在您开始阅读本文之前,我们诚恳地请求您点击下方的“关注”按钮。这样一来,您不仅可以方便地参与讨论和分享,还能获得更多的互动体验。感谢您对我们的支持!
文|a龙景生
编辑|a龙景生
前言
薯蓣是一种常见的植物,在其生物合成途径中含有胆固醇合成途径,该途径与其他植物的类固醇化合物代谢有很大的相似性,研究薯蓣中胆固醇生物合成途径,对于其他植物的胆固醇代谢研究具有重要的参考价值,我们在综述了薯蓣中胆固醇生物合成途径的基础上,分析了其对其他植物类固醇代谢研究的启示。
胆固醇生物合成途径概述
胆固醇是一种重要的类固醇化合物,它在生物体内扮演着多种生理功能,胆固醇是细胞膜的主要组成成分之一,同时也是合成激素和胆汁酸的前体,了解胆固醇的生物合成途径对于研究生物体的代谢调控具有重要意义。

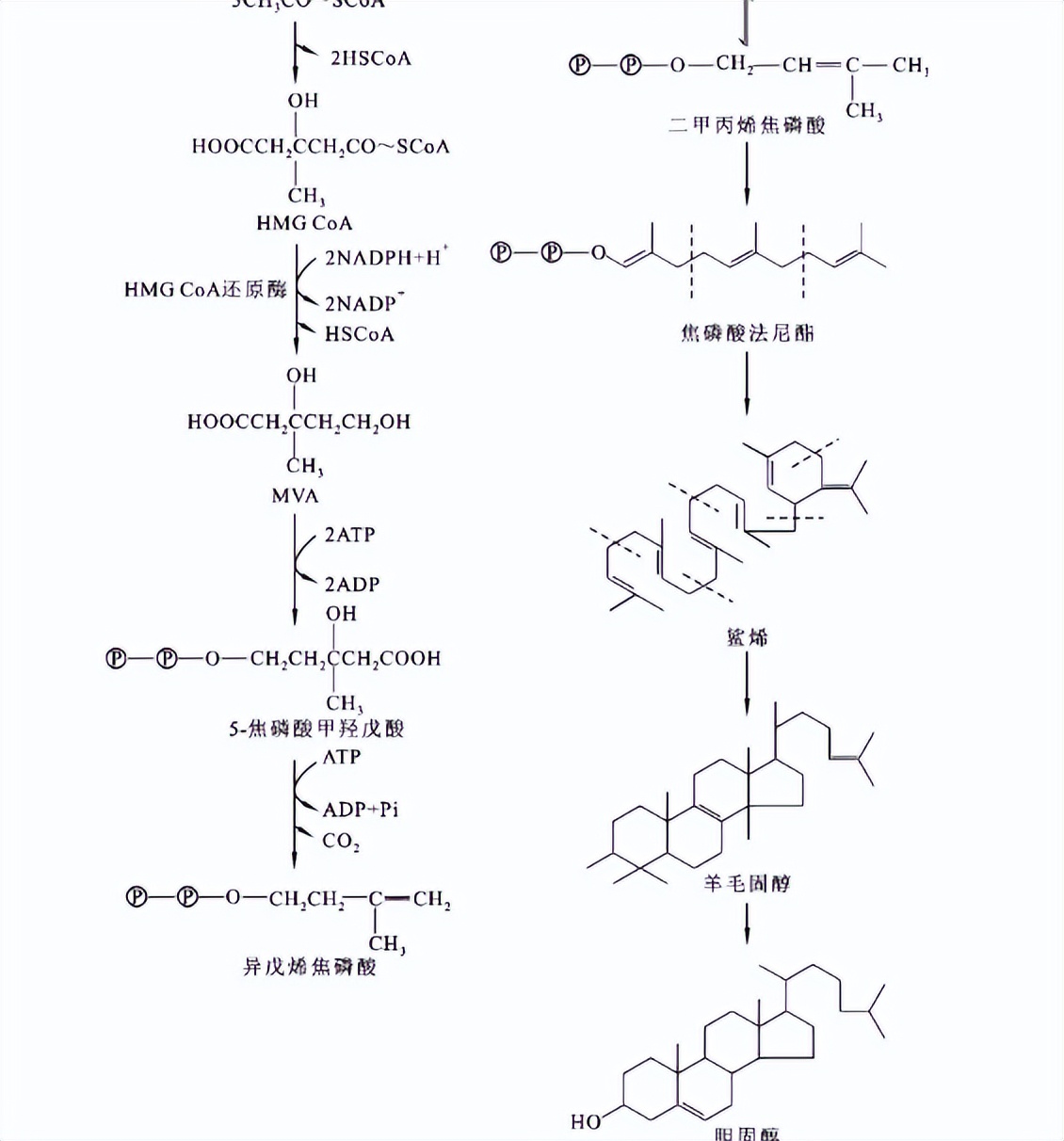
胆固醇的生物合成途径可以分为两个部分:甾体核结构的合成和胆固醇的合成。甾体核结构的合成是胆固醇生物合成途径的前面部分,包括色氨酸代谢、异戊二烯基二磷酸(IPP)和二羧酸循环中产生的异戊二烯酸等步骤。
色氨酸经过一系列反应转化为7-羟基色氨酸,接着通过催化酶酪氨酸羟化酶(TyrOHase)的作用被转化为多巴酸。多巴酸进一步转化为鸟氨酸,随后经过多次反应生成艾地酸,并且通过甾体核结构合成中的多个中间体,最终生成胆固醇。

