近日,北京大学北京国际数学研究中心,推出的一道数学题,受到了数学爱好者的广泛关注。
出题人是北京大学数学科学学院研究员,第49届、第50届国际数学奥林匹克竞赛满分金牌得主“韦神”韦东奕。

“韦神”韦东奕
我们先来看看这道题说了什么。
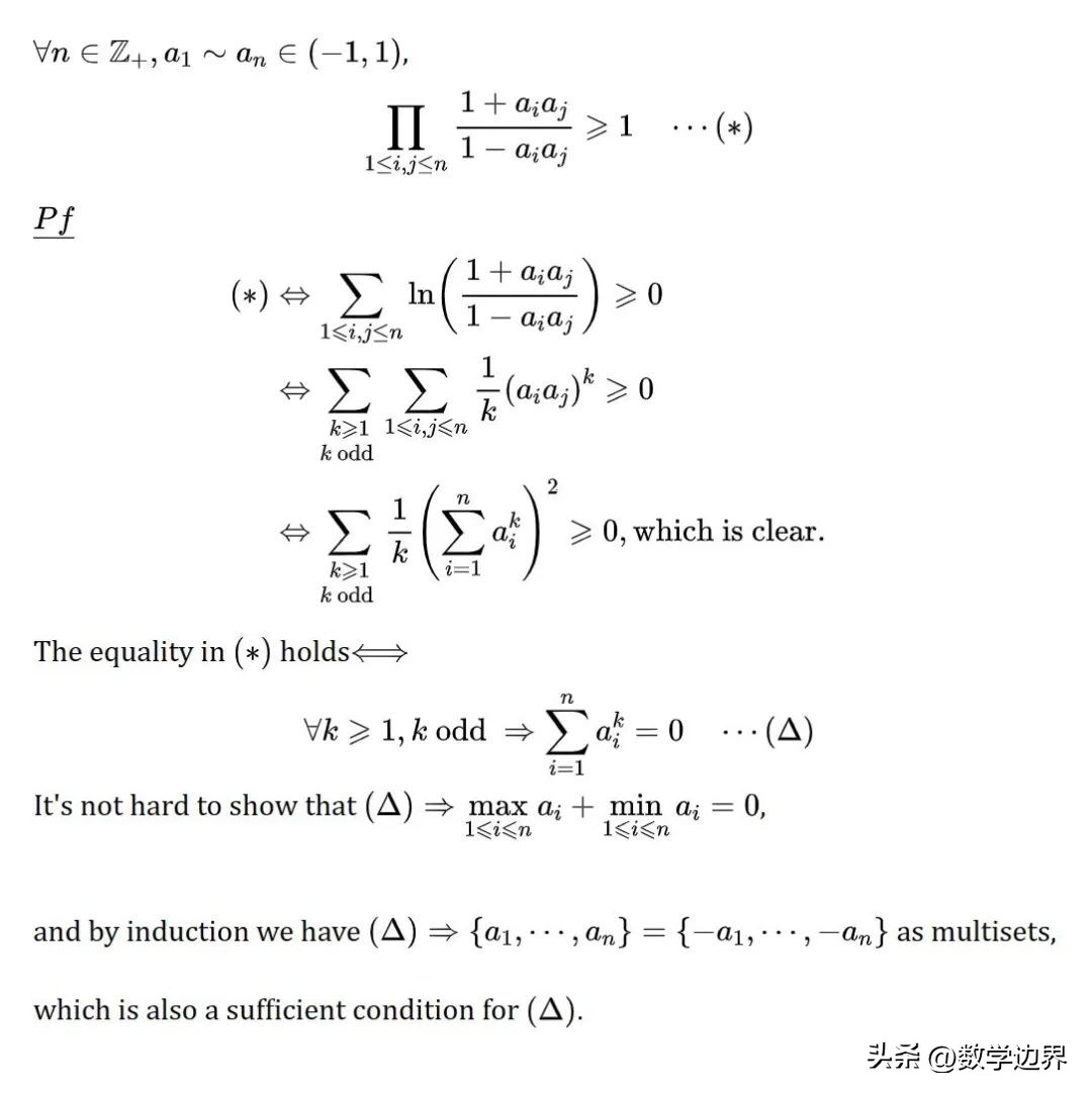
设a1,a2,…,an是n个实数
都落在区间(-1,1)里。
(1)证明:
∏(1≤i,j≤n)[(1+aiaj)/(1-aiaj)]≥1
(2)找出以上不等式中等号成立的充分必要条件。

