
一、证券组合的期望报酬率
各种证券期望报酬率的加权平均数

【结论】最低报酬率证券组合的期望报酬率最高报酬率:
(1)当全部资金投资于最高报酬率的资产时,该组合为最高报酬率组合;
(2)当全部资金投资于最低报酬率资产时,该组合为最低报酬率组合。
二、投资组合的风险衡量
1.协方差的含义与意义

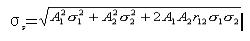
2.两种证券投资组合收益率的标准差

【注意】相关系数与风险的结论:

3.两种证券组合的机会集与有效集

【结论】

4.相关系数对机会集和有效集的影响

【结论】

5.多种证券组合的机会集与有效集

【结论】
(1)机会集为一个平面;
(2)有效集是从最小方差组合点起到最高期望报酬率点止。
6.资本市场线

【结论】


7.系统风险和非系统风险


8.关于风险的总结
(1)证券组合的风险不仅与组合中每个证券的报酬率标准差有关,而且与各证券之间报酬率的协方差有关。
(2)对于一个含有两种证券的组合,投资机会集曲线描述了不同投资比例组合的风险和报酬之间的权衡关系。
(3)风险分散化效应有时使得机会集曲线向左凸出,并产生比最低风险证券标准差还低的最小方差组合。
(4)有效边界就是机会集曲线上从最小方差组合点到最高期望报酬率的那段曲线。
(5)持有多种彼此不完全正相关的证券可以降低风险。
(6)如果存在无风险证券,新的有效边界是经过无风险报酬率并和机会集相切的直线,该直线称为资本市场线,该切点被称为市场组合,其他各点为市场组合与无风险投资的有效搭配。
(7)资本市场线横坐标是标准差,纵坐标是报酬率。该直线反映两者的关系即风险价格。