在甾体核结构的合成过程中,IPP是一个重要的前体,它可以通过异戊二烯酸分支途径或者几乎所有生物体内存在的去羧化反应产生,IPP被转化为甲基丙烯酸,接着通过一系列反应生成色素前体。 这些前体随后参与酮体脱氢酶(KDH)和异戊二烯酸环化酶(IDI)等催化酶的作用,最终形成甾体核结构。
在甾体核结构的合成过程中,胆固醇的合成是其中的最后一步,胆固醇的合成需要若干酶的协同作用,包括3-羟基-3-甲基戊二酰辅酶A还原酶(HMG-CoA reductase)、甾体-5,6-双键还原酶(SRD5A)和羟甲基戊二酸裂解酶(HSD17B7)等。

HMG-CoA reductase是胆固醇生物合成途径中的速率限制酶,它将HMG-CoA转化为甲羰基戊二酸,甲羰基戊二酸通过一系列反应生成异戊醇,随后参与SRD5A的催化作用,生成丙烯醇,丙烯醇被转化为胆固醇。
胆固醇的生物合成途径是复杂而精细的代谢过程。它涉及到多个酶的协同作用,同时受到多种调控机制的影响。对于人类健康和疾病的研究,了解胆固醇生物合成途径的基本机制非常重要。

薯蓣中胆固醇生物合成途径表征
薯蓣是一种广泛栽培的重要经济作物,它富含多种营养成分,如碳水化合物、蛋白质、维生素和矿物质等,薯蓣中是否存在胆固醇及其生物合成途径一直是科学家们关注的问题。 最近的研究表明,薯蓣中存在胆固醇,并且具有完整的胆固醇生物合成途径。
胆固醇生物合成途径是一个复杂的代谢过程,涉及到多个酶的协同作用,在薯蓣中,胆固醇的生物合成途径可以分为两个部分:甾体核结构的合成和胆固醇的合成,甾体核结构的合成包括色氨酸代谢、异戊二烯基二磷酸(IPP)和二羧酸循环中产生的异戊二烯酸等步骤。

色氨酸经过一系列反应转化为7-羟基色氨酸,接着通过催化酶酪氨酸羟化酶(TyrOHase)的作用被转化为多巴酸,多巴酸进一步转化为鸟氨酸,随后经过多次反应生成艾地酸,并且通过甾体核结构合成中的多个中间体,最终生成胆固醇。
在甾体核结构的合成过程中,IPP是一个重阿要的前体,它可以通过异戊二烯酸分支途径或者几乎所有生物体内存在的去羧化反应产生, IPP被转化为甲基丙烯酸,接着通过一系列反应生成色素前体, 这些前体随后参与酮体脱氢酶(KDH)和异戊二烯酸环化酶(IDI)等催化酶的作用,最终形成甾体核结构。

在胆固醇的合成过程中,HMG-CoA reductase是其中的速率限制酶,它将HMG-CoA转化为甲羰基戊二酸,甲羰基戊二酸通过一系列反应生成异戊醇,随后参与SRD5A的催化作用,生成丙烯醇,丙烯醇被转化为胆固醇。
以上的生物合成途径是在薯蓣中进行的,最近的研究表明,薯蓣中存在胆固醇及其生物合成途径,研究人员通过RT-PCR和Western blotting技术检测了薯蓣中多个关键基因和蛋白质的表达情况,发现这些基因和蛋白质与胆固醇生物合成途径密切相关,研究还发现,薯蓣中的胆固醇含量随着生长期的延长而增加。

薯蓣中存在完整的胆固醇生物合成途径,这一发现对于薯蓣的营养价值和生长调控具有重要意义,未来还需要进一步深入研究胆固醇生物合成途径在薯蓣中的调控机制和生理功能,为促进薯蓣的产业化和应用提供科学依据。
薯蓣中胆固醇生物合成途径的参考价值
薯蓣是一种广泛栽培的重要经济作物,它富含多种营养成分,如碳水化合物、蛋白质、维生素和矿物质等, 薯蓣中是否存在胆固醇及其生物合成途径一直是科学家们关注的问题。 最近的研究表明,薯蓣中存在胆固醇,并且具有完整的胆固醇生物合成途径。

