Graphs of sec x, cosec x, cot x
You will also need to know the graphs and properties of the reciprocal functions 你还需要知道倒数函数的图形和属性:

The following properties apply to any reciprocal function 以下属性适用于任何倒数函数 :
- The reciprocal of zero is +∞ 零的倒数是+∞
- The reciprocal of +∞ is zero +∞的倒数是零
- The reciprocal of 1 is 1 1的倒数是1
- The reciprocal of -1 is -1 -1的倒数是-1
- Where the function has a maximum value, its reciprocal has a minimum value 当函数有一个最大值时,其倒数有一个最小值。
- If a function increases, the reciprocal decreases 如果一个函数增加,其倒数就会减少
- A function and its reciprocal have the same sign 一个函数和它的倒数有相同的符号

The curves of cosec x, sec x and cot x are shown below 下面是余弦x、sec x和cot x的曲线 :


From a right angled triangle we know that 从直角三角形我们知道 :

cos²θ + sin²θ = 1
It can also be shown that 也可以证明:
1 + tan²θ = sec²θ and cot²θ + 1 = cosec²θ
(Try dividing the second expression by cos²θ to get the first rearrangement, and separately divide cos²θ + sin²θ = 1, by sin²θ to get the other formula.)
(试着用第二个表达式除以cos²θ来得到第一个重排,并分别用cos²θ+sin²θ=1,除以sin²θ来得到另一个公式)
These are Trigonometric Identities and useful for rewriting equations so that they can be solved, integrated, simplified etc.
这些都是三角函数特征,对重写方程很有用,这样就可以求解、积分、简化等。

Formulae for sin (A + B), cos (A + B), tan (A + B)
Trigonometric functions of angles like A + B and A − B can be expressed in terms of the trigonometric functions of A and B.
角度的三角函数如A + B和A - B可以用A和B的三角函数来表示。
These are called compound angle identities 这些被称为复合角的特性:
sin (A + B) = sin A cos B + cos A sin B
sin (A - B) = sin A cos B - cos A sin B
cos (A + B) = cos A cos B - sin A sin B
cos (A - B) = cos A cos B + sin A sin B

Remember: take care with the signs when using these formulae.
记住:在使用这些公式时要注意符号。
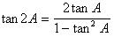
Double angle formulae 双角公式
The compound angle formulae can also be used with two equal angles i.e. A = B.
复角公式也可用于两个相等的角,即A=B
If we replace B with A in the compound angle formulae for (A + B), we have 如果我们在(A+B)的复角公式中用A代替B,我们就可以得到:
sin 2A = 2(sin A cos A)
cos 2A = cos²A - sin²A

Also,
cos 2A = cos²A - sin²A = 1 - 2sin²A = 2cos²A - 1
The use for this final rearrangement is when integrating cos²x or sin²x.
最后重排的用途是在积分cos2x或sin2x时。
We use cos²x = ½cos 2x + ½ and sin²x = ½ - ½ cos 2x which we can integrate.
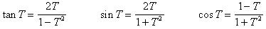
Half angle formulae 半角公式

Using this double angle formula for tan 2A and the two identities 用这个双角公式计算tan 2A和两个同位素:

We can replace 2A with x and use T for tan(x/2).
我们可以用x代替2A,用T表示tan(x/2)。
This gives us the following identities, which allow all the trigonometric functions of any angle to be expressed in terms of T.
这就给我们提供了以下的相同点,这使得任何角度的所有三角函数都可以用T来表示。

Factor formulae 因子公式
The formulae we have met so far involve manipulating single expressions of sin x and cos x. If we wish to add sin or cos expressions together we need to use the factor formulae , which are derived from the compound angle rules we met earlier.
如果我们想把正弦或余弦的表达式加在一起,就需要使用因数公式,这些因数公式是由我们之前遇到的复角规则衍生出来的。
The compound angle formulae can be combined to give 复合角公式可以组合起来,得到 :
|
2sin A cos B = sin (A + B) + sin (A − B) |
|
2cos A sin B = sin (A + B) - sin (A − B) |
|
2cos A cos B = cos (A + B) + cos (A − B) |
|
−2sin A sin B = cos (A + B) - cos (A − B) |
If we simplify the right hand side of each of these equations by substituting
如果我们将这些方程的右边简化,代之以
A + B = J and A − B = K, we create the factor formulae :

The "Rcos" function "Rcos "函数
The factor formulae allow us to add and subtract expressions that are all sines or all cosines. If we wish to add a sine and a cosine expression together we have to use a different method.
因子公式允许我们对全部为正弦或全部为余弦的表达式进行加减。如果我们想把一个正弦和一个余弦表达式加在一起,就必须使用不同的方法。
This method is based upon the fact that combining a sine and a cosine will generate another cos curve with a greater amplitude and which is a number of degrees out of phase with the graph of cos θ.
这种方法是基于这样一个事实,即结合正弦和余弦将产生另一条振幅更大的余弦曲线,并且与余弦θ的图形相位相差若干度。
This means that it can be written as R cos(θ - α), where R represents the amplitude and α represents the number of degrees the graph is out of phase (to the right).
这意味着它可以写成R cos(θ-α),其中R代表振幅,α代表图形偏离相位的度数(向右)。
The solution is based upon the expansion of cos(θ - α).
解决方案是基于cos(θ-α)的扩展。
Example:
Write 5 sin x + 12 cos x in the form R cos (θ - α)
R cos (θ - α) = R (cos θ cos α + sin θ sin α)
By matching this expansion to the question we get 通过将这种扩展与问题相匹配,我们可以得到 :
R cos θ cos α = 12 cos θ and R sin θ sin α = 5 sin θ
This gives:
R cos α = 12 and R sin α = 5
By illustrating this with a right-angled triangle, we get, 用一个直角三角形来说明这一点,我们可以得到

Therefore : α = 22.6 °
Therefore : 5 sin θ + 12 cos θ = 13 cos(θ - 22.6)
It has a maximum value of 13 and is 22.6 ° out of phase with the graph of cos θ.
它的最大值为13,与cos θ的图形相差22.6 ° 。
Note : This procedure would work with Rsin(θ + α). 这个过程对Rsin(θ+α)也适用
Check to see if you can get a similar answer - it should be 13 sin (θ + 67.4)
检查一下你是否能得到一个类似的答案--应该是13 sin (θ + 67.4)