此题一出,互联网上顿时哀嚎遍野,众多网友纷纷表示,连题目都看不懂。明明是数学题,为什么全是英文?
今天我就详细给大家解释一下,这道题到底在说什么!
首先解释符号∏,符号∏称为求积符号。
我们都知道符号Σ称为求和符号。
Σ(1≤i≤n)(ai),代表ai的下脚标i从1取到n,然后再把这n项进行求和。
Σ(1≤i≤n)(ai)=a1+a2+…+an
类似地
∏(1≤i≤n)(ai),代表ai的下脚标i从1取到n,然后再把这n项进行求积。
∏(1≤i≤n)(ai)=a1×a2×…×an
∏(1≤i,j≤n)(aiaj),代表双重求积,ai和aj的下脚标i和j都从1取到n。由于ai有n种取法,aj有n种取法,所以aiaj有n×n=n^2种取法。然后再把这n^2项进行求积。
∏(1≤i,j≤n)(aiaj)
=∏(1≤i≤n)∏(1≤j≤n)(aiaj)
在具体计算时,先对j从1取到n,然后再对所得结果的i从1取到n。
∏(1≤i≤n)∏(1≤j≤n)(aiaj)
=∏(1≤i≤n)[(aia1)(aia2)…(aian)]
=[(a1a1)(a1a2)…(a1an)]
×[(a2a1)(a2a2)…(a2an)]
×……
×[(ana1)(ana2)…(anan)]
原题第(1)问改写一下就是
已知:a1,a2,…,an∈(-1,1)
求证:
∏(1≤i,j≤n)[(1+aiaj)/(1-aiaj)]
=∏(1≤i≤n)∏(1≤j≤n)
[(1+aiaj)/(1-aiaj)]≥1

举个例子
取a1=-1/2,a2=0,a3=1/2
a1,a2,a3∈(-1,1)
∏(1≤i≤3)∏(1≤j≤3)
[(1+aiaj)/(1-aiaj)]
=[(1+a1a1)/(1-a1a1)][(1+a1a2)/(1-a1a2)][(1+a1a3)/(1-a1a3)]
×[(1+a2a1)/(1-a2a1)][(1+a2a2)/(1-a2a2)][(1+a2a3)/(1-a2a3)]
×[(1+a3a1)/(1-a3a1)][(1+a3a2)/(1-a3a2)][(1+a3a3)/(1-a3a3)]
=(5/3)×1×(3/5)×1×1×1
×(3/5)×1×(5/3)=1≥1
不等式成立
现在的问题是,对于任意n个属于(-1,1)的实数,证明都有这n^2项的乘积大于等于1成立。这个问题的难度就大多了。
“韦神”将题目面向全社会征集答案后,收到了很多数学爱好者的答题反馈,“韦神”从中选出了可以作为标准答案的三份答卷。
其中一份来自国内某大学


另一份来自海外某大学

这其中最令人惊喜的是,证明过程最为清晰简洁的答卷居然来自国内某中学初二学生。

你敢信以上这份答案是一个初二的同学解出来的!
关于这位学神的来历,有说来自深圳,也有说来自上海、北京。不管他来自国内哪里,你就说他的实力恐怖不恐怖吧!
可能你现在的能力,连你孩子的一道小学奥数题都解不出来。而这个初二的同学已经轻松破解很多数学专业大学生都无法解决的问题。你还敢轻视现在的青少年吗?
接下来我来详细解释一下,这位同学证明第(1)问的解题思路。
首先-1<ai,aj<1
-1<aiaj<1
1+aiaj>0,1-aiaj>0
根据ln(ab)=ln(a)+ln(b)
两数相乘,取对数后,可转换为两个对数相加。也就是说,对求积符号∏取对数可转换为求和符号∑。
ln[∏(1≤i≤n)(ai)]=Σ(1≤i≤n)[ln(ai)]
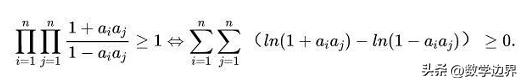
∏(1≤i≤n)∏(1≤j≤n)
[(1+aiaj)/(1-aiaj)]≥1
等价于
ln{∏(1≤i≤n)∏(1≤j≤n)
[(1+aiaj)/(1-aiaj)]}≥ln(1)
Σ(1≤i≤n)Σ(1≤j≤n)
{ln[(1+aiaj)/(1-aiaj)]}≥0
再根据ln(a/b)=ln(a)-ln(b)
ln[(1+aiaj)/(1-aiaj)]
=ln[(1+aiaj)]-ln[(1-aiaj)]
Σ(1≤i≤n)Σ(1≤j≤n)
{ln[(1+aiaj)/(1-aiaj)]}
=Σ(1≤i≤n)Σ(1≤j≤n)
{ln[(1+aiaj)]-ln[(1-aiaj)]}