薯蓣中胆固醇生物合成途径的发现具有以下参考价值:
1. 丰富薯蓣的营养价值:胆固醇虽然以往常被认为是不良的脂质,但是它也是人体必需的一种脂质。胆固醇在人体内可以合成许多重要的物质,如性激素和胆汁酸等,薯蓣中存在胆固醇,将丰富薯蓣的营养价值,提高其综合利用价值。
2. 提高对薯蓣的生长调控:研究薯蓣中胆固醇生物合成途径的调控机制,将有助于提高对薯蓣的生长调控,通过了解胆固醇生物合成途径在薯蓣中的作用和调节,可以更好地掌握薯蓣的生长规律和产量变化规律,从而更有效地进行薯蓣的生产管理。

3. 为其他作物的研究提供参考: 薯蓣中胆固醇生物合成途径的发现,不仅对薯蓣本身具有参考价值,还可能对其他作物的研究提供参考, 许多作物中都存在胆固醇,研究薯蓣中胆固醇生物合成途径的机制,将为其他作物的胆固醇生物合成途径的研究提供参考。
4. 探索薯蓣的药用价值:最近的研究表明,胆固醇在人体内有多种重要的生理功能,如维持细胞膜的完整性、合成激素、参与胆汁酸的代谢等,薯蓣中胆固醇的存在可能会为薯蓣的药用价值带来新的发现,通过研究薯蓣中胆固醇的生物合成途径和代谢机制,可能会为薯蓣的药用开发提供新的思路和方法。

5. 推动农业可持续发展:薯蓣是一种重要的经济作物,对于许多农民来说,薯蓣的产量和质量都十分重要,通过研究薯蓣中胆固醇生物合成途径, 可以提高对薯蓣的生长调控,增加薯蓣的产量和品质,从而推动农业的可持续发展。
薯蓣中存在完整的胆固醇生物合成途径,这一发现具有丰富薯蓣的营养价值、提高对薯蓣的生长调控、为其他作物的研究提供参考、探索薯蓣的药用价值、推动农业可持续发展等多方面的参考价值,未来需要进一步深入研究薯蓣中胆固醇的生物合成途径及其作用机制,为薯蓣的产业化和应用提供科学依据。

在深入探究薯蓣中胆固醇生物合成途径的基础上,我们可以进一步挖掘出以下研究方向:
1. 薯蓣中胆固醇的生物合成途径的调控机制:了解薯蓣中胆固醇生物合成途径的调控机制,对于掌握薯蓣的生长规律和产量变化规律非常重要, 需要深入研究薯蓣中胆固醇生物合成途径的调控机制,为薯蓣的高效生产提供科学依据。
2. 薯蓣中胆固醇的代谢途径研究:了解薯蓣中胆固醇的代谢途径,有助于更好地理解薯蓣中胆固醇的生理功能,还可以为薯蓣的药用价值开发提供新的思路和方法。

3. 薯蓣中胆固醇含量与品质关系研究:薯蓣中胆固醇的含量与薯蓣的品质息息相关,需要探究薯蓣中胆固醇含量与品质之间的关系,从而寻找提高薯蓣品质的新途径。
4. 薯蓣中胆固醇的营养生理学研究:薯蓣中胆固醇的营养生理学研究,有助于深入了解薯蓣中胆固醇的生理功能和作用机制,还可以为人们更好地利用薯蓣提供科学依据。
作者观点
薯蓣中胆固醇生物合成途径的表征,为其他植物的胆固醇代谢研究提供了重要的参考价值。通过比较不同植物中胆固醇生物合成途径的异同,可以深入探讨胆固醇代谢在不同植物中的差异性及其调控机制; 利用薯蓣中胆固醇生物合成途径的相关酶作为参考,可以研究其他植物中胆固醇代谢酶的结构、功能及其调控机制等问题, 薯蓣中胆固醇生物合成途径的研究具有重要的科学意义和应用价值。

参考文献
【1】Schaller, H. (2003). The role of sterols in plant growth and development. Progress in Lipid Research, 42(3), 163-175.
【2】Watanabe, M., Oki, T., Takeuchi, A., & Yabuta, Y. (2017). Biosynthesis of brassinosteroids: A classical review. Journal of Plant Research, 130(1), 67-73.
【3】Nomura, T., & Bishop, G. J. (2006). Cytochrome P450s in plant steroid hormone synthesis and metabolism. Phytochemistry Reviews, 5(2-3), 421-432.