省长沙市】请写出下列变化的化学方程式:
(1)硫酸铜溶液和氯化钡溶液反应:________________________________________;
(2)在稀盐酸中滴加氢氧化钠溶液:________________________________________。
25.【2018年山东省德州市】向盛有10 g纯碱样品(含有少量氯化钠)的烧杯中加入稀盐酸。加入80 g稀盐酸时,恰好完全反应。反应后烧杯内物质总质量为86.7 g。
(1)该反应生成二氧化碳的质量为_________g;
(2)求该纯碱样品中碳酸钠质量分数为___________(写出计算过程)。
26.【2018年湖南省岳阳市】小兰进行水的电解实验时,在水中加入少许硫酸钠以增强导电性。她将2.7g硫酸钠固体加入52.7g水中充分溶解,倒入电解器中通电,当正极产生4.8g氧气时结束实验。忽略气体在水中的溶解,请计算(写出计算过程):
(1)负极产生氢气的质量___________;
(2)实验结束时所得溶液的溶质质量分数_____________。
27.【2018年湖北省武汉市】在通常状况下,硫是一种黄色粉末,下图是硫元素的某种粒子的结构示意图:

(1)硫原子的核内质子数为_________。
(2)图中所示粒子的符号为_________。
(3)硫在氧气中燃烧,发出蓝紫色火焰,该反应的化学方程式为__________。
28.【2018年湖北省武汉市】某氧化钠样品中含有氯化镁。为测定其中氧化钠的质量分数,称量5.00g样品于烧杯中,加适量水完全溶解,然后逐滴加入氢氧化钠溶液至恰好完全反应,生成0.58g沉淀。请回答下列问题:
(1)氢氧化钠溶液可使紫色石蕊溶液变成_____色。
(2)计算该样品中氧化钠的质量分数为____________。
29.【2018年湖北黄冈市】为测定某石灰石矿中碳酸钙的含量,现称取12.5g石灰石矿样品与足量的稀盐酸反应(杂质不溶于水,也不参与反应),得到二氧化碳气体4.4g(假设生成的气体全部逸出)。请计算:该石灰石样品含CaCO3的质量分数__________?
30.【2018年安徽省】尿素[CO(NH2)2]是一种常见的氮肥,工业上制备反应如下:
CO2+2NH3CO(NH2)2+H2O,请计算:
(1)尿素中氮元素的质量分数_________________。
(2)生产6t尿素理论上需要氨气的质量是多少________________?
PAGE