

函数与方程(必修一P112):



零点存在定理(必修一B版P115): 零点是数值,不是坐标 。f(x)=x-3的零点是3,不是(3.0)。

例题:判断零点所在的区间

考察单调函数的零点存在: 首先看单调性避免多选,再从中间取值 代入数值 。



求解这个题目:

综合题:考点:考察函数的奇偶性;对数函数的计算;不 等式的性质同向可加性 :

零点考察的题型:

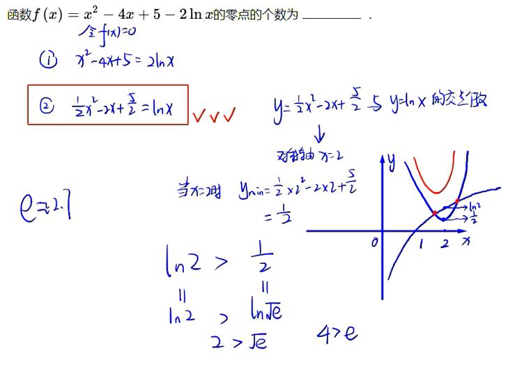
零点问题转化为函数图像的交点问题:



逆向求参的题型:


通过画图法求解函数的零点问题;要准确画图,标记确定点的准确坐标。

参数位置不同的题型,求解方法也不同。

总结:解决的问题: 1.零点的区间;2.零点的个数;3.已知零点个数逆向求参的问题;本质就是画图课。

收工,Get✓。
如果小伙伴们觉得此技巧对你有帮助的话,欢迎在下方留言、点赞、转发给更多的朋友!