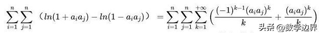
根据ln(1+x)的泰勒展开式
ln(1+x)=Σ(1≤k<+∞)
[(-1)^(k-1)x^k/k]
=x-x^2/2+x^3/3-x^4/4+…

ln[(1+aiaj)=Σ(1≤k<+∞)
[(-1)^(k-1)(aiaj)^k/k]
将x换成-x可得
ln(1-x)=Σ(1≤k<+∞)
[(-1)^(2k-1)x^k/k]
=-Σ(1≤k<+∞)(x^k/k)
=-(x+x^2/2+x^3/3+x^4/4+…)
ln[(1-aiaj)=
-Σ(1≤k<+∞)[(aiaj)^k/k]
Σ(1≤i≤n)Σ(1≤j≤n)
{ln[(1+aiaj)]-ln[(1-aiaj)]}
=Σ(1≤i≤n)Σ(1≤j≤n)Σ(1≤k<+∞)[(-1)^(k-1)(aiaj)^k/k]+[(aiaj)^k/k]

令bk=
[(-1)^(k-1)(aiaj)^k/k]+[(aiaj)^k/k]
当k为偶数2k时
b(2k)=[-(aiaj)^(2k)/2k]+[(aiaj)^(2k)/2k]=0
当k为奇数2k-1时
b(2k-1)=[(aiaj)^(2k-1)/(2k-1)]+[(aiaj)^(2k-1)/(2k-1)]
=2(aiaj)^(2k-1)/(2k-1)
=2(ai)^(2k-1)(aj)^(2k-1)/(2k-1)
[(-1)^(k-1)(aiaj)^k/k]+[(aiaj)^k/k]
=2(ai)^(2k-1)(aj)^(2k-1)/(2k-1)
Σ(1≤i≤n)Σ(1≤j≤n)Σ(1≤k<+∞)[(-1)^(k-1)(aiaj)^k/k]+[(aiaj)^k/k]
=Σ(1≤i≤n)Σ(1≤j≤n)Σ(1≤k<+∞)[2(ai)^(2k-1)(aj)^(2k-1)/(2k-1)]
=2Σ(1≤k<+∞)Σ(1≤i≤n)Σ(1≤j≤n)[(ai)^(2k-1)(aj)^(2k-1)/(2k-1)]
=2Σ(1≤k<+∞)[1/(2k-1)]Σ(1≤i≤n)[(ai)^(2k-1)]Σ(1≤j≤n)[(aj)^(2k-1)]

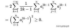
2Σ(1≤k<+∞)[1/(2k-1)]Σ(1≤i≤n)[(ai)^(2k-1)]Σ(1≤j≤n)[(aj)^(2k-1)]
=Σ(1≤k<+∞)[2/(2k-1)]Σ(1≤i≤n)[(ai)^(2k-1)]Σ(1≤i≤n)[(ai)^(2k-1)]
=Σ(1≤k<+∞)[2/(2k-1)]{Σ(1≤i≤n)[(ai)^(2k-1)]}^2≥0

∏(1≤i,j≤n)[(1+aiaj)/(1-aiaj)]≥1
证毕!

值得一提的是,北京国际数学研究中心将此题交给GPT-4进行内测,结果5次挑战均告失败,人工智能在第二步就出现逻辑错